ГОСТы сталей. ГОСТ 13230.1-93
ГОСТ 13230.1-93
Группа В19
МЕЖГОСУДАРСТВЕННЫЙ СТАНДАРТ
ФЕРРОСИЛИЦИЙ
Методы определения кремния
Ferrosilicon. Methods for determination of silicon
МКС 77.100
ОКСТУ 0809
Дата введения 2002-07-01
Предисловие
1 РАЗРАБОТАН Техническим комитетом по стандартизации ТК 008 "Ферросплавы"
ВНЕСЕН Госстандартом России
2 ПРИНЯТ Межгосударственным Советом по стандартизации, метрологии и сертификации 15 апреля 1994 г. (отчет Технического секретариата N 2)
За принятие проголосовали:
Наименование государства | Наименование национального органа по стандартизации |
Республика Армения | Армгосстандарт |
Республика Беларусь | Госстандарт Республики Беларусь |
Республика Казахстан | Госстандарт Республики Казахстан |
Республика Молдова | Молдовастандарт |
Российская Федерация | Госстандарт России |
Туркменистан | Главгосслужба "Туркменстандартлары" |
Украина | Госстандарт Украины |
3 Постановлением Государственного комитета Российской Федерации по стандартизации и метрологии от 26 июня 2001 г. N 247-ст межгосударственный стандарт ГОСТ 13230.1-93 введен в действие непосредственно в качестве государственного стандарта Российской Федерации с 1 июля 2002 г.
4 ВЗАМЕН ГОСТ 13230.1-81
1 Область применения
1 Область применения
Настоящий стандарт устанавливает гравиметрический, титриметрический и термометрический методы определения кремния в ферросилиции при массовой доле его от 8% до 95%.
2 Нормативные ссылки
В настоящем стандарте использованы ссылки на следующие стандарты:
ГОСТ 3118-77 Кислота соляная. Технические условия
ГОСТ 3760-79 Аммиак водный. Технические условия
ГОСТ 4108-72 Барий хлорид 2-водный. Технические условия
ГОСТ 4140-74 Стронций хлористый 6-водный. Технические условия
ГОСТ 4204-77 Кислота серная. Технические условия
ГОСТ 4234-77 Калий хлористый. Технические условия
ГОСТ 4328-77 Натрия гидроокись. Технические условия
ГОСТ 4461-77 Кислота азотная. Технические условия
ГОСТ 5962-67* Спирт этиловый ректификованный. Технические условия
_______________
* На территории Российской Федерации действует ГОСТ Р 51652-2000.
ГОСТ 10484-78 Кислота фтористоводородная. Технические условия
ГОСТ 11293-89 Желатин. Технические условия
ГОСТ 18300-87 Спирт этиловый ректификованный технический. Технические условия
ГОСТ 20848-75 Калий фтористый 2-водный. Технические условия
ГОСТ 24363-80 Калия гидроокись. Технические условия
ГОСТ 24991-81 Феррохром, ферросиликохром, ферросилиций, ферросиликомарганец, ферромарганец. Методы отбора и подготовки проб для химического и физико-химического анализов
ГОСТ 28473-90 Чугун, сталь, ферросплавы, хром, марганец металлические. Общие требования к методам анализа
3 Общие требования
3.1 Общие требования к методам анализа - по ГОСТ 28473.
3.2 Лабораторная проба должна быть приготовлена в виде порошка максимальным размером частиц 0,16 мм по ГОСТ 24991.
4 Гравиметрический метод
4.1 Сущность метода
Метод основан на выделении кремния в виде кремниевой кислоты из сернокислого или хлорнокислого раствора, прокаливании кремниевой кислоты до диоксида кремния и удалении в виде тетрафторида кремния путем обработки осадка фтористоводородной кислотой.
4.2 Реактивы и растворы
Кислота соляная по ГОСТ 3118 и растворы 1:1 и 1:50.
Кислота азотная по ГОСТ 4461.
Кислота серная по ГОСТ 4204, раствор 1:1.
Кислота фтористоводородная по ГОСТ 10484.
Кислота хлорная плотностью 1,5 г/см.
Спирт этиловый ректификованный по ГОСТ 5962 или по ГОСТ 18300.
Калия гидроокись по ГОСТ 24363.
Натрия гидроокись по ГОСТ 4328.
Натрия пероксид.
Аммиак водный по ГОСТ 3760.
Желатин по ГОСТ 11293, раствор 10 г/дм, свежеприготовленный: 1 г желатина помещают в стакан вместимостью 250 см
, прибавляют 40-50 см
воды и оставляют на 1 ч при комнатной температуре, периодически перемешивая. Затем желатин растворяют при слабом нагревании и перемешивании. Охлаждают, разбавляют водой до объема 100 см
и вновь перемешивают.
Поливиниловый спирт, раствор 10 г/см, свежеприготовленный.
4.3 Проведение анализа
4.3.1 Навеску пробы массой 0,5 г (при массовой доле кремния до 30%) или 0,25 г (при массовой доле кремния свыше 30% до 70%), или 0,2 г (при массовой доле кремния свыше 70%) помещают в стеклоуглеродный или железный, или никелевый тигель, содержащий 3 г гидроксида калия или натрия, засыпают навеску 2 г гидроксида калия или натрия и приливают 1 см этилового спирта (для хлорнокислотного метода используют только гидроксид натрия).
Тигель помещают на плиту, осторожно нагревают, затем выпаривают содержимое досуха. После охлаждения в тигель добавляют 2 г пероксида натрия и проводят сплавление при температуре 600-650 °С (для стеклоуглеродного тигля) или при температуре 700-750 °С (для железного или никелевого тигля) в течение 5-10 мин.
Тигель с плавом охлаждают, помещают в стакан из фторопласта вместимостью 400-500 см, приливают 50-70 см
воды и выщелачивают плав без нагревания.
После выщелачивания плава тигель извлекают, протирают его стеклянной палочкой с резиновым наконечником, обмывают небольшим количеством раствора соляной кислоты (1:1) и горячей водой. В стакан добавляют 30-50 см соляной кислоты и после растворения осадка гидроксидов раствор переносят в стеклянный стакан вместимостью 400-500 см
.
Далее анализ проводят по 4.3.2 или 4.3.3.
4.3.2 Сернокислотный способ выделения кремниевой кислоты
К раствору, полученному по 4.3.1, прибавляют 40 см раствора серной кислоты (1:1) и выпаривают содержимое стакана до объема 70-80 см
. К горячему раствору (60-70 °С) приливают 10 см
раствора желатина или 2 см
раствора поливинилового спирта и хорошо перемешивают. Затем приливают горячую воду до объема 250-300 см
, 10 см
соляной кислоты, хорошо перемешивают, нагревают и через 10-15 мин осадок кремниевой кислоты отфильтровывают на фильтр средней плотности с добавлением небольшого количества беззольной фильтробумажной массы. Осадок на фильтре промывают 9-10 раз горячим раствором соляной кислоты (1:50) и затем 2-3 раза горячей водой. Фильтр с осадком сохраняют.
Фильтрат переносят в стакан, в котором проводилось выделение кремниевой кислоты, добавляют 10 см азотной кислоты и выпаривают раствор до выделения паров серной кислоты, которым дают выделяться 2-3 мин.
Содержимое стакана охлаждают, приливают 10 см соляной кислоты, 100-150 см
горячей воды и нагревают до растворения солей. К горячему раствору (~70 °С) приливают 10 см
раствора желатина или 2 см
поливинилового спирта и хорошо перемешивают. Через 10 мин осадок кремниевой кислоты отфильтровывают на фильтр средней плотности с добавлением небольшого количества беззольной фильтробумажной массы и промывают 9-10 раз горячим раствором соляной кислоты (1:50), а затем 2-3 раза горячей водой.
Фильтры с осадками кремниевой кислоты объединяют, помещают в платиновый тигель, высушивают, осторожно озоляют и прокаливают в течение 40 мин при температуре 1000-1100 °С.
После охлаждения в тигель с осадком добавляют 6-8 капель раствора серной кислоты (1:1), выпаривают до удаления паров серной кислоты и прокаливают при температуре 1000-1100 °С в течение 20 мин.
Тигель с осадком охлаждают в эксикаторе, взвешивают, осадок смачивают несколькими каплями воды, прибавляют 3-4 капли раствора серной кислоты (1:1), 5-6 см фтористоводородной кислоты и выпаривают до удаления паров серной кислоты. Затем тигель прокаливают при температуре 1000-1100 °С в течение 20 мин, охлаждают в эксикаторе и снова взвеш
ивают.
4.3.3 Хлорнокислотный способ выделения кремниевой кислоты
К раствору, полученному по 4.3.1, прибавляют 100 см хлорной кислоты, нагревают содержимое стакана до выделения густых паров хлорной кислоты и продолжают нагревание до начала кристаллизации осадка.
После охлаждения осторожно приливают 20 см соляной кислоты, перемешивают, приливают 250 см
горячей воды. Растворяют соли при нагревании, хорошо перемешивают и дают отстояться.
Осадок кремниевой кислоты отфильтровывают на фильтр средней плотности с добавлением небольшого количества беззольной фильтробумажной массы и промывают 10-12 раз горячим раствором соляной кислоты (1:50), затем 2-3 раза горячей водой. Фильтр с осадком сохраняют.
Фильтрат переносят в стакан, в котором проводилось выделение кремниевой кислоты, выпаривают до объема приблизительно 250 см. Добавляют 20 см
хлорной кислоты и продолжают выпаривание до выделения густых паров хлорной кислоты, которым дают выделяться до начала кристаллизации осадка. Затем выделяют кремниевую кислоту и промывают, как указано выше.
Фильтры с осадками кремниевой кислоты объединяют, помещают в платиновый тигель, смачивают фильтры четырьмя каплями аммиака. Высушивают, осторожно озоляют и прокаливают при температуре 1000-1100 °С в течение 40 мин. После охлаждения в тигель с осадком добавляют 6-8 капель раствора серной кислоты (1:1), выпаривают до удаления паров серной кислоты и прокаливают в течение 20 мин при температуре 1000-1100 °С. Тигель с осадком охлаждают в эксикаторе и взвешивают. Осадок смачивают несколькими каплями воды, прибавляют 3-4 капли раствора серной кислоты (1:1), 5-6 см фтористоводородной кислоты и выпаривают до удаления паров серной кислоты. Затем тигель прокаливают при температуре 1000-1100 °С в течение 20 мин, охлаждают в эксикаторе и снова взвешивают.
4.4 Обработка результатов
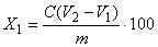
4.4.1 Массовую долю кремния , %, вычисляют по формуле
, (1)
где - масса тигля с осадком диоксида кремния до обработки фтористоводородной кислотой, г;
- масса тигля с остатком после обработки фтористоводородной кислотой, г;
- масса тигля с осадком контрольного опыта до обработки фтористоводородной кислотой, г;
- масса тигля с остатком контрольного опыта после обработки фтористоводородной кислотой, г;
- масса навески пробы, г.
- коэффициент пересчета диоксида кремния на кремний;
4.4.2 Нормы точности и нормативы контроля точности определения массовой доли кремния приведены в таблице 1.
Таблица 1 - Нормы точности и нормативы контроля точности
В процентах
Массовая доля кремния | Погрешность результатов анализа | Допускаемое расхождение | |||
двух средних результатов анализа, выполненных | двух параллельных определений | трех параллельных определений | результатов анализа стандартного образца | ||
От 8 до 10 включ. | 0,16 | 0,20 | 0,17 | 0,20 | 0,11 |
Св. 10 " 20 " | 0,3 | 0,4 | 0,3 | 0,4 | 0,2 |
" 20 " 50 " | 0,5 | 0,6 | 0,5 | 0,6 | 0,3 |
" 50 " 95 " | 0,7 | 0,8 | 0,7 | 0,8 | 0,4 |
5 Титриметрический метод
5.1 Сущность метода
Метод основан на осаждении кремниевой кислоты в виде кремнефторида калия. Осадок кремнефторида калия подвергают гидролизу горячей водой в присутствии хлористого кальция. Выделенную при этом хлористоводородную кислоту в количестве, эквивалентном содержанию фтористоводородной кислоты, оттитровывают раствором щелочи в присутствии фенолфталеина или смешанного индикатора.
5.2 Реактивы и растворы
Кислота фтористоводородная по ГОСТ 10484.
Кислота азотная по ГОСТ 4461.
Калий хлористый по ГОСТ 4234, растворы 200 и 40 г/дм.
Последний готовят на воде, прокипяченной в течение 1 ч и охлажденной.
Кальций хлористый по НД, раствор 400 г/дм, нейтрализованный раствором гидроксида натрия по индикатору метиловому красному.
Барий хлористый по ГОСТ 4108, раствор 10 г/дм.
Метиловый красный, индикатор и спиртовой раствор 1 г/дм.
Метиловый голубой, индикатор.
Фенолфталеин, индикатор, спиртовой раствор 10 г/дм.
Индикатор смешанный (индикатор Ташира): 0,125 г метилового красного и 0,083 г метиленового голубого растворяют в 100 см этилового спирта; применяют через сутки после приготовления.
Спирт этиловый ректификованный по ГОСТ 5962 или по ГОСТ 18300.
Натрия гидроокись по ГОСТ 4328, раствор 0,25 моль/дм: 10 г гидроксида натрия растворяют в 1 дм
воды в сосуде из полиэтилена, добавляют 2 см
раствора хлористого бария и через 3 сут раствор отфильтровывают. Хранят в посуде из полиэтилена.
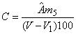
Массовую концентрацию раствора гидроксида натрия , г/см
кремния, устанавливают по стандартному образцу ферросилиция с химическим составом, соответствующим требованиям настоящего стандарта, и проведенному через все стадии анализа в соответствии с 4.3, и вычисляют по формуле
, (2)
где - аттестованное значение массовой доли кремния в стандартном образце, %;
- масса навески стандартного образца, г;
- объем раствора гидроксида натрия, израсходованный на титрование раствора стандартного образца, см
;
- объем раствора гидроксида натрия, израсходованный на титрование раствора контрольного опыта, см
.
Вода дистиллированная, прокипяченная в течение 1 ч.
5.3 Проведение анализа
Навеску пробы массой 0,2 г (при массовой доле кремния до 20%) или 0,1 г (при массовой доле кремния свыше 20%) помещают в пластмассовый стакан (фторопластовый, полиэтиленовый и др.), приливают 15 см воды, 10 см
азотной кислоты и 10 см
фтористоводородной кислоты, закрывают стакан пластмассовой крышкой и растворяют пробу без нагревания при перемешивании в течение 1-2 мин.
При анализе низкокремнистых сплавов наблюдается легкий осадок черного цвета.
Крышку снимают, удаляют оксиды азота выдуванием резиновой грушей, обмывают крышку и стенки стакана примерно 10 см воды, добавляют 40 см
раствора хлористого калия 200 г/дм
, перемешивают и стакан с раствором охлаждают проточной водой до температуры 10-15 °С.
Выпавший осадок кремнефторида калия отфильтровывают на фильтр средней плотности с небольшим количеством фильтробумажной массы, помещенный в пластмассовую воронку. Стакан и осадок промывают охлажденным раствором хлористого калия 40 г/дм до нейтральной реакции по универсальной индикаторной бумаге. Промывание осадка считается достаточным, если от одной капли фильтрата универсальная бумага становится желтой. Затем фильтр с осадком переносят в коническую колбу вместимостью 500 см
, приливают 150-200 см
кипящей прокипяченной воды и 10 см
раствора хлористого кальция. Содержимое колбы тщательно перемешивают для растворения осадка и разрушения фильтра, обмывают стенки колбы прокипяченной водой, нагревают раствор до кипения и титруют раствором гидроксида натрия в присутствии 7-10 капель раствора фенолфталеина до появления устойчивой розовой окраски раствора или в присутствии 10 капель смешанного индикатора до устойчивой зеленой окраски раствора. При применении смешанного индикатора колбу с оттитрованным раствором снова нагревают, если появляется малиновая окраска, раствор дотитровывают раствором гидроксида натрия до устойчивой зеленой окра
ски.
5.4 Обработка результатов
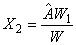
5.4.1 Массовую долю кремния , %, вычисляют по формуле
, (3)
где - массовая концентрация раствора гидроксида натрия, выраженная в г/см
кремния;
- объем раствора гидроксида натрия, израсходованный на титрование раствора пробы, см
;
- объем раствора гидроксида натрия, израсходованный на титрование раствора контрольного опыта, см
;
- масса навески пробы, г
.
5.4.2 Нормы точности и нормативы контроля точности определения массовой доли кремния приведены в таблице 1.
6 Термометрический метод
6.1 Сущность метода
Метод основан на измерении изменения температуры раствора в результате химической реакции осаждения кремниевой кислоты в виде кремнефторида калия.
6.2 Аппаратура, реактивы и растворы
Термометрический анализатор типа "Дитерманал" со всеми принадлежностями.
Кислота соляная по ГОСТ 3118, раствор 2:1.
Кислота азотная по ГОСТ 4461, раствор 1:1.
Кислота фтористоводородная по ГОСТ 10484.
Стронций хлористый 6-водный по ГОСТ 4140, раствор 300 г/дм.
Калий хлористый по ГОСТ 4234, раствор 300 г/дм.
Калий фтористый 2-водный по ГОСТ 20848, раствор 200 г/дм.
Реагент-осадитель готовят следующим образом: смешивают 1,7 дм раствора хлористого калия с 300 см
раствора фтористого калия.
6.3 Проведение анализа
Навеску пробы, отобранную в соответствии с таблицей 2, помещают в полиэтиленовый сосуд для растворения.
Таблица 2 - Масса навески пробы
Массовая доля кремния, % | Масса навески пробы, г |
От 8 до 20 включ. | 1,0 |
Св. 20 " 50 " | 0,5 |
" 50 " 60 " | 0,25 |
" 80 " 95 " | 0,2 |
Приливают 10 см раствора азотной кислоты, 10 см
раствора соляной кислоты, обмывают стенки сосуда 20-30 см
воды, добавляют 15 см
фтористоводородной кислоты и немедленно закрывают колбу резиновой пробкой с полиэтиленовой газоотводной трубкой. Колбу нагревают в течение 1,5 ч на водяной бане. Охлаждают, обмывают газоотводную трубку и пробку водой, добавляют 5 см
раствора хлористого стронция, переносят раствор в мерную полиэтиленовую колбу вместимостью 200 см
и доливают до метки водой. Раствор переливают в пластмассовый стакан и устанавливают температуру (23,0±0,5) °С. Стакан помещают в измерительную ячейку прибора и осаждают кремнефторид калия 12 см
раствора реагента-осадителя, регистрируя изменение температуры раствора согласно инструкции по эксплуатации термоанализатора. При работе в автоматическом режиме время компенсации 4 мин; чувствительность 4 В, программа дифференциальная, время реакции 60 с.
Массовую долю кремния определяют методом сравнения со стандартным образцом ферросилиция с химическим составом, соответствующим требованиям настоящего стандарта, и проведенным через все стадии анализа
.
6.4 Обработка результатов
6.4.1 Массовую долю кремния , %, вычисляют по формуле
, (4)
где - аттестованное значение массовой доли кремния в стандартном образце, %;
- показания цифрового вольтметра при анализе раствора стандартного образца;
- показания цифрового вольтметра при анализе раствора пробы.
6.4.2 Нормы точности и нормативы контроля точности определения массовой доли кремния приведены в таблице 1.
Электронный текст документа
подготовлен ЗАО "Кодекс" и сверен по:
официальное издание
М.: ИПК Издательство стандартов, 2001
Разместите заказ
сами сделают вам предложение
