ГОСТы сталей. ГОСТ 13217.9-90
ГОСТ 13217.9-90
(CT СЭВ 1213-89)
Группа B19
ГОСУДАРСТВЕННЫЙ СТАНДАРТ СОЮЗА ССР
ФЕРРОВАНАДИЙ
Методы определения меди
Ferrovanadium. Methods for determination of copper
ОКСТУ 0809
Срок действия с 01.07.91
до 01.07.2001*
________________________________
* Ограничение срока действия снято
по протоколу N 7-95 Межгосударственного Совета
по стандартизации, метрологии и сертификации
(ИУС N 11, 1995 год). - Примечание изготовителя базы данных.
ИНФОРМАЦИОННЫЕ ДАННЫЕ
1. РАЗРАБОТАН И ВНЕСЕН Министерством металлургии СССР
РАЗРАБОТЧИКИ
В.Г.Мизин, Т.А.Перфильева, С.И.Ахманаев, Л.М.Клейнер, Г.И.Гусева
2. УТВЕРЖДЕН И ВВЕДЕН В ДЕЙСТВИЕ Постановлением Государственного комитета СССР по управлению качеством продукции и стандартам от 04.05.90 N 1099
3. Стандарт соответствует СТ СЭВ 1213-89
4. ВЗАМЕН ГОСТ 13217.9-79
5. ССЫЛОЧНЫЕ НОРМАТИВНО-ТЕХНИЧЕСКИЕ ДОКУМЕНТЫ
Обозначение НТД, на который дана ссылка | Номер пункта |
ГОСТ 4-84 | 2.2 |
ГОСТ 61-75 | 2.2 |
ГОСТ 1027-67 | 2.2 |
ГОСТ 3760-79 | 2.2 |
ГОСТ 4204-77 | 2.2, 3.2 |
ГОСТ 4461-77 | 2.2, 3.2 |
ГОСТ 8864-71 | 2.2 |
ГОСТ 10484-78 | 2.2, 3.2 |
ГОСТ 20015-74 | 2.2 |
ГОСТ 26201-84 | 1.2 |
ГОСТ 27349-87 | 1.1 |
Настоящий стандарт устанавливает фотометрический и атомно-абсорбционный методы определения меди в феррованадии при массовой доле ее от 0,01 до 0,6%.
1. ОБЩИЕ ТРЕБОВАНИЯ
1. ОБЩИЕ ТРЕБОВАНИЯ
1.1. Общие требования к методам анализа - по ГОСТ 27349.
1.2. Лабораторная проба должна быть приготовлена в виде порошка с максимальным размером частиц 0,16 мм по ГОСТ 26201.
2. ФОТОМЕТРИЧЕСКИЙ МЕТОД
2.1. Сущность метода
Метод основан на измерении оптической плотности окрашенного в коричневый цвет комплексного соединения меди с диэтилдитиокарбаматом свинца после экстракции его хлороформом или четыреххлористым углеродом.
2.2. Аппаратура, реактивы и растворы
Спектрофотометр или фотоэлектроколориметр.
Кислота серная по ГОСТ 4204, раствор 1:1.
Кислота азотная по ГОСТ 4461 и раствор 1:1.
Кислота уксусная по ГОСТ 61, раствор с массовой концентрацией 100 г/дм.
Аммиак водный по ГОСТ 3760.
Натрия N, N-диэтилдитиокарбамат 3-водный по ГОСТ 8864.
Свинец уксуснокислый по ГОСТ 1027.
Хлороформ по ГОСТ 20015* или углерод четыреххлористый по ГОСТ 4.
______________
* На территории Российской Федерации действует ГОСТ 20015-88. - Примечание изготовителя базы данных.
Раствор диэтилдитиокарбамата свинца в хлороформе или четыреххлористом углероде: 0,2 г уксуснокислого свинца растворяют в воде в присутствии 10 см раствора уксусной кислоты.
К раствору прибавляют 0,25 г диэтилдитиокарбамата натрия, растворенного в 50 см воды. Раствор с выпавшим белым осадком переносят в делительную воронку вместимостью 1 дм
, приливают 500 см
хлороформа или четыреххлористого углерода и воронку с раствором встряхивают до полного растворения осадка. После разделения фаз нижний слой фильтруют через сухой фильтр в мерную колбу вместимостью 2 дм
. Раствор диэтилдитиокарбамата свинца доливают до метки хлороформом или четыреххлористым углеродом, перемешивают и сохраняют в склянке из темного стекла.
Кислота фтористоводородная по ГОСТ 10484.
Медь металлическая.
Стандартные растворы меди
Раствор А: 0,1000 г металлической меди растворяют при нагревании в 10-15 см раствора азотной кислоты, добавляют 30 см
раствора серной кислоты и выпаривают до выделения паров серной кислоты. Соли растворяют в 100 см
воды. Раствор переносят в мерную колбу вместимостью 1 дм
, охлаждают, доливают до метки водой и перемешивают.
Массовая концентрация меди в растворе А равна 0,0001 г/см.
Раствор Б: 10,0 см раствора А помещают в мерную колбу вместимостью 100 см
, доливают до метки водой и перемешивают.
Массовая концентрация меди в растворе Б равна 0,0000
1 г/см.
2.3. Проведение анализа
2.3.1. Навеску пробы массой 0,2 г помещают во фторопластовый стакан или чашку из платины или стеклоуглерода, приливают 15 см раствора азотной кислоты и растворяют без нагревания. Затем прибавляют 2 см
фтористоводородной кислоты, 10 см
раствора серной кислоты и выпаривают до выделения паров серной кислоты. После охлаждения приливают 20-30 см
воды, растворяют соли при нагревании и раствор снова охлаждают.
Весь раствор или аликвотную часть, согласно табл.1, переносят в делительную воронку вместимостью 150-200 см, доливают водой примерно до объема 50 см
, добавляют аммиак до рН 2 (контроль по индикаторной бумаге).
Таблица 1
Массовая доля меди, % | Вместимость мерной колбы, см | Объем аликвотной части раствора пробы, cм |
От 0,010 до 0,025 включ. | - | Весь раствор |
Св. 0,025 " 0,05 " | 100 | 50 |
" 0,05 " 0,25 " | 100 | 10 |
" 0,25 " 0,6 " | 250 | 10 |
2.3.2. Раствор охлаждают и приливают 10 см раствора диэтилдитиокарбамата свинца. Делительную воронку встряхивают в течение 2 мин. Затем дают слоям отстояться и органический слой сливают в сухую мерную колбу вместимостью 25 см
.
Экстракцию с 5 см раствора диэтилдитиокарбамата свинца повторяют трижды, собирая органический слой в ту же колбу. Объем объединенных экстрактов доливают до метки хлороформом или четыреххлористым углеродом и перемешивают.
Оптическую плотность раствора измеряют на спектрофотометре при длине волны 436 нм или фотоэлектроколориметре в области светопропускания от 430 до 460 нм.
Раствор при наполнении кювет фильтруют через сухой фильтр. В качестве раствора сравнения применяют хлороформ или четыреххлористый углерод. Измерение оптической плотности следует проводить непосредственно после экстракции.
Массу меди находят по градуировочному графику после вычитания значения оптической плотности раствора контрольного опыта из значения оптической плотности раствора пробы.
2.3.3. Для построения градуировочного графика в пять делительных воронок из шести вместимостью 150-200 см каждая помещают 1,0, 2,0, 3,0, 4,0 и 6,0 см
стандартного раствора Б, что соответствует 0,00001, 0,00002, 0,00003, 0,00004 и 0,00006 г меди. Во все воронки приливают по 2 см
раствора серной кислоты, аммиак до рН 2 и далее поступают, как указано в п.2.3.2.
Градуировочный график строят по результатам, полученным после вычитания значения оптической плотности раствора, не содержащего стандартный раствор, из значений оптических плотностей растворов, содержащих стандартный раствор, и соответствующим им массам меди.
2.4. Обработка результатов
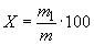
2.4.1. Массовую долю меди () в процентах вычисляют по формуле
, (1)
где - масса меди, найденная по градуировочному графику, г;
- масса навески пробы или масса навески, соответствующая аликвотной части раствора пробы, г.
2.4.2. Нормы точности и нормативы контроля точности определения массовой доли меди приведены в табл.2.
Таблица 2
Допускаемые расхождения, % | |||||
Массовая доля меди, % | Погрешность результатов анализа, % | двух средних результатов анализа, выполненных | двух параллельных определений | трех параллельных определений | результатов анализа стандартного образца от аттестованного значения |
От 0,01 до 0,02 включ. | 0,004 | 0,005 | 0,004 | 0,005 | 0,003 |
Св. 0,02 " 0,05 " | 0,006 | 0,007 | 0,006 | 0,007 | 0,004 |
" 0,05 " 0,1 " | 0,01 | 0,01 | 0,01 | 0,01 | 0,005 |
" 0,1 " 0,2 " | 0,02 | 0,02 | 0,02 | 0,02 | 0,01 |
" 0,2 " 0,5 " | 0,03 | 0,04 | 0,03 | 0,04 | 0,02 |
" 0,5 " 0,6 " | 0,04 | 0,05 | 0,04 | 0,05 | 0,03 |
3. АТОМНО-АБСОРБЦИОННЫЙ МЕТОД
3.1. Сущность метода
Метод основан на измерении атомной абсорбции меди в пламени ацетилен-воздух при длине волны 324,8 нм с предварительным растворением пробы в серной кислоте.
3.2. Аппаратура, реактивы и растворы
Атомно-абсорбционный спектрометр со всеми принадлежностями.
Кислота серная по ГОСТ 4204 и растворы 1:1 и 1:4.
Кислота фтористоводородная по ГОСТ 10484.
Кислота азотная по ГОСТ 4461 и раствор 1:1.
Железо металлическое.
Раствор железа 10 г/см: 10 г железа растворяют при нагревании в 40 см
соляной кислоты, приливают 5 см
азотной кислоты, раствор кипятят до удаления оксидов азота. Охлажденный раствор переносят в мерную колбу вместимостью 1 дм
, доливают водой до метки и перемешивают.
Ванадия (V) оксид.
Раствор ванадия 10 г/см: 17,9 г оксида ванадия растворяют при нагревании в 100 см
соляной кислоты, приливают 5 см
азотной кислоты, раствор кипятят до удаления оксидов азота. Охлажденный раствор переносят в мерную колбу вместимостью 1 дм
, доливают водой до метки и перемешивают.
Медь металлическая.
Стандартные растворы меди
Раствор А: 0,2500 г меди растворяют при нагревании в 10-15 см раствора азотной кислоты, добавляют 30 см
раствора серной кислоты 1:1 и выпаривают до выделения паров серной кислоты. Охлаждают, приливают 100 см
воды и соли растворяют при нагревании. После охлаждения раствор переносят в мерную колбу вместимостью 1 дм
, доливают до метки водой и перемешивают.
Массовая концентрация меди в растворе А равна 0,00025 г/см.
Раствор Б: 20,0 см pacтвopa А помещают в мерную колбу вместимостью 100 см
, доливают до метки водой и перемешивают.
Массовая концентрация меди в растворе Б равна 0,00
005 г/см.
3.3. Проведение анализа
3.3.1. Навеску пробы массой 0,5 г помещают во фторопластовый стакан вместимостью 100 см или чашку из платины или стеклоуглерода, приливают 20 см
раствора серной кислоты 1:4, 2 см
фтористоводородной кислоты, нагревают до растворения навески, приливают азотную кислоту до прекращения вспенивания раствора и еще в избыток 2 см
. Раствор выпаривают до выделения паров серной кислоты и охлаждают, затем соли растворяют в 20 см
воды. После охлаждения раствор переносят в мерную колбу вместимостью 100 см
, доливают водой до метки и перемешивают.
Атомную абсорбцию меди измеряют параллельно в растворе контрольного опыта, растворе пробы, растворах для построения градуировочного графика, растворе стандартного образца при длине волны 324,8 нм в пламени ацетилен-воздух.
3.3.2. После вычитания значения атомной абсорбции раствора контрольного опыта из значения атомной абсорбции раствора пробы находят массовую долю меди в пробе методом сравнения со стандартным образцом с химическим составом, соответствующим требованиям настоящего стандарта, или методом добавок, или методом градуировочного графика.
3.3.2.1. При применении метода сравнения со стандартным образцом навеску образца проводят через все стадии анализа, как указано в п.3.3.1.
3.3.2.2. При применении метода добавок к навеске пробы добавляют такое количество стандартного раствора меди, чтобы значение атомной абсорбции раствора пробы с добавлением стандартного раствора составляло не более двукратного значения атомной абсорбции раствора пробы и находилось в линейном диапазоне градуировочного графика. Далее анализ проводят по п.3.3.1.
3.3.2.3. При применении метода градуировочного графика в стаканы помещают растворы ванадия и железа в количествах, соответствующих их содержаниям в пробе, стандартный раствор меди согласно табл.3. В один стакан стандартный раствор не добавляют. Во все стаканы помещают по 20 см раствора серной кислоты 1:4 и далее поступают, как указано в п.3.3.1.
Таблица 3
Массовая доля меди, % | Масса меди, мг | Стандартный | Объем стандартного раствора, см |
От 0,01 до 0,1 включ. | 0,05-0,5 | Б | 1-10 |
Св. 0,1 " 0,6 " | 0,5-3 | А | 2-12 |
Градуировочный график строят по результатам, полученным после вычитания значения абсорбции раствора, не содержащего стандартный раствор меди, из значений абсорбции растворов, содержащих стандартный раствор, и соответствующим им массам меди.
3.4. Обработка результатов
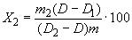
3.4.1. Массовую долю меди () в процентах, определяемую методом сравнения, вычисляют по формуле
, (2)
где - аттестованное значение массовой доли меди в стандартном образце, %;
- значение атомной абсорбции раствора пробы;
- значение атомной абсорбции раствора контрольного опыта;
- значение атомной абсорбции раствора стандартного образца.
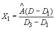
3.4.2. Массовую долю меди () в процентах, определяемую методом добавок, вычисляют по формуле
, (3)
где - масса меди, добавленная к навеске пробы, г;
- значение атомной абсорбции раствора пробы без добавления стандартного раствора;
- значение атомной абсорбции раствора контрольного опыта;
- значение атомной абсорбции раствора пробы с добавлением стандартного раствора;
- масса навески пробы, г.
3.4.3. Массовую долю меди () в процентах, определяемую методом градуировочного графика, вычисляют по формуле
, (4)
где - масса меди, найденная по градуировочному графику, г;
- масса навески пробы, г.
3.4.4. Нормы точности и нормативы контроля точности определения массовой доли меди приведены в табл.2.
Электронный текст документа
подготовлен АО "Кодекс" и сверен по:
официальное издание
Феррованадий. Методы анализа: Сб. ГОСТов. -
М.: Издательство стандартов, 1990
Разместите заказ
сами сделают вам предложение
