ГОСТы сталей. ГОСТ 13217.8-90
ГОСТ 13217.8-90
Группа В19
ГОСУДАРСТВЕННЫЙ СТАНДАРТ СОЮЗА ССР
ФЕРРОВАНАДИЙ
Методы определения хрома
Ferrovanadium.
Methods for determination of chromium
ОКСТУ 0809
Срок действия с 01.07.91
до 01.07.2001*
________________________________
* Ограничение срока действия снято
по протоколу N 7-95 Межгосударственного Совета
по стандартизации, метрологии и сертификации
(ИУС N 11, 1995 год). - Примечание изготовителя базы данных.
ИНФОРМАЦИОННЫЕ ДАННЫЕ
1. РАЗРАБОТАН И ВНЕСЕН Министерством металлургии СССР
РАЗРАБОТЧИКИ
В.Г.Мизин, Т.А.Перфильева, С.И.Ахманаев, Л.М.Клейнер, Г.И.Гусева
2. УТВЕРЖДЕН И ВВЕДЕН В ДЕЙСТВИЕ Постановлением Государственного комитета СССР по управлению качеством продукции и стандартам от 04.05.90 N 1098
3. ВЗАМЕН ГОСТ 13217.8-79
4. ССЫЛОЧНЫЕ НОРМАТИВНО-ТЕХНИЧЕСКИЕ ДОКУМЕНТЫ
Обозначение НТД, на который дана ссылка | Номер пункта |
ГОСТ 83-79 | 2.2 |
ГОСТ 1277-75 | 2.2 |
ГОСТ 3118-77 | 3.2 |
ГОСТ 4204-77 | 2.2, 3.2 |
ГОСТ 4208-72 | 2.2 |
ГОСТ 4220-75 | 2.2 |
ГОСТ 4233-77 | 2.2 |
ГОСТ 4328-77 | 2.2 |
ГОСТ 4461-77 | 2.2, 3.2 |
ГОСТ 6552-80 | 2.2 |
ГОСТ 10484-78 | 3.2 |
ГОСТ 20485-75 | 2.2 |
ГОСТ 20490-75 | 2.2 |
ГОСТ 26201-84 | 1.2 |
ГОСТ 27349-87 | 1.1 |
Настоящий стандарт устанавливает титриметрический и атомно-абсорбционный методы определения хрома в феррованадии при массовой доле его от 0,3 до 3,0%.
1. ОБЩИЕ ТРЕБОВАНИЯ
1. ОБЩИЕ ТРЕБОВАНИЯ
1.1. Общие требования к методам анализа - по ГОСТ 27349.
1.2. Лабораторная проба должна быть приготовлена в виде порошка с максимальным размером частиц 0,16 мм по ГОСТ 26201.
2. ТИТРИМЕТРИЧЕСКИЙ МЕТОД
2.1. Сущность метода
Метод основан на отделении хрома, марганца и железа гидроксидом натрия от основной массы ванадия и последующем окислении хрома в сернокислой среде надсернокислым аммонием до шестивалентного состояния. Определение хрома заканчивают методом обратного титрования, титруя избыток раствора двухвалентного железа раствором марганцовокислого калия.
2.2. Реактивы и растворы
Кислота серная по ГОСТ 4204, растворы 1:4 и 3:97.
Кислота азотная по ГОСТ 4461.
Кислота ортофосфорная по ГОСТ 6552.
Аммоний надсернокислый по ГОСТ 20485, раствор с массовой концентрацией 250 г/дм.
Серебро азотнокислое по ГОСТ 1277, раствор с массовой концентрацией 2,5 г/дм.
Натрия гидроокись по ГОСТ 4328, растворы с массовой концентрацией 10 г/дм и 250 г/дм
.
Натрий хлористый по ГОСТ 4233, раствор с массовой концентрацией 50 г/дм.
Натрий углекислый по ГОСТ 83, раствор с массовой концентрацией 2 г/дм.
Фенилантраниловая кислота, раствор с массовой концентрацией 2 г/дм: 0,2 г фенилантраниловой кислоты растворяют при нагревании в 100 см
раствора натрия углекислого.
Калий двухромовокислый по ГОСТ 4220, раствор (
K
Сr
О
)=0,05 моль/дм
: 2,4517 г при необходимости перекристаллизованного и просушенного до постоянной массы при температуре 180 °С двухромовокислого калия растворяют в 150 см
бидистиллированной воды в мерной колбе вместимостью 1 дм
, доливают до метки той же водой и перемешивают.
1 см раствора содержит 0,000867 г хрома.
Соль закиси железа и аммония двойная сернокислая (соль Мора) по ГОСТ 4208, раствор (FeSО
·(NH
)
·SO
·6H
O)=0,05 моль/дм
: 20 г соли растворяют в 800 см
раствора серной кислоты 3:97 в мерной колбе вместимостью 1 дм
, после чего доливают до метки тем же раствором серной кислоты и перемешивают.
Массовую концентрацию раствора соли Мора устанавливают по раствору двухромовокислого калия. Для этого в коническую колбу вместимостью 500 см помещают 25,0 см
раствора двухромовокислого калия, затем прибавляют 200 см
воды, 30 см
раствора серной кислоты 1:4, 5 см
ортофосфорной кислоты. К раствору прибавляют 5-6 капель фенилантраниловой кислоты и титруют раствором соли Мора до перехода сине-фиолетовой окраски раствора в изумрудно-зеленую.
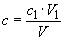
Массовую концентрацию () раствора соли Мора, выраженную в г/см
хрома, вычисляют по формуле
, (1)
где - массовая концентрация раствора двухромовокислого калия, выраженная в г/см
хрома;
- объем раствора двухромовокислого калия, взятый для титрования, см
;
- объем раствора соли Мора, израсходованный на титрование раствора двухромовокислого калия, см
.
Калий марганцовокислый по ГОСТ 20490, раствор (
KMnO
)=0,05 моль/дм
: 1,58 г реактива растворяют в 500-600 см
воды, переносят в мерную колбу вместимостью 1 дм
, доливают водой до метки и перемешивают. Раствор переливают в склянку из темного стекла, выдерживают в течение 10 сут, а затем сифонируют в другую склянку из темного стекла.
Для установки соотношения между растворами марганцовокислого калия и соли Мора в колбу вместимостью 250 см приливают из бюретки 25,0 см
раствора соли Мора, 100 см
воды, 50 см
серной кислоты 1:4 и титруют раствором марганцовокислого калия до слабо-розовой окраски, устойчивой в течение 1 мин.
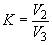
Соотношение растворов марганцовокислого калия и соли Мора () вычисляют по формуле
, (2)
где - объем раствора марганцовокислого калия, израсходованный на титрование раствора соли Мора, см
;
- объем раствора соли Мора, взятый для титрования, см
.
Массовую концентрацию раствора марганцовокислого калия (), выраженную в г/см
хрома, вычисляют по формуле
, (3)
где - массовая концентрация раствора соли Мора, выраженная в г/см
хрома;
- объем раствора марганцовокислого калия, израсходованный на титрование раствора соли Мора, см
;
- объем раствора соли Мора, взятый для титрования, см
.
2.3. Проведение анализа
2.3.1. Навеску пробы массой 1 г помещают в коническую колбу вместимостью 250 см, приливают 40 см
раствора серной кислоты 1:4, затем 2 см
фтористоводородной кислоты, нагревают до растворения, приливают азотную кислоту до прекращения вспенивания раствора и еще в избыток 2 см
. Раствор выпаривают до выделения паров серной кислоты.
После охлаждения соли растворяют при нагревании в 100 см воды. Охлаждают и нейтрализуют раствором гидроксида натрия 250 г/дм
до желтовато-зеленого цвета и вливают при перемешивании в колбу вместимостью 500 см
, в которой находится 50 см
горячего раствора гидроксида натрия 250 г/см
. Раствор с осадком кипятят 5 мин, осадок отфильтровывают на фильтр средней плотности, промывают 6-8 раз горячим раствором гидроксида натрия 10 г/дм
. Затем осадок смывают водой в колбу, в которой проводилось осаждение гидроксидов. Фильтр промывают 30 см
горячей серной кислоты 1:4 и 4-5 раз горячей водой, собирая промывные воды в ту же колбу. Содержимое колбы нагревают до растворения осадка. Охлаждают и нейтрализуют раствором гидроксида натрия 250 г/см
до желтого цвета. Затем раствор при перемешивании вливают в колбу вместимостью 500 см
, в которой находится 50 см
горячего раствора гидроксида натрия 250 г/см
. Раствор с осадком кипятят 5 мин, а затем осадок отфильтровывают на фильтр средней плотности и промывают 6-8 раз горячим раствором гидроксида натрия 10 г/дм
. Промытый осадок смывают водой в колбу, в которой проводилось осаждение. Фильтр промывают 30 см
горячей серной кислоты 1:4 и 4-5 раз горячей водой, собирая промывные воды в ту же колбу. Фильтр отбрасывают. Содержимое колбы нагревают до растворения осадка, приливают 20 см
раствора серной кислоты 1:4, 5 см
ортофосфорной кислоты, доводят объем раствора водой до 250 см
и нагревают до кипения.
К горячему раствору приливают 10 см раствора азотнокислого серебра, 30 см
раствора надсернокислого аммония и умеренно кипятят до полного окисления хрома и разложения избытка надсернокислого аммония. Колбу снимают с плитки, осторожно приливают 10 см
раствора хлористого натрия и кипятят раствор в течение 3-5 мин для восстановления марганцовой кислоты.
Раствор охлаждают, приливают из бюретки раствор соли Мора до перехода желтой окраски раствора в зеленую, после чего добавляют еще 5-10 см раствора соли Мора. Избыток соли Мора при энергичном перемешивании оттитровывают раствором марганцовокислого калия до появления устойчивой в течение 2 мин розовой
окраски раствора.
2.4. Обработка результатов
2.4.1. Массовую долю хрома () в процентах вычисляют по формуле
, (4)
где - массовая концентрация раствора марганцовокислого калия, выраженная в г/см
хрома;
- объем раствора соли Мора, добавленный к раствору пробы, см
;
- объем раствора марганцовокислого калия, израсходованный на титрование избытка раствора соли Мора, см
;
- соотношение растворов марганцовокислого калия и соли Мора;
- масса навески пробы,
г.
2.4.2. Нормы точности и нормативы контроля точности определения массовой доли хрома приведены в табл.1.
Таблица 1
Допускаемые расхождения, % | |||||
Массовая доля хрома, % | Погрешность результатов анализа, % | двух средних результатов анализа, выполненных | двух параллельных определений | трех параллельных определений | результатов анализа стандартного образца от аттестованного значения |
От 0,3 до 0,5 включ. | 0,03 | 0,04 | 0,03 | 0,04 | 0,02 |
Св. 0,5 " 1,0 " | 0,04 | 0,05 | 0,04 | 0,05 | 0,02 |
" 1,0 " 2,0 " | 0,05 | 0,07 | 0,06 | 0,07 | 0,03 |
" 2,0 " 3,0 " | 0,08 | 0,11 | 0,09 | 0,11 | 0,05 |
3. АТОМНО-АБСОРБЦИОННЫЙ МЕТОД
3.1. Сущность метода
Метод основан на измерении атомной абсорбции хрома в пламени закись азота-ацетилен при длине волны 357,9 нм с предварительным растворением пробы в серной кислоте.
3.2. Аппаратура, реактивы и растворы
Атомно-абсорбционный спектрометр со всеми принадлежностями.
Кислота азотная по ГОСТ 4461.
Кислота фтористоводородная по ГОСТ 10484.
Кислота серная по ГОСТ 4204 и растворы 1:4 и 1:2.
Кислота соляная по ГОСТ 3118.
Железо металлическое.
Раствор железа 10 г/дм: 10 г железа растворяют при нагревании в 40 см
соляной кислоты, приливают 5 см
азотной кислоты, раствор кипятят до удаления оксидов азота. Охлажденный раствор переносят в мерную колбу вместимостью 1 дм
, доливают водой до метки и перемешивают.
Ванадия (V) оксид.
Раствор ванадия 10 г/дм: 17,9 г оксида ванадия растворяют при нагревании в 100 см
соляной кислоты, приливают 5 см
азотной кислоты и кипятят до удаления оксидов азота. Охлажденный раствор переносят в мерную колбу вместимостью 1 дм
, доливают водой до метки и перемешивают.
Хром металлический.
Стандартный раствор хрома: 1,0000 г хрома растворяют в 50 см раствора серной кислоты 1:2, окисляют азотной кислотой, выпаривают раствор до начала выделения паров серной кислоты. Соли растворяют в воде при нагревании, охлаждают и переносят в мерную колбу вместимостью 1 дм
, доливают водой до метки и перемешивают.
Массовая концентрация хрома в растворе равна 0,001 г
/см.
3.3. Проведение анализа
3.3.1. Навеску пробы массой 0,5 г помещают во фторопластовый стакан или чашку из платины или стеклоуглерода, приливают 20 см раствора серной кислоты 1:4, затем 2 см
фтористоводородной кислоты, нагревают до растворения, приливают азотную кислоту до прекращения вспенивания раствора и еще в избыток 2 см
. Раствор выпаривают до выделения паров серной кислоты и охлаждают. Затем соли растворяют в 20 см
воды при нагревании и охлаждают. Раствор переносят в мерную колбу вместимостью 100 см
, доливают водой до метки и перемешивают.
Атомную абсорбцию хрома измеряют параллельно в растворе контрольного опыта, растворе пробы, растворах для построения градуировочного графика, растворе стандартного образца при длине волны 357,9 нм в пламени закись азота-ацетилен.
3.3.2. После вычитания значения атомной абсорбции раствора контрольного опыта из значения абсорбции раствора пробы находят массовую долю хрома в пробе методом сравнения со стандартным образцом, с химическим составом, соответствующим требованиям настоящего стандарта, или методом градуировочного графика, или методом добавок.
3.3.2.1. При применении метода сравнения навеску стандартного образца проводят через все стадии анализа, как указано в п.3.3.1.
3.3.2.2. При применении метода градуировочного графика в ряд стаканов помещают растворы ванадия и железа в количествах, соответствующих их содержаниям в пробе, стандартный раствор хрома, согласно табл.2. В один стакан стандартный раствор хрома не помещают. Во все стаканы приливают по 20 см раствора серной кислоты 1:4 и далее поступают, как указано в п.3.3.1.
Таблица 2
Массовая доля хрома, % | Масса хрома в атомизируемом растворе, мг | Объем стандартного раствора хрома, см |
От 0,3 до 0,6 включ. | 1,5-3,0 | 1-3 |
Св. 0,6 " 1,5 " | 3,0-7,5 | 3-8 |
" 1,5 " 3,0 " | 7,5-15 | 8-16 |
Градуировочный график строят по результатам, полученным после вычитания значения абсорбции раствора, не содержащего стандартный раствор хрома, из значений абсорбции растворов, содержащих стандартный раствор, и соответствующим им массам хрома.
3.3.2.3. При применении метода добавок к навеске пробы добавляют такое количество стандартного раствора хрома, чтобы значение атомной абсорбции пробы с добавлением стандартного раствора составляло не более двухкратного значения атомной абсорбции раствора пробы и находилось в линейном диапазоне градуировочного графика. Далее анализ проводят по п.3.3.1.
3.4. Обработка результатов
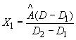
3.4.1. Массовую долю хрома () в процентах, определяемую методом сравнения, вычисляют по формуле
, (5)
где - аттестованное значение массовой доли хрома в стандартном образце, %;
- значение атомной абсорбции раствора пробы;
- значение атомной абсорбции раствора контрольного опыта;
- значение атомной абсорбции раствора стандартного образца.
3.4.2. Массовую долю хрома () в процентах, определяемую методом градуировочного графика, вычисляют по формуле
, (6)
где - масса хрома, найденная по градуировочному графику, г;
- масса навески пробы, г.
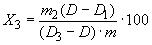
3.4.3. Массовую долю хрома () в процентах, определяемую методом добавок, вычисляют по формуле
, (7)
где - масса хрома в стандартном растворе, добавленная к пробе, г;
- значение атомной абсорбции раствора пробы без добавления стандартного раствора хрома;
- значение атомной абсорбции раствора контрольного опыта;
- значение атомной абсорбции раствора пробы с добавлением стандартного раствора хрома;
- масса навески пробы, г.
3.4.4. Нормы точности и нормативы контроля точности определения массовой доли хрома приведены в табл.1.
Электронный текст документа
подготовлен ЗАО "Кодекс" и сверен по:
официальное издание
Феррованадий. Методы анализа: Сб. ГОСТов. -
М.: Издательство стандартов, 1990
Разместите заказ
сами сделают вам предложение
