ГОСТы сталей. ГОСТ 13217.7-90
ГОСТ 13217.7-90
(CT СЭВ 1209-89)
Группа B19
ГОСУДАРСТВЕННЫЙ СТАНДАРТ СОЮЗА ССР
ФЕРРОВАНАДИЙ
Методы определения общего алюминия
Ferrovanadium.
Methods for determination of total aluminium
ОКСТУ 0809
Срок действия с 01.07.91
до 01.07.2001*
________________________________
* Ограничение срока действия снято
по протоколу N 7-95 Межгосударственного Совета
по стандартизации, метрологии и сертификации
(ИУС N 11, 1995 год). - Примечание изготовителя базы данных.
ИНФОРМАЦИОННЫЕ ДАННЫЕ
1. РАЗРАБОТАН И ВНЕСЕН Министерством металлургии СССР
РАЗРАБОТЧИКИ
В.Г.Мизин, Т.А.Перфильева, С.И.Ахманаев, Л.М.Клейнер, Г.И.Гусева
2. УТВЕРЖДЕН И ВВЕДЕН В ДЕЙСТВИЕ Постановлением Государственного комитета СССР по управлению качеством продукции и стандартам от 04.05.90 N 1097
3. Стандарт полностью соответствует СТ СЭВ 1209-89
4. ВЗАМЕН ГОСТ 13217.7-79
5. ССЫЛОЧНЫЕ НОРМАТИВНО-ТЕХНИЧЕСКИЕ ДОКУМЕНТЫ
Обозначение НТД, на который дана ссылка | Номер пункта |
ГОСТ 61-75 | 2.2 |
ГОСТ 177-88 | 2.2 |
ГОСТ 3117-78 | 2.2 |
ГОСТ 3118-77 | 2.2, 3.2 |
ГОСТ 3640-79 | 2.2 |
ГОСТ 3760-79 | 2.2 |
ГОСТ 4108-72 | 2.2 |
ГОСТ 4147-74 | 2.2 |
ГОСТ 4204-77 | 2.2, 3.2 |
ГОСТ 4233-77 | 2.2 |
ГОСТ 4328-77 | 2.2 |
ГОСТ 4332-76 | 2.2 |
ГОСТ 4461-77 | 2.2, 3.2 |
ГОСТ 4463-76 | 2.2 |
ГОСТ 5712-78 | 2.2 |
ГОСТ 5823-78 | 2.2 |
ГОСТ 5962-67 | 2.2 |
ГОСТ 7172-76 | 2.2 |
ГОСТ 9264-79 | 2.2 |
ГОСТ 10484-78 | 2.2, 3.2 |
ГОСТ 10652-73 | 2.2 |
ГОСТ 11069-74 | 2.2, 3.2 |
ГОСТ 18300-87 | 2.2 |
ГОСТ 26201-84 | 1.2 |
ГОСТ 27349-87 | 1.1 |
Настоящий стандарт устанавливает комплексонометрический и атомно-абсорбционный методы определения общего алюминия в феррованадии при массовой доле его от 0,1 до 4,0%.
1. ОБЩИЕ ТРЕБОВАНИЯ
1. ОБЩИЕ ТРЕБОВАНИЯ
1.1. Общие требования к методам анализа - по ГОСТ 27349.
1.2. Лабораторная проба должна быть приготовлена в виде порошка с размером частиц 0,16 мм по ГОСТ 26201.
2. КОМПЛЕКСОНОМЕТРИЧЕСКИЙ МЕТОД
2.1. Сущность метода
Метод основан на образовании комплексного соединения алюминия с натриевой солью этилендиаминтетрауксусной кислоты (трилон Б) с последующим разрушением этого соединения фторидом натрия. Эквивалентное количество выделившегося трилона Б титруют раствором соли цинка в присутствии индикатора ксиленолового оранжевого. От сопутствующих элементов алюминий отделяют в виде криолита (фторалюмината натрия) или хлоридом бария в щелочном растворе.
2.2. Реактивы и растворы
Кислота соляная по ГОСТ 3118 и растворы 1:1 и 1:20.
Кислота азотная по ГОСТ 4461 и раствор 1:1.
Кислота серная по ГОСТ 4204-77 и растворы 1:1 и 1:100.
Кислота фтористоводородная по ГОСТ 10484.
Кислота уксусная по ГОСТ 61.
Калий углекислый - натрий углекислый по ГОСТ 4332.
Калий пиросернокислый по ГОСТ 7172.
Водорода перекись по ГОСТ 177, раствор 1:2.
Натрий хлористый по ГОСТ 4233.
Натрия гидроокись по ГОСТ 4328, раствор с массовой концентрацией 250 г/дм. Хранят в посуде из полиэтилена.
Аммиак водный по ГОСТ 3760.
Аммоний лимоннокислый трехзамещенный по ГОСТ 9264, раствор с массовой концентрацией 400 г/дм.
Аммоний щавелевокислый 1-водный по ГОСТ 5712, насыщенный раствор: 50 г щавелевокислого аммония растворяют в 1 дм воды при температуре 40-50 °С и охлаждают.
Аммоний уксуснокислый по ГОСТ 3117.
Комплексообразователь: смешивают один объем раствора лимоннокислого аммония с одним объемом раствора щавелевокислого аммония.
Натрий фтористый по ГОСТ 4463, растворы с массовой концентрацией 5 и 35 г/дм. Хранят в посуде из полиэтилена.
Барий хлористый по ГОСТ 4108, раствор с массовой концентрацией 250 г/дм.
Железо треххлористое 6-водное по ГОСТ 4147, раствор, содержащий примерно 5 г/дм железа: 24,1 г треххлористого железа растворяют в 500 см
раствора соляной кислоты 1:20, переносят в мерную колбу вместимостью 1 дм
, доливают до метки водой и перемешивают.
Буферный раствор с рН от 5,5 до 5,8: 500 г уксуснокислого аммония растворяют в 1 дм воды, приливают 30 см
уксусной кислоты и перемешивают.
Раствор для промывания: к 1 дм раствора фторида натрия 5 г/дм
добавляют 1 см
раствора серной кислоты 1:1. Хранят в посуде из полиэтилена.
Фенолфталеин, спиртовой раствор 1 г/дм.
Ксиленоловый оранжевый, индикатор.
Индикаторная смесь: 1 г ксиленолового оранжевого растирают с 100 г хлорида натрия.
Спирт этиловый ректификованный технический по ГОСТ 5962* или по ГОСТ 18300.
_______________
* На территории Российской Федерации действует ГОСТ Р 51652-2000. - Примечание изготовителя базы данных.
Алюминий металлический по ГОСТ 11069*.
______________
* На территории Российской Федерации действует ГОСТ 11069-2001, здесь и далее по тексту. - Примечание изготовителя базы данных.
Стандартный раствор алюминия: 1,0000 г алюминия растворяют при нагревании в 50 см раствора соляной кислоты 1:1, добавляют 4-5 капель азотной кислоты, кипятят до удаления оксидов азота, охлаждают, переносят в мерную колбу вместимостью 1 дм
, доливают водой до метки и перемешивают.
Массовая концентрация алюминия в растворе равна 0,001 г/см.
Соль динатриевая этилендиамин-N, N, N', N'-тетрауксусной кислоты, 2-водная (трилон Б) по ГОСТ 10652, растворы с молярной концентрацией эквивалента 0,01 и 0,02 моль/дм: 3,72 или 7,44 г трилона Б соответственно растворяют в 300 см
воды в присутствии нескольких капель аммиака. Раствор фильтруют в мерную колбу вместимостью 1 дм
, фильтр промывают 2-3 раза водой и отбрасывают. Раствор доливают до метки водой и перемешивают. Хранят раствор в полиэтиленовой посуде.
Цинк металлический по ГОСТ 3640* или цинк уксуснокислый 2-водный по ГОСТ 5823.
______________
* На территории Российской Федерации действует ГОСТ 3640-94. - Примечание изготовителя базы данных.
Растворы цинка с молярной концентрацией эквивалента 0,01 и 0,02 моль/дм:
0,65 или 1,31 г цинка соответственно растворяют в 20 см раствора соляной кислоты 1:1, выпаривают раствор до влажных солей, приливают 100 см
воды и растворяют соли при нагревании. После охлаждения приливают 25 см
буферного раствора, затем переносят раствор в мерную колбу вместимостью 1 дм
, доливают до метки водой и перемешивают или:
2,19 или 4,39 г ацетата цинка соответственно растворяют в 500 см воды и затем приливают 25 см
буферного раствора. Раствор переносят в мерную колбу вместимостью 1 дм
, доливают до метки водой и перемешивают.
Массовую концентрацию раствора цинка устанавливают по стандартному раствору алюминия, проведенному через все стадии анализа, с добавлением раствора треххлористого железа. Количество добавляемого железа приблизительно должно соответствовать содержанию железа в анализируемой пробе.
Массовую концентрацию раствора цинка (), выраженную в граммах на кубический сантиметр алюминия, вычисляют по формуле
, (1)
где - массовая концентрация стандартного раствора алюминия, г/см
;
- объем аликвотной части стандартного раствора алюминия, взятый для титрования, см
;
- объем раствора цинка, израсходованный при втором титровании, см
;
- объем раствора цинка, израсходованный при втором титровании раствора контрольного опыта, см
.
2.3. Проведение анализа
2.3.1. Отделение алюминия в виде криолита
2.3.1.1. Навеску пробы, отобранную согласно табл.1, помещают в стакан или коническую колбу вместимостью 250 см и растворяют в 15 см
раствора азотной кислоты.
Таблица 1
Массовая доля алюминия, % | Масса навески пробы, г | Масса навески, соответствующая аликвотной части раствора, г | Концентрация титранта, моль/дм |
От 0,1 до 0,7 включ. | 1,0 | 0,8 | 0,01 |
Св. 0,7 " 1,5 " | 0,5 | 0,4 | 0,01 |
" 1,5 " 3,0 " | 0,5 | 0,4 | 0,02 |
" 3,0 " 4,0 " | 0,25 | 0,2 | 0,02 |
После растворения навески прибавляют 10-20 см раствора серной кислоты 1:1 и выпаривают раствор до выделения паров серной кислоты.
Содержимое колбы или стакана охлаждают, приливают 80 см воды и растворяют соли при нагревании. Раствор фильтруют через фильтр средней плотности с небольшим количеством беззольной фильтробумажной массы. Осадок на фильтре промывают 6-8 раз горячим раствором серной кислоты 1:100. Фильтрат сохраняют (основной раствор).
Фильтр с осадком кремниевой кислоты помещают в платиновый тигель, высушивают, озоляют и прокаливают при температуре 700-800 °С. К охлажденному осадку прибавляют 2-3 капли воды, 3-4 капли раствора серной кислоты 1:1, 2-3 см фтористоводородной кислоты и выпаривают досуха. Остаток прокаливают в течение 5-10 мин при температуре 700-800 °С и доплавляют с 2 г пиросульфата калия при температуре 700-750 °С. Тигель охлаждают, плав выщелачивают в 50 см
горячей воды и присоединяют к основному раствору.
Охлажденный раствор объемом около 150 см нейтрализуют аммиаком до начала выпадения гидроксидов и дают постоять 2-3 мин.
Если гидроксиды растворяются, то еще по каплям добавляют аммиак до выпадения гидроксидов. Затем добавляют 10-11 капель раствора серной кислоты 1:1 (рН раствора должен быть примерно 4, контроль по индикаторной бумаге).
Раствор охлаждают под струей проточной воды, приливают 30 см комплексообразователя и перемешивают в течение 1-2 мин (рН раствора должен быть примерно 3). Приливают 80 см
раствора фторида натрия 35 г/дм
, энергично перемешивают в течение 5 мин, после чего выпавшему осадку криолита дают отстояться не менее 1 ч.
Осадок количественно переносят на плотный фильтр с небольшим количеством беззольной фильтробумажной массы и промывают 8-10 раз холодным промывным раствором и два раза холодной водой.
Фильтр с осадком криолита помещают в платиновую чашку, высушивают, озоляют и прокаливают при температуре 700 °С до полного выгорания углерода. Чашку охлаждают, добавляют в нее 3 см серной кислоты и осторожно выпаривают досуха. Остаток растворяют в 20-30 см
раствора соляной кислоты 1:1. Затем раствор переносят в коническую колбу или стакан вместимостью 200 см
и приливают 10 см
раствора треххлористого железа.
Охлажденный раствор нейтрализуют раствором гидроксида натрия до начала выделения гидроксида железа, после чего раствор тонкой струей и при перемешивании переливают в стакан из фторопласта вместимостью 400 см, где находится 40 см
горячего раствора гидроксида натрия, кипятят в течение 3-4 мин и охлаждают. Охлажденный раствор с осадком переносят в мерную колбу вместимостью 250 см
, доливают до метки водой и перемешивают.
Раствор фильтруют через сухой фильтр в сухую кварцевую колбу или колбу из фторопласта, отбрасывая первые порции ф
ильтрата.
2.3.1.2. Аликвотную часть анализируемого раствора, равную 200 см, помещают в коническую колбу вместимостью 500 см
. При массовой доле алюминия до 0,5% добавляют из бюретки 30,0 см
раствора трилона Б 0,01 моль/дм
, а при массовой доле алюминия свыше 0,5% - 30,0 см
раствора трилона Б 0,02 моль/дм
.
Избыток гидроксида натрия в присутствии 2-3 капель раствора фенолфталеина нейтрализуют раствором соляной кислоты 1:1 до исчезновения розовой окраски раствора, затем приливают 20 см буферного раствора и кипятят в течение 2-3 мин.
Раствор охлаждают, добавляют 1 см раствора пероксида водорода и через 20-25 с избыток трилона Б оттитровывают раствором цинка соответствующей концентрации в присутствии 50-100 мг индикаторной смеси до перехода желтой окраски раствора в красно-фиолетовую.
Затем для связывания алюминия во фторид алюминия приливают 40 см раствора фторида натрия 35 г/см
, кипятят в течение 2-3 мин, охлаждают и выделившийся трилон Б титруют раствором цинка соответствующей концентрации в присутствии дополнительно прибавленной индикаторной смеси в количестве приблизительно 50 мг до красно-фиолетовой окраски раств
ора.
2.3.2. Отделение железа и ванадия от алюминия хлоридом бария в щелочном растворе
Навеску пробы, отобранную согласно табл.1, помещают в стакан или коническую колбу вместимостью 250 см, прибавляют 40 см
раствора соляной кислоты 1:1 и растворяют при умеренном нагревании. После растворения навески прибавляют 3-5 см
азотной кислоты и выпаривают досуха. К сухому остатку прибавляют 10 см
соляной кислоты и вновь выпаривают досуха. После охлаждения приливают 10-15 см
соляной кислоты, нагревают до растворения солей, приливают горячей воды до объема 40-50 см
и отфильтровывают выделившуюся кремниевую кислоту и нерастворимый остаток на фильтр средней плотности с небольшим количеством беззольной фильтробумажной массы. Осадок на фильтре промывают 3-4 раза раствором соляной кислоты 1:20 и 5-6 раз горячей водой.
Фильтр с осадком кремниевой кислоты помещают в платиновый тигель, высушивают, озоляют и прокаливают при температуре 700-800 °С до полного выгорания углерода. К осадку прибавляют 2-3 капли воды, 3-4 капли раствора серной кислоты 1:1, 2-3 см фтористоводородной кислоты и выпаривают досуха. Остаток прокаливают в течение 5-10 мин при температуре 700-800 °С и затем сплавляют с 1 г карбоната калия-натрия при температуре 750-800 °С в течение 10 мин. Тигель помещают в стакан вместимостью 200 см
, приливают 20 см
раствора соляной кислоты 1:20, выщелачивают плав при нагревании и раствор присоединяют к основному раствору. Общий объем раствора должен быть не более 100 см
.
Раствор кипятят, переносят в кварцевую или фторопластовую колбу, добавляют 20 см раствора хлорида бария при навеске пробы массой 1,0 г, или 10 см
раствора хлорида бария при навеске пробы массой 0,5 г или 0,25 г, и осторожно по каплям при перемешивании нейтрализуют раствор до начала выделения гидроксидов раствором гидроксида натрия и прибавляют еще в избыток 40 см
; затем раствор доводят до кипения.
После охлаждения раствор с осадком переносят в мерную колбу вместимостью 250 см, доливают до метки водой и перемешивают.
Раствор фильтруют через сухой фильтр в сухую кварцевую колбу или колбу из фторопласта, отбрасывая первые порции фильтрата.
Далее анализ проводят, как указано в п.
2.3.1.2.
2.4. Обработка результатов
2.4.1. Массовую долю алюминия () в процентах вычисляют по формуле
, (2)
где - массовая концентрация раствора цинка, выраженная в г/см
алюминия;
- объем раствора цинка, израсходованный при втором титровании раствора пробы, см
;
- объем раствора цинка, израсходованный при втором титровании раствора контрольного опыта, см
;
- масса навески, соответствующая аликвотной части раствора пробы, г
.
2.4.2. Нормы точности и нормативы контроля точности определения массовой доли алюминия приведены в табл.2.
Таблица 2
Допускаемые расхождения, % | |||||
Массовая доля алюминия, % | Погрешность результатов анализа, % | двух средних результатов анализа, выполненных | двух параллельных определений | трех параллельных определений | результатов анализа стандартного образца от аттестованного значения |
От 0,1 до 0,2 включ. | 0,024 | 0,03 | 0,03 | 0,03 | 0,016 |
Св. 0,2 " 0,5 " | 0,04 | 0,05 | 0,04 | 0,05 | 0,02 |
" 0,5 " 1,0 " | 0,06 | 0,08 | 0,07 | 0,08 | 0,04 |
" 1,0 " 2,0 " | 0,09 | 0,11 | 0,10 | 0,11 | 0,06 |
" 2,0 " 4,0 " | 0,12 | 0,15 | 0,13 | 0,15 | 0,08 |
3. АТОМНО-АБСОРБЦИОННЫЙ МЕТОД
3.1. Сущность метода
Метод основан на измерении атомной абсорбции алюминия в пламени закись азота-ацетилен при длине волны 309,3 нм с предварительным растворением навески пробы в смеси азотной и соляной кислот.
3.2. Аппаратура, реактивы и растворы
Атомно-абсорбционный спектрометр со всеми принадлежностями.
Кислота фтористоводородная по ГОСТ 10484.
Кислота серная по ГОСТ 4204 и растворы 1:1 и 1:100.
Кислота азотная по ГОСТ 4461.
Калий пиросернокислый по ГОСТ 7172.
Кислота соляная по ГОСТ 3118 и раствор 1:1.
Ванадия (V) оксид.
Раствор ванадия 10 г/дм: 17,9 г оксида ванадия растворяют при нагревании в 100 см
соляной кислоты, приливают 5 см
азотной кислоты, раствор кипятят до удаления оксидов азота. Охлажденный раствор переносят в мерную колбу вместимостью 1 дм
, доливают водой до метки и перемешивают.
Железо металлическое.
Раствор железа 10 г/дм: 10 г железа растворяют при нагревании в 40 см
соляной кислоты, приливают 5 см
азотной кислоты, раствор кипятят до удаления оксидов азота. Охлажденный раствор переносят в мерную колбу вместимостью 1 дм
, доливают водой до метки и перемешивают.
Алюминий металлический по ГОСТ 11069.
Стандартный раствор алюминия: 1,0000 г алюминия растворяют при нагревании в 50 см раствора соляной кислоты с добавлением 4-5 капель азотной кислоты. Раствор кипятят до удаления оксидов азота. После охлаждения раствор переносят в мерную колбу вместимостью 1 дм
, доливают водой до метки и перемешивают.
Массовая концентрация алюминия в растворе равна 0,001 г
/см.
3.3. Проведение анализа
3.3.1. Навеску пробы, отобранную согласно табл.3, помещают в стакан или коническую колбу вместимостью 250 см и растворяют при нагревании в 25 см
соляной кислоты и 5 см
азотной кислоты. После растворения навески прибавляют 8 см
раствора серной кислоты 1:1 и выпаривают до выделения паров серной кислоты.
Таблица 3
Массовая доля алюминия, % | Масса навески пробы, г | Атомизируемая масса алюминия, мг | Объем стандартного раствора, см |
От 0,1 до 0,5 включ. | 0,5 | 0,5-2,5 | 0,5-2,5 |
Св. 0,5 " 2,0 " | 0,2 | 1-4 | 1-5 |
" 2,0 " 4,0 " | 0,1 | 2-4 | 2-5 |
Содержимое стакана или колбы охлаждают, приливают 40 см воды и соли растворяют при нагревании. Раствор фильтруют через фильтр средней плотности и осадок на фильтре промывают 6-8 раз раствором серной кислоты 1:100. Фильтр с осадком помещают в платиновый тигель, высушивают, озоляют и прокаливают при температуре 700-800 °С до полного выгорания углерода. К осадку прибавляют 2-3 капли воды, 2-3 капли серной кислоты, 2-3 см
фтористоводородной кислоты и выпаривают досуха. Остаток прокаливают в течение 5-10 мин при температуре 700-800 °С и доплавляют с 1 г пиросульфата калия при температуре 700-750 °С. Тигель охлаждают, плав выщелачивают в 50 см
горячей воды и объединяют с фильтратом, который предварительно выпаривают до объема 20-30 см
.
Объединенный раствор переносят в мерную колбу вместимостью 100 см, доливают до метки водой и перемешивают.
Раствор фильтруют через сухой фильтр средней плотности в сухую колбу, отбрасывая первые порции фильтрата.
Атомную абсорбцию алюминия измеряют параллельно в растворах контрольного опыта, пробы, растворах для построения градуировочного графика, растворе стандартного образца при длине волны 309,3 нм в пламени закись азота-ацетилен.
3.3.2. После вычитания значения атомной абсорбции раствора контрольного опыта из значения атомной абсорбции раствора пробы находят массовую долю алюминия в пробе методом сравнения со стандартным образцом с химическим составом, соответствующим требованиям настоящего стандарта, или методом добавок, или методом градуировочного графика.
3.3.2.1. При применении метода сравнения со стандартным образцом навеску стандартного образца проводят через все стадии анализа по п.3.3.1.
3.3.2.2. При применении метода добавок к навеске пробы добавляют такое количество стандартного раствора алюминия, чтобы значение атомной абсорбции раствора пробы с добавлением стандартного раствора составило не более двухкратного значения атомной абсорбции раствора пробы и находилось в линейном диапазоне градуировочного графика. Далее анализ проводят по п.3.3.1.
3.3.2.3. При применении метода градуировочного графика в стаканы помещают растворы ванадия и железа в количествах, соответствующих их содержаниям в пробе, стандартный раствор алюминия согласно табл.3. В один стакан стандартный раствор не помещают. Во все стаканы помещают по 25 см соляной кислоты и далее поступают, как указано в п.3.3.1.
Градуировочный график строят по результатам, полученным после вычитания значения абсорбции раствора, не содержащего стандартный раствор алюминия, из значений абсорбции растворов, содержащих стандартный раствор, и соответствующим им массам алюминия.
3.4. Обработка результатов
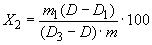
3.4.1. Массовую долю алюминия () в процентах, определяемую методом сравнения, вычисляют по формуле
, (3)
где - аттестованное значение массовой доли алюминия в стандартном образце, %;
- значение атомной абсорбции раствора пробы;
- значение атомной абсорбции раствора контрольного опыта;
- значение атомной абсорбции раствора стандартного образца.
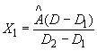
3.4.2. Массовую долю алюминия () в процентах, определяемую методом добавок, вычисляют по формуле
, (4)
где - значение атомной абсорбции раствора пробы без добавления стандартного раствора алюминия;
- значение атомной абсорбции раствора контрольного опыта;
- значение атомной абсорбции раствора пробы с добавлением стандартного раствора алюминия;
- масса алюминия, добавленная к навеске пробы, г;
- масса навески пробы, г.
3.4.3. Массовую долю алюминия () в процентах, определяемую методом градуировочного графика, вычисляют по формуле
, (5)
где - масса алюминия в растворе пробы, найденная по градуировочному графику, г;
- масса навески пробы, г.
3.4.4. Нормы точности и нормативы контроля точности определения массовой доли алюминия приведены в табл.2.
Электронный текст документа
подготовлен АО "Кодекс" и сверен по:
официальное издание
Феррованадий. Методы анализа: Сб. ГОСТов. -
М.: Издательство стандартов, 1990
Разместите заказ
сами сделают вам предложение
