ГОСТы сталей. ГОСТ 13217.11-90
ГОСТ 13217.11-90
(CT СЭВ 1214-89)
Группа В19
ГОСУДАРСТВЕННЫЙ СТАНДАРТ СОЮЗА ССР
ФЕРРОВАНАДИЙ
Методы определения мышьяка
Ferrovanadium. Methods for determination of arsenic
ОКСТУ 0809
Срок действия с 01.07.91
до 01.07.2001*
________________________________
* Ограничение срока действия снято
по протоколу N 7-95 Межгосударственного Совета
по стандартизации, метрологии и сертификации
(ИУС N 11, 1995 год). - Примечание изготовителя базы данных.
ИНФОРМАЦИОННЫЕ ДАННЫЕ
1. РАЗРАБОТАН И ВНЕСЕН Министерством металлургии СССР
РАЗРАБОТЧИКИ
В.Г.Мизин, Т.А.Перфильева, С.И.Ахманаев, Л.М.Клейнер, Г.И.Гусева
2. УТВЕРЖДЕН И ВВЕДЕН В ДЕЙСТВИЕ Постановлением Государственного комитета СССР по управлению качеством продукции и стандартам от 04.05.90 N 1100
3. Стандарт полностью соответствует СТ СЭВ 1214-89
4. ВЗАМЕН ГОСТ 13217.11-79
5. ССЫЛОЧНЫЕ НОРМАТИВНО-ТЕХНИЧЕСКИЕ ДОКУМЕНТЫ
Обозначение НТД, на который дана ссылка | Номер пункта |
ГОСТ 3118-77 | 2.2 |
ГОСТ 3765-78 | 2.2 |
ГОСТ 4160-74 | 2.2 |
ГОСТ 4165-78 | 2.2 |
ГОСТ 4204-77 | 2.2 |
ГОСТ 4328-77 | 2.2 |
ГОСТ 4461-77 | 2.2 |
ГОСТ 5456-79 | 2.2 |
ГОСТ 5817-77 | 2.2 |
ГОСТ 5847-74 | 2.2 |
ГОСТ 5962-67 | 2.2 |
ГОСТ 7298-79 | 2.2 |
ГОСТ 10484-78 | 2.2 |
ГОСТ 18300-87 | 2.2 |
ГОСТ 26201-84 | 1.2 |
ГОСТ 27067-86 | 2.2 |
ГОСТ 27349-87 | 1.1 |
Настоящий стандарт устанавливает фотометрический и атомно-абсорбционный методы определения мышьяка в феррованадии при массовой доле его от 0,003 до 0,06%.
1. ОБЩИЕ ТРЕБОВАНИЯ
1. ОБЩИЕ ТРЕБОВАНИЯ
1.1. Общие требования к методам анализа - по ГОСТ 27439*.
_______________
* Соответствует оригиналу. - Примечание изготовителя базы данных.
1.2. Лабораторная проба должна быть приготовлена в виде порошка с максимальным размером частиц 0,16 мм по ГОСТ 26201.
2. ФОТОМЕТРИЧЕСКИЙ МЕТОД
2.1. Сущность метода
Метод основан на образовании мышьяково-молибденовой гетерополикислоты и последующем восстановлении ее в хлорнокислой среде гидразином или аскорбиновой кислотой до соединения, окрашенного в синий цвет, и измерении оптической плотности раствора.
Мышьяк предварительно отделяют от мешающих элементов в виде треххлористого мышьяка дистилляцией или в виде сульфидатиоацетамидом.
2.2. Аппаратура, реактивы и растворы
Спектрофотометр или фотоэлектроколориметр со всеми принадлежностями.
Прибор для отгонки мышьяка любого типа.
Кислота соляная по ГОСТ 3118.
Кислота серная по ГОСТ 4204 и растворы 1:1 и 1:4.
Кислота азотная по ГОСТ 4461 и раствор 2:3.
Смесь кислот соляной и азотной в соотношении 3:1, готовят перед применением.
Кислота хлорная плотностью 1,5 г/см.
Кислота фтористоводородная по ГОСТ 10484.
Калий бромистый по ГОСТ 4160.
Кислота винная по ГОСТ 5817, раствор с массовой концентрацией 500 г/дм.
Натрия пероксид.
Аммоний молибденовокислый по ГОСТ 3765.
При необходимости его перекристаллизовывают: 250 г молибденовокислого аммония растворяют в 400 см воды при нагревании до 80 °С. Раствор фильтруют через плотный фильтр, охлаждают, приливают 300 см
этилового спирта, перемешивают и через 1 ч осадок под вакуумом отфильтровывают на фильтр средней плотности, помещенный в воронку Бюхнера. Осадок промывают 2-3 раза этиловым спиртом порциями по 30 см
и высушивают на воздухе.
Хлорномолибдатная смесь I: 5,0 г молибденовокислого аммония растворяют в 100 см воды при нагревании и охлаждают. В стакан вместимостью 1 дм
вливают 500 см
воды, приливают 230 см
хлорной кислоты, перемешивают и постепенно при перемешивании вливают раствор молибденовокислого аммония. Переносят раствор в мерную колбу вместимостью 1 дм
, доливают до метки водой и перемешивают. (Реактив содержит 0,4% триоксида молибдена в растворе хлорной кислоты с молярной концентрацией 2 моль/дм
.)
Хлорномолибдатная смесь II: 8,1 г молибденовокислого аммония растворяют при нагревании в 250 см воды. В стакан вместимостью 1 дм
вливают 300 см
воды, прибавляют 345 см
хлорной кислоты и перемешивают. Затем постепенно при перемешивании вливают охлажденный раствор молибденовокислого аммония, переносят раствор в мерную колбу вместимостью 1 дм
, доливают до метки водой и перемешивают. (Реактив содержит 0,65% триоксида молибдена в растворе хлорной кислоты с молярной концентрацией 3 моль/дм
.)
Гидразин сернокислый по ГОСТ 5841 и раствор с массовой концентрацией 1,5 г/дм.
Медь (II) сернокислая 5-водная по ГОСТ 4165, раствор с массовой концентрацией 10 г/дм.
Гидроксиламин сернокислый по ГОСТ 7298 или гидроксиламина гидрохлорид по ГОСТ 5456.
Тиоацетамид, раствор с массовой концентрацией 20 г/дм.
При необходимости перекристаллизовывают: 30 г тиоацетамида помещают в стакан вместимостью 250 см, наливают 100 см
ксилола, нагревают до температуры 90 °С, затем раствор переливают в другой стакан и охлаждают. Эту операцию с новыми порциями ксилола по 100 см
проводят 7-8 раз, объединяя порции ксилола в один стакан. Объединенный раствор охлаждают в проточной воде в течение 1 ч. Выпавшие кристаллы тиоацетамида отфильтровывают под вакуумом на фильтр средней плотности, промывают три раза ксилолом и высушивают на воздухе.
Ксилол.
Спирт этиловый ректификованный по ГОСТ 5962* или ГОСТ 18300.
_______________
* На территории Российской Федерации действует ГОСТ Р 51652-2000. - Примечание изготовителя базы данных.
Кислота аскорбиновая, раствор с массовой концентрацией 5 г/дм.
Аммоний роданистый по ГОСТ 27067, раствор с массовой концентрацией 50 г/дм.
Мышьяка триоксид.
Натрия гидроокись по ГОСТ 4328, раствор с массовой концентрацией 50 г/дм.
Стандартные растворы мышьяка
Раствор А: 0,1320 г триоксида мышьяка растворяют в 5 см раствора гидроксида натрия, разбавляют водой до 200 см
и прибавляют раствор серной кислоты 1:1 до нейтральной реакции по индикаторной бумаге. После охлаждения раствор переносят в мерную колбу вместимостью 1 дм
, доливают до метки водой и перемешивают.
Массовая концентрация мышьяка в растворе А равна 0,0001 г/см.
Раствор Б: 20,0 см раствора А помещают в мерную колбу вместимостью 100 см
, доливают до метки водой и перемешивают.
Массовая концентрация мышьяка в растворе Б равна 0,00002 г/см.
Раствор В: 25,0 см раствора Б помещают в мерную колбу вместимостью 100 см
, доливают до метки водой и перемешивают.
Массовая концентрация мышьяка в растворе В равна 0,000005 г/см.
Растворы Б
и В готовят перед применением.
2.3. Проведение анализа
2.3.1. Метод отделения мышьяка дистилляцией
2.3.1.1. Навеску пробы массой 0,5 г помещают в платиновую или стеклоуглеродистую чашку или фторопластовый стакан вместимостью 100 см, приливают 10 см
азотной кислоты, 5 см
фтористоводородной кислоты, 10 см
серной кислоты и растворяют при умеренном нагревании. После растворения навески раствор выпаривают до выделения паров серной кислоты. Содержимое стакана или чашки охлаждают, обмывают стенки водой и вновь выпаривают раствор до выделения паров серной кислоты. К охлажденному раствору приливают 15 см
соляной кислоты, 50 см
теплой воды и растворяют соли. Раствор переливают в дистилляционную колбу, стакан ополаскивают 40 см
соляной кислоты и присоединяют ее к основному раствору. Затем в дистилляционную колбу прибавляют 1 г бромида калия, 2 г сульфата гидразина и медленно отгоняют хлорид мышьяка. Дистиллят собирают в стакан-приемник, куда предварительно наливают 50 см
воды. Отгонку продолжают до тех пор, пока в приемник не перейдет
первоначального объема раствора.
Дистиллят переливают в стакан вместимостью 300 см. Стенки приемника ополаскивают 15 см
раствора азотной кислоты. Небольшим количеством воды ополаскивают прибор для отгонки мышьяка, собирая промывную жидкость в тот же стакан. Раствор переносят в мерную колбу вместимостью 100 см
, предварительно выпарив его до малого объема при слабом нагревании. Весь раствор или аликвотную часть раствора, согласно табл.1, выпаривают досуха при слабом нагревании, а затем выдерживают в сушильном шкафу при температуре 130 °С в течение 40 мин.
Таблица 1
Массовая доля мышьяка, % | Объем аликвотной части раствора, см |
От 0,003 до 0,01 включ. | Весь раствор |
Св. 0,01 " 0,02 " | 50 |
" 0,02 " 0,05 " | 20 |
" 0,05 " 0,06 " | 10 |
2.3.1.2. К сухому остатку прибавляют 40 см хлорномолибдатной смеси 1, 2 см
раствора сульфата гидразина, накрывают стакан часовым стеклом и нагревают раствор на кипящей водяной бане в течение 20 мин. Затем раствор охлаждают, переносят в мерную колбу вместимостью 100 см
, ополаскивают стенки стакана хлорномолибдатной смесью 1, доливают этой же смесью до метки и перемешивают.
Оптическую плотность растворов измеряют на спектрофотометре при длине волны 840 нм или фотоэлектроколориметре в области светопропускания от 590 до 700 нм или от 750 до 900 нм. В качестве раствора сравнения применяют воду.
Массу мышьяка находят по градуировочному графику после вычитания значения оптической плотности раствора контрольного опыта из значения оптической плотности раствора пробы.
2.3.1.3. Для построения градуировочного графика в пять из шести стаканов вместимостью 50 см вводят 2,0, 4,0, 6,0, 8,0 и 10,0 см
стандартного раствора В, что соответствует 0,00001, 0,00002, 0,00003, 0,00004 и 0,00005 г мышьяка. Во все шесть стаканов прибавляют по 15 см
раствора азотной кислоты, выпаривают растворы досуха и выдерживают в сушильном шкафу при температуре 130 °С в течение 40 мин.
Далее поступают, как указано в п.2.3.1.2.
Раствором сравнения служит раствор, не содержащий стандартного раствора мышьяка.
По полученным значениям оптической плотности растворов и соответствующим им массам мышьяка строят градуировочный график
2.3.2. Метод отделения мышьяка тиоацетамидом
2.3.2.1. Навеску пробы, отобранную согласно табл.2, помещают в стакан вместимостью 400 см, приливают 25 см
раствора серной кислоты 1:4, по каплям азотную кислоту и еще 5 см
в избыток. Раствор выпаривают до выделения паров серной кислоты. Соли растворяют в воде при нагревании. Объем раствора должен быть не менее 150 см
.
Таблица 2
Массовая доля, % | Масса навески пробы, г | Масса мышьяка, в фотометрируемом растворе, мг | Объем стандартного раствора В, см |
От 0,003 до 0,01 включ. | 0,5 | 0,015-0,05 | 3-10 |
Св. 0,01 " 0,025 " | 0,2 | 0,02-0,05 | 4-10 |
" 0,025 " 0,05 " | 0,1 | 0,025-0,05 | 5-10 |
" 0,05 " 0,06 " | 0,1 | 0,05-0,06 | 10-12 |
2.3.2.2. При анализе труднорастворимого в кислотах феррованадия навеску пробы, отобранную согласно табл.2, помещают в никелевый тигель и сплавляют при температуре 700-800 °С с 5-6 г пероксида натрия. Тигель с плавом охлаждают, помещают в стакан вместимостью 400 см и выщелачивают плав 100 см
воды. Тигель вынимают и ополаскивают водой. Содержимое стакана кипятят до разрушения пероксида натрия и охлаждают. Для растворения осадка приливают раствор серной кислоты 1:1 до рН 1 (по универсальной индикаторной бумаге) и снова нагревают раствор до кипения. Раствор фильтруют через быстрофильтрующий фильтр, уплотненный в конусе фильтробумажной массой, фильтр промывают 10-12 раз горячей водой и отбрасывают. Фильтрат переливают в коническую колбу вместимостью 500 см
.
2.3.2.3. К растворам, приготовленным по п.2.3.2.1 или 2.3.2.2, приливают 10 см раствора винной кислоты, серную кислоту из расчета 5 см
на каждые 150 см
раствора. Затем в раствор прибавляют 2-3 г сульфата или гидрохлорида гидроксиламина, до полного восстановления железа (по реакции с роданидом аммония). После восстановления железа раствор нагревают до кипения, приливают 10 см
раствора тиоацетамида и выдерживают раствор в течение 10-15 мин при температуре 80-90 °С. Затем приливают 1 см
раствора сульфата меди и еще 10 см
раствора тиоацетамида, оставляют раствор с осадком для коагуляции на 30-40 мин при температуре 80-90 °С и охлаждают.
Через 4 ч осадок отфильтровывают на фильтр средней плотности и промывают 6-7 раз холодной водой.
Осадок на фильтре растворяют в 30 см горячей смеси кислот, приливая ее порциями по 10 см
, фильтр промывают 3-4 раза горячей водой, собирая фильтрат и промывные воды в стакан вместимостью 100 с
м.
2.3.2.4. После растворения сульфидов раствор при слабом нагревании выпаривают до 3-5 см. Затем приливают 2 см
хлорной кислоты и выпаривают до выделения паров хлорной кислоты. Стенки стакана обмывают небольшим количеством воды и вновь выпаривают раствор до выделения паров хлорной кислоты, операцию повторяют дважды.
2.3.2.5. При применении в качестве восстановителя сульфата гидразина соли растворяют при перемешивании в 20 см хлорномолибдатной смеси I и приливают 1 см
раствора сульфата гидразина. Накрывают стакан часовым стеклом и нагревают раствор на кипящей водяной бане в течение 15-20 мин.
Раствор охлаждают, переливают в мерную колбу вместимостью 100 см, ополаскивают колбу раствором хлорномолибдатной смеси I, доливают этой же смесью до метки и перемешивают. Оптическую плотность раствора измеряют на спектрофотометре при длине волны 840 нм или фотоэлектроколориметре в области светопропускания от 590 до 700 нм или от 750 до 900 нм.
В качестве раствора сравнения применяют воду.
Массу мышьяка находят по градуировочному графику после вычитания значения оптической плотности раствора контрольного опыта из значения оптической плотности раствора пробы.
2.3.2.6. Для построения градуировочного графика в стакан вместимостью 400 см помещают стандартный раствор В, согласно табл.2. В один стакан стандартный раствор не помещают.
Во все стаканы приливают по 150 см воды, по 5 см
серной кислоты и нагревают до кипения. Приливают по 10 см
раствора тиоацетамида и выдерживают в течение 10-15 мин при температуре 80-90 °С. Затем приливают 1 см
раствора сульфата меди и еще 10 см
раствора тиоацетамида, оставляют раствор с осадком для коагуляции на 30-40 мин при температуре 80-90 °С и охлаждают. Далее анализ проводят, как указано в пп.2.3.2.3, 2.3.2.4 и 2.3.2.5.
Раствором сравнения служит раствор, не содержащий стандартного раствора мышьяка.
По полученным значениям оптической плотности растворов и соответствующим им массам мышьяка строят градуировочный график.
2.3.2.7. При применении в качестве восстановителя аскорбиновой кислоты соли растворяют при перемешивании в 20 см раствора хлорномолибдатной смеси II и приливают 1 см
раствора аскорбиновой кислоты. Накрывают стакан часовым стеклом и нагревают на кипящей водяной бане в течение 10-20 мин. Затем раствор охлаждают, переносят в мерную колбу вместимостью 100 см
, ополаскивают стенки колбы раствором хлорномолибдатной смеси II, доливают этой же смесью до метки и перемешивают. Оптическую плотность раствора измеряют на спектрофотометре при длине волны 840 нм или фотоэлектроколориметре в области светопропускания от 590 до 700 нм или от 750 до 900 нм.
Раствором сравнения служит вода.
Массу мышьяка находят по градуировочному графику после вычитания значения оптической плотности раствора контрольного опыта из значения оптической плотности раствора пробы.
2.3.2.8. Построение градуировочного графика проводят по п.2.3.2.6 и после охлаждения - по пп.2.3.2.3; 2.3.2.4 и 2.3.2.7.
2.4. Обработка результатов
2.4.1. Массовую долю мышьяка () в процентах вычисляют по формуле
, (1)
где - масса мышьяка, найденная по градуировочному графику, г;
- масса навески пробы или масса навески, соответствующая аликвотной части раствора пробы, г.
2.4.2. Нормы точности и нормативы контроля точности определения массовой доли мышьяка приведены в табл.3.
Таблица 3
Допускаемые расхождения, % | |||||
Массовая доля мышьяка, % | Погрешность результатов анализа | двух средних результатов анализа, выполненных в различных условиях | двух параллельных определений | трех параллельных определений | результатов анализа стандартного образца от аттестованного значения |
От 0,003 до 0,005 включ. | 0,002 | 0,002 | 0,002 | 0,002 | 0,0009 |
Св. 0,005 " 0,01 " | 0,003 | 0,003 | 0,003 | 0,003 | 0,001 |
Св. 0,01 до 0,02 включ. | 0,004 | 0,005 | 0,004 | 0,005 | 0,002 |
От 0,02 " 0,05 " | 0,007 | 0,008 | 0,007 | 0,008 | 0,004 |
" 0,05 " 0,06 " | 0,008 | 0,010 | 0,008 | 0,010 | 0,005 |
3. АТОМНО-АБСОРБЦИОННЫЙ МЕТОД
3.1. Сущность метода
Метод основан на измерении атомной абсорбции мышьяка при введении раствора в графитовый атомизатор, при длине волны 193,7 нм. Мышьяк предварительно отделяют от мешающих элементов тиоацетамидом.
3.2. Аппаратура, реактивы и растворы
Атомно-абсорбционный спектрометр со всеми принадлежностями, снабженный графитовым атомизатором.
Реактивы и растворы по п.2.2.
3.3. Проведение анализа
3.3.1. Анализ проводят по п.2.3.2.1 или пп.2.3.2.2 и 2.3.2.3.
3.3.2. После растворения сульфидов по п.2.3.2.3 к раствору приливают 1 см серной кислоты и выпаривают до выделения паров серной кислоты. Соли растворяют при нагревании в 20 см
воды и затем охлаждают. Раствор переносят в мерную колбу вместимостью 100 см
, доливают до метки водой и перемешивают.
Из полученного раствора отбирают микропипеткой аликвотную часть, равную 0,02 см, вводят в графитовую кювету и измеряют значение абсорбции с помощью регистрирующего устройства в условиях оптимальных для применяемого прибора при длине волны 193,7 нм.
Для измерения отбирают не менее трех аликвотных частей. После вычитания значения атомной абсорбции раствора контрольного опыта из значения атомной абсорбции раствора пробы находят массовую долю мышьяка в пробе методом градуировочного графика или методом добавок, или методом сравнения со стандартным образцом, с химическим составом, соответствующим требованиям настоящего стандарта.
3.3.3. Построение градуировочного графика проводят по п.2.3.2.6 и после охлаждения - по пп.2.3.2.3 и 2.3.2.
Градуировочный график строят по результатам, полученным после вычитания значения атомной абсорбции раствора, не содержащего стандартный раствор мышьяка, из значения атомной абсорбции растворов, содержащих стандартный раствор, и соответствующим им массам мышьяка.
3.3.4. При применении метода добавок к навеске пробы добавляют такое количество стандартного раствора мышьяка, чтобы значение атомной абсорбции раствора пробы с добавлением стандартного раствора составляло не более двухкратного значения атомной абсорбции раствора пробы и находилось в линейном диапазоне градуировочного графика. Далее анализ проводят, как указано в пп.3.3.1 и 3.3.2.
3.3.5. При применении метода сравнения со стандартным образцом навеску образца проводят через все стадии анализа по пп.3.3.1 и 3.3.2.
3.4. Обработка результатов
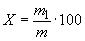
3.4.1. Массовую долю мышьяка () в процентах, определяемую методом градуировочного графика, вычисляют по формуле
, (2)
где - масса мышьяка в растворе пробы, найденная по градуировочному графику, г;
- масса навески пробы, г.
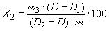
3.4.2. Массовую долю мышьяка () в процентах, определяемую методом добавок, вычисляют по формуле
, (3)
где - масса мышьяка, добавленная к навеске пробы, г;
- значение атомной абсорбции раствора пробы без добавления стандартного раствора мышьяка;
- значение атомной абсорбции раствора контрольного опыта;
- значение атомной абсорбции раствора пробы с добавлением стандартного раствора;
- масса навески пробы, г.
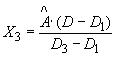
3.4.3. Массовую долю мышьяка () в процентах, определяемую методом сравнения, вычисляют по формуле
, (4)
где - аттестованное значение массовой доли мышьяка в стандартном образце, %;
- значение атомной абсорбции раствора пробы;
- значение атомной абсорбции раствора контрольного опыта;
- значение атомной абсорбции раствора стандартного образца.
3.4.4. Нормы точности и нормативы контроля точности определения массовой доли мышьяка приведены в табл.3.
Электронный текст документа
подготовлен АО "Кодекс" и сверен по:
официальное издание
Феррованадий. Методы анализа: Сб. ГОСТов. -
М.: Издательство стандартов, 1990
Разместите заказ
сами сделают вам предложение
