ГОСТы сталей. ГОСТ 13217.1-90
ГОСТ 13217.1-90
(ИСО 6467-80)
Группа В19
ГОСУДАРСТВЕННЫЙ СТАНДАРТ СОЮЗА ССР
ФЕРРОВАНАДИЙ
Метод определения ванадия
Ferrovanadium.
Method for determination of vanadium
ОКСТУ 0809
Дата введения 1991-07-01
ИНФОРМАЦИОННЫЕ ДАННЫЕ
1. РАЗРАБОТАН И ВНЕСЕН Министерством металлургии СССР
РАЗРАБОТЧИКИ
В.Г.Мизин, Т.А.Перфильева, С.И.Ахманаев, Л.М.Клейнер, Г.И.Гусева
2. УТВЕРЖДЕН И ВВЕДЕН В ДЕЙСТВИЕ Постановлением Государственного комитета СССР по управлению качеством продукции и стандартам от 04.05.90 N 1093
3. ВЗАМЕН ГОСТ 13217.1-79
4. Стандарт полностью соответствует ИСО 6467-80
5. ССЫЛОЧНЫЕ НОРМАТИВНО-ТЕХНИЧЕСКИЕ ДОКУМЕНТЫ
Обозначение НТД, на который дана ссылка | Номер пункта, приложение |
ГОСТ 4197-74 | 2 |
ГОСТ 4204-77 | 2 |
ГОСТ 4208-72 | 2 |
ГОСТ 4220-75 | 2 |
ГОСТ 4461-77 | 2 |
ГОСТ 6552-80 | 2 |
ГОСТ 6691-77 | 2 |
ГОСТ 10484-78 | 2 |
ГОСТ 17260-87 | Приложение (2, 6) |
ГОСТ 20490-75 | 2 |
ГОСТ 26201-84 | 1.2 |
ГОСТ 28473-90 | 1.1 |
6. Ограничение срока действия снято по протоколу N 7-95 Межгосударственного Совета по стандартизации, метрологии и сертификации (ИУС 11-95)
7. ПЕРЕИЗДАНИЕ (декабрь 1996 г.) с Изменением N 1, утвержденным в апреле 1992 г. (ИУС 8-92)
Настоящий стандарт устанавливает потенциометрический метод определения ванадия в феррованадии при массовой доле его от 30 до 85%.
Метод основан на окислении четырехвалентного ванадия до пятивалентного перманганатом калия с последующим титрованием пятивалентного ванадия раствором соли Мора.
Допускается проводить определение ванадия по методике международного стандарта ИСО 6467-80, приведенного в приложении.
(Измененная редакция, Изм. N 1).
1. ОБЩИЕ ТРЕБОВАНИЯ
1. ОБЩИЕ ТРЕБОВАНИЯ
1.1. Общие требования к методу анализа - по ГОСТ 28473.
1.2. Лабораторная проба должна быть приготовлена в виде порошка с размером частиц 0,16 мм по ГОСТ 26201.
2. АППАРАТУРА, РЕАКТИВЫ И РАСТВОРЫ
Установка для потенциометрического титрования с индикаторным платиновым и сравнительным вольфрамовым, хлорсеребряным или каломельным электродами.
Мешалка магнитная или механическая.
Кислота азотная по ГОСТ 4461.
Кислота серная по ГОСТ 4204, растворы 1:1, 1:2, 1:4 и 1:20.
Кислота фтористоводородная по ГОСТ 10484.
Кислота ортофосфорная по ГОСТ 6552.
Калий марганцовокислый по ГОСТ 20490, раствор с массовой концентрацией 20 г/дм.
Натрий азотистокислый по ГОСТ 4197, раствор с массовой концентрацией 10 г/дм.
Карбамид по ГОСТ 6691 или раствор с массовой концентрацией 100 г/дм, свежеприготовленный.
Вода бидистиллированная.
Калий двухромовокислый по ГОСТ 4220, раствор (
KСr
О
)=0,1 моль/дм
:4,9032 г при необходимости перекристаллизованного и просушенного до постоянной массы при температуре 180 °С двухромовокислого калия растворяют в 150 см
бидистиллированной воды, переносят в мерную колбу вместимостью 1 дм
, доливают до метки той же водой и перемешивают.
1 см раствора соответствует 0,0050942 г ванадия.
Соль закиси железа и аммония двойная сернокислая (соль Мора) по ГОСТ 4208, раствор (FeSO
·(NH)
SО
·6H
O)=0,1 моль/дм
:39,3 г соли Мора растворяют в 500 см
раствора серной кислоты 1:20. Раствор переносят в мерную колбу вместимостью 1 дм
, доливают до метки водой и перемешивают.
Массовую концентрацию раствора соли Мора устанавливают по раствору двухромовокислого калия. Для этого в стакан вместимостью 400 см вводят 25,0 см
раствора двухромовокислого калия, затем прибавляют 200 см
воды, 30 см
раствора серной кислоты 1:1, 8 см
ортофосфорной кислоты и титруют раствором соли Мора до максимального изменения потенциала электрода.
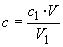
Массовую концентрацию раствора соли Мора (), выраженную в граммах на кубический сантиметр ванадия, вычисляют по формуле
, (1)
где - массовая концентрация раствора двухромовокислого калия, выраженная в г/см
ванадия;
- объем раствора двухромовокислого калия, взятый для титрования, см
;
- объем раствора соли Мора, израсходованный на титрование раствора двухромовокислого калия, см
.
(Измененная редакция, Изм. N 1).
3. ПРОВЕДЕНИЕ АНАЛИЗА
Навеску массой 0,25 г помещают в стакан вместимостью 250-300 см, приливают 25 см
раствора серной кислоты 1:4 и нагревают до растворения, затем приливают 2-3 см
азотной кислоты и выпаривают содержимое стакана до выделения паров серной кислоты. После охлаждения соли растворяют при нагревании в 50 см
воды.
Растворение навески с массовой долей кремния св. 2% проводят в платиновой или стеклоуглеродистой чашке с добавлением 3-5 см фтористоводородной кислоты. После выпаривания до паров серной кислоты содержимое чашки охлаждают, перерастворяют соли в 30-40 см
воды при нагревании и переносят раствор в стакан вместимостью 250-300 см
.
После охлаждения в стакан с раствором погружают электроды и включают мешалку. Затем вводят в раствор по каплям раствор перманганата калия до появления розового окрашивания, не исчезающего в течение 1 мин. Избыток перманганата калия восстанавливают раствором нитрита натрия, добавляя его по каплям до исчезновения розовой окраски перманганата калия.
После этого вносят 2 г мочевины или 20 см раствора мочевины, через 1 мин приливают 10 см
ортофосфорной кислоты, 50 см
раствора серной кислоты 1:2 и по достижении постоянного потенциала (проверяют по амперметру) титруют ванадий потенциометрически раствором соли Мора до максимального изменения потенциала электрода.
4. ОБРАБОТКА РЕЗУЛЬТАТОВ
4.1. Массовую долю ванадия () в процентах вычисляют по формуле
, (2)
где - массовая концентрация раствора соли Мора, выраженная в г/см
ванадия;
- объем раствора соли Мора, израсходованный на титрование раствора пробы, см
;
- объем раствора соли Мора, израсходованный на титрование раствора контрольного опыта, см
;
- масса навески пробы, г
.
4.2. Нормы точности и нормативы контроля точности определения массовой доли ванадия приведены в таблице.
Массовая доля ванадия, % | Погрешность результатов анализа, % | Допускаемые расхождения, % | |||
двух средних результатов анализа, выполненных | двух параллельных определений | трех параллельных определений | результатов анализа стандартного образца от аттестованного значения | ||
От 30 до 50 включ. | 0,3 | 0,4 | 0,3 | 0,4 | 0,2 |
Св. 50 " 85 " | 0,4 | 0,5 | 0,4 | 0,5 | 0,3 |
ПРИЛОЖЕНИЕ (рекомендуемое). ИСО 6467-80 ФЕРРОВАНАДИЙ. ОПРЕДЕЛЕНИЕ СОДЕРЖАНИЯ ВАНАДИЯ. ПОТЕНЦИОМЕТРИЧЕСКИЙ МЕТОД
ПРИЛОЖЕНИЕ
Рекомендуемое
1. Назначение и область применения
Настоящий международный стандарт устанавливает потенциометрический метод определения содержания ванадия в феррованадии.
Метод применим к сплавам с содержанием ванадия меньше или равным 84%.
2. Ссылка
ГОСТ 17260-87 "Ферросплавы, хром и марганец металлические. Общие требования к отбору и подготовке проб для химического анализа.
3. Сущность
Растворение навески в азотной и серной кислотах. Холодное окисление ванадия (IV) до ванадия (V) перманганатом калия с небольшим избытком. Разложение избытка перманганата калия нитритом калия; избыток нитрита калия разложить мочевиной. Восстановление ванадия (V) до ванадия (IV) железом (II) методом потенциометрического титрования.
4. Реактивы
В ходе анализа используют реактивы признанного аналитического качества и воду дистиллированную или эквивалентной чистоты.
4.1. Мочевина.
4.2. Кислота азотная, 1,3-1,42 г/см
.
4.3. Кислота фосфорная.
4.4. Кислота серная, 50%-ный раствор, нейтрализованная по отношению к марганцовокислому калию добавлением этого реактива с небольшим избытком: к 400 см воды осторожно приливают 500 см
серной кислоты (
1,84 г/см
), перемешивают, охлаждают, доливают водой до объема 1 дм
и вновь перемешивают.
4.5. Калий азотистокислый, водный раствор 10 г/см: растворяют 10 г азотистокислого калия в воде, доливают водой до объема 1 дм
и перемешивают.
4.6. Калий марганцовокислый, водный раствор 6,3 г/см: растворяют в воде 6,3 г марганцовокислого калия, доливают водой до объема 1 дм
и перемешивают.
4.7. Калия бихромат, эталонный раствор, (K
Сr
О
)=0,2 моль/дм
: взвешивают с погрешностью до 0,0005 г 9,8064 г бихромата калия, предварительно высушенного в сушильном шкафу при 105 °С. Растворяют водой в мерной колбе вместимостью 1 дм
, доливают до метки и перемешивают.
4.8. Сульфат железа (II) и аммония, титрованный раствор (FeSO
(NH
)
SO
)=0,2 моль/дм
.
4.8.1. Приготовление
В мерной колбе вместимостью 1 дм растворяют 78,4 г сульфата железа (II) и аммония (FeSО
(NH
)
SО
·6H
О) в 500 см
теплой воды.
Когда растворение закончится, приливают 100 см серной кислоты, охлаждают и доливают до метки, затем перемешиваю
т.
4.8.2. Эталонирование
В химический стакан вместимостью 600 см, содержащий 280 см
воды, 10 см
серной кислоты и 10 см
фосфорной кислоты, вводят бюреткой 40 см
бихромата калия. Титруют раствором сульфата железа (II) и аммония под потенциометрическим контролем. Конец реакции наступает, когда наблюдается максимальное падение потенциала около 100 мВ.
Поправочный коэффициент получают из выражения
, где - объем раствора сульфата железа (II) и аммония, использованный для опыта, см
.
Концентрация этого раствора сульфата железа (II) и аммония меняется, ее проверяют перед каждой серией определен
ий.
5. Оборудование
5.1. Химический стакан вместимостью 400 см.
5.2. Потенциометр для точных измерений.
5.2.1. Электроды
Индикаторный электрод: платиновый электрод.
Электрод с известным потенциалом: электрод Hg/HgSО
/K
SО
(насыщенный).
5.2.2. Контроль системы измерения
В период бездействия электрод с известным потенциалом погружают в насыщенный раствор сульфата калия.
Платиновый электрод периодически проверяют в стабильном окислительно-восстановительном буферном растворе. Например, можно использовать эквиионный раствор солей церия (III) и церия (IV):
или
.
Буферный раствор готовят, растворяя в дистиллированной воде 0,330 г Ce(SО)
и 0,280 г Ce
(SО
)
. Приливают серной кислоты так, чтобы после помещения ее в мерную колбу вместимостью 1 дм
получить кислотность, соответствующую кислотности молярного раствора серной кислоты. Реакция платинового электрода действительна, если при соединении его с электродом с известным потенциалом на милливольтметре получают значение 710-740 мВ.
5.3. Магнитная мешалка.
6. Проба
Используют порошок, проходящий через сито с размером отверстий 2,50 мм, приготовленный в соответствии с ГОСТ 17260.
7. Ход анализа
7.1. Навеска
Берут навеску массой (0,5±0,0002) г.
7.2. Холостой опыт
Проводят холостой опыт параллельно определению, следуя тому же ходу анализа и используя те же реактивы.
7.3. Контрольный опыт
Надежность выполнения методики проверяют, анализируя параллельно опыту одну или несколько проб с известным содержанием ванадия.
7.4. Определение
7.4.1. В химическом стакане вместимостью 400 см растворяют навеску, приливают 10 см
воды, 10 см
азотной кислоты и 50 см
серной кислоты; выпаривают до выделения обильных белых серных паров, затем дают остыть.
7.4.2. Вновь приливают 100 см воды, осторожно наливая воду на край стакана, доводят до кипения, чтобы растворить соли, дают остыть и разводят водой до объема примерно 200 см
.
7.4.3. Помещают химический стакан на магнитную мешалку, погружают электроды и помешивают, добавляют раствор перманганата калия из бюретки вместимостью 50 см до получения максимального потенциала, выдерживают 15 мин (стабилизация потенциала наступает при (700±50) мВ).
7.4.4. Разлагают избыток перманганата калия раствором азотистокислого калия, добавляя по капле каждые 30 с под потенциометрическим контролем. Прекращают добавку, когда падение потенциала достигнет порядка 200 мВ. Быстро добавляют приблизительно 0,2 г мочевины, затем 10 см фосфорной кислоты, выдерживают 5 мин для стабилизации потенциала.
7.4.5. Титруют раствором сульфата железа (II) и аммония из бюретки вместимостью 50 см, пока не произойдет максимальное падение потенциала - около 100 мВ.
8. Обработка результатов
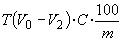
Содержание ванадия, выраженное в процентах массы пробы, вычисляют по формуле
,
где - постоянная 0,01019, т.е. масса ванадия, эквивалентная 1 см
раствора сульфата железа (II) и аммония при концентрации раствора точно 0,2 моль/дм
, г;
- объем раствора сульфата железа (II) и аммония, использованный для опыта, см
;
- объем, использованный для холостого опыта, см
;
- поправочный коэффициент раствора сульфата железа (II) и аммония;
- масса навески,
г.
9. Воспроизводимость
Пределы доверительного интервала при уровне вероятности 95% составляют ±0,20%.
10. Протокол опыта
Протокол должен содержать:
а) ссылку на использованную методику;
б) результаты и форму их выражения;
в) особенности, выявленные в ходе опыта;
г) операции, не предусмотренные настоящим международным стандартом или рассматриваемые как необязательные.
Приложение. (Введено дополнительно, Изм. N 1).
Электронный текст документа
подготовлен ЗАО "Кодекс" и сверен по:
официальное издание
М.: ИПК Издательство стандартов, 1997
Разместите заказ
сами сделают вам предложение
