ГОСТы сталей. ГОСТ 13201.6-77
ГОСТ 13201.6-77
Группа В19
ГОСУДАРСТВЕННЫЙ СТАНДАРТ СОЮЗА ССР
ФЕРРОСИЛИКОХРОМ
Метод определения содержания фосфора
Ferrosilicochrome.
Method for the determination of phosphorus content
ОКСТУ 0809*
______________
* Введено дополнительно, Изм. N 1.
Срок действия с 01.01.1979
до 01.01.1984*
_______________________________
* Ограничение срока действия снято
по протоколу N 3-93 Межгосударственного Совета
по стандартизации, метрологии и сертификации
(ИУС N 5/6, 1993 год). - Примечание изготовителя базы данных.
РАЗРАБОТАН Челябинским научно-исследовательским институтом металлургии (НИИМ)
Директор А.Н.Морозов
Руководитель темы В.Л.Зуева
Ответственный исполнитель П.Ф.Агафонов
ВНЕСЕН Министерством черной металлургии СССР
Член коллегии В.В.Лемпицкий
ПОДГОТОВЛЕН К УТВЕРЖДЕНИЮ Всесоюзным научно-исследовательским институтом стандартизации (ВНИИС)
Директор А.В.Гличев
УТВЕРЖДЕН И ВВЕДЕН В ДЕЙСТВИЕ Постановлением Государственного комитета стандартов Совета Министров СССР от 7 сентября 1977 г. N 2174
ВЗАМЕН ГОСТ 13201.6-67
ВНЕСЕНО Изменение N 1, утвержденное и введенное в действие Постановлением Государственного комитета СССР по стандартам от 07.12.87 N 4401 с 01.01.89
Изменение N 1 внесено изготовителем базы данных по тексту ИУС N 2, 1988 год
Настоящий стандарт распространяется на ферросиликохром и устанавливает фотометрический метод определения содержания фосфора (при массовой доле фосфора от 0,01 до 0,05%).
Метод основан на реакции образования желтой фосфорно-молибденовой гетерополикислоты и последующем восстановлении ее в солянокислой среде ионами двухвалентного железа в присутствии солянокислого гидроксиламина до комплексного соединения, окрашенного в синий цвет. Интенсивность синей окраски раствора пропорциональна содержанию фосфора. Фосфор отделяют аммиаком с суммой гидроокисей металлов после предварительного окисления хрома до хромат-иона.
1. ОБЩИЕ ТРЕБОВАНИЯ
1. ОБЩИЕ ТРЕБОВАНИЯ
1.1. Общие требования к методу анализа - по ГОСТ 13020.0-75.
1.2. Отбор проб производят по ГОСТ 24991-81 со следующим дополнением: лабораторная проба должна быть приготовлена в виде тонкого порошка с размером частиц, проходящих через сито с сеткой N 016 по ГОСТ 6613-86.
(Измененная редакция, Изм. N 1).
2. АППАРАТУРА, РЕАКТИВЫ И РАСТВОРЫ
Спектрофотометр или фотоэлектроколориметр.
Кислота азотная по ГОСТ 4461-77 и разбавленная 1:100.
Кислота фтористоводородная по ГОСТ 10484-78.
Кислота серная по ГОСТ 4204-77, раствор с молярной концентрацией эквивалента 2 моль/дм и разбавленная 1:5.
Кислота хлорная, 57%-ный раствор.
Кислота соляная по ГОСТ 3118-77 и разбавленная 1:1, 1:5.
Кислота соляная плотностью 1,105 г/см, готовят следующим образом: 560 см
концентрированной соляной кислоты разбавляют водой до 1 дм
.
Аммоний надсернокислый по ГОСТ 20478-75, раствор с массовой концентрацией 250 г/дм.
Аммиак водный по ГОСТ 3760-79 и разбавленный 1:100.
Серебро азотнокислое по ГОСТ 1277-75, раствор с массовой концентрацией 2,5 г/дм. Смесь для сплавления; готовят следующим образом: смешивают три части безводного углекислого натрия и одну часть безводного тетрабората натрия (буру).
Квасцы железоаммонийные по ГОСТ 4205-77, раствор с массовой концентрацией 100 г/дмсернокислый; готовят следующим образом: 100 г квасцов растворяют в 1 дм
раствора с молярной концентрацией эквивалента 2 моль/дм
серной кислоты.
Гидроксиламин солянокислый по ГОСТ 5456-79, раствор с массовой концентрацией 200 г/дм.
Аммоний молибденовокислый по ГОСТ 3765-78, перекристаллизованный; готовят следующим образом: 250 г молибденовокислого аммония растворяют в 400 см воды при нагревании до 80 °С. Раствор фильтруют через плотный фильтр, охлаждают, приливают 300 см
этилового спирта, перемешивают и через 1 ч осадок под вакуумом фильтруют на фильтр средней плотности, помещенный в воронку Бюхнера. Осадок промывают 2-3 раза спиртом и высушивают на воздухе. Из полученной соли готовят 5%-ный водный раствор реактива.
Калий фосфорнокислый однозамещенный по ГОСТ 4198-75, перекристаллизованный; готовят следующим образом: 100 г однозамещенного фосфорнокислого калия растворяют в 150 см горячей воды при нагревании, после чего выливают раствор тонкой струей в фарфоровую чашку, энергично перемешивая стеклянной палочкой. Когда раствор охладится до комнатной температуры, чашку с кристаллами охлаждают в холодной проточной воде или холодильнике, изредка перемешивая содержимое фарфоровой чашки. После охлаждения кристаллы отфильтровывают под вакуумом на воронке с пористой стеклянной пластинкой и промывают дважды по 5 см
ледяной водой.
Осадок переносят в стакан и растворяют в 80 см горячей воды при нагревании, после чего проводят перекристаллизацию еще раз, как указано выше. Кристаллы фосфорнокислого однозамещенного калия высушивают при 110±5 °С в фарфоровой чашке до постоянной массы.
Калий фосфорнокислый однозамещенный, стандартные растворы.
Раствор А; готовят следующим образом: 0,4393 г однозамещенного фосфорнокислого калия, дважды перекристаллизованного и высушенного при 110 °С, помещают в мерную колбу вместимостью 1 дм, растворяют в 100 см
воды, доливают водой до метки и перемешивают.
1 см раствора А содержит 0,1 мг фосфора.
Раствор Б; готовят следующим образом: 10 см стандартного раствора А переносят в мерную колбу вместимостью 100 см
, доливают водой до метки и перемешивают.
1 см раствора Б содержит 0,01 мг фосфора. Раствор готовят в день применения.
(Измененная редакция, Изм. N 1).
3. ПРОВЕДЕНИЕ АНАЛИЗА
3.1. Навеску массой 0,5 г помещают в платиновую чашку, прибавляют 15 см азотной кислоты и осторожно, по каплям, 10-15 см
фтористоводородной кислоты.
Затем содержимое чашки нагревают и раствор выпаривают до 5-10 см. Добавляют 30 см
хлорной кислоты и выпаривают до начала выделения обильных паров хлорной кислоты, которым дают выделяться около 5 мин. Раствор охлаждают, переносят водой в коническую колбу вместимостью 250 см
и снова выпаривают до выделения обильных паров хлорной кислоты и окисления хрома. После охлаждения соли растворяют в 50 см
воды.
Если имеется нерастворимый остаток, его отфильтровывают на плотный фильтр и промывают 10-12 раз горячей азотной кислотой, разбавленной 1:100. Основной фильтрат сохраняют. Фильтр с остатком помещают в платиновый тигель, высушивают, озоляют, прокаливают при 800 °С, а затем сплавляют с 3-4 г смеси соды с бурой при 1000 °С в течение 20-30 мин.
Плав выщелачивают в стакане вместимостью 250 см в 50 см
соляной кислоты, разбавленной 1:5. Тигель извлекают, добавляют 15 см
хлорной кислоты и выпаривают до появления паров хлорной кислоты, затем стакан накрывают часовым стеклом и снова нагревают до полного растворения остатка. В стакан приливают 50 см
воды, растворяют соли при нагревании, а затем раствор присоединяют к основному фильтрату.
К раствору объемом 150 см добавляют 10 см
железоаммонийных квасцов и осаждают гидроокиси металлов аммиаком. Раствор нагревают и оставляют до коагуляции осадка.
Осадок гидроокисей металлов, содержащий фосфор, отфильтровывают на фильтр средней плотности и промывают горячим раствором аммиака, разбавленного 1:100, до исчезновения окраски раствора от хромат-иона. Осадок смывают в колбу, где проводилось осаждение, и растворяют 30 см горячей серной кислоты, разбавленной 1:5. Фильтр промывают 3-4 раза серной кислотой, разбавленной 1:5, 6-8 раз водой. Раствор разбавляют водой до объема 150 см
и окисляют хром 20 см
надсернокислого аммония в присутствии 5 см
азотнокислого серебра. Производят переосаждение гидроокисей металлов аммиаком.
Промытый осадок смывают в колбу, где проводилось осаждение, и растворяют в 30 см горячей соляной кислоты, разбавленной 1:1. Фильтр промывают 3-4 раза той же соляной кислотой и 6-8 раз водой. Раствор выпаривают до 50-60 см
, охлаждают, переносят в мерную колбу вместимостью 100 см
, доливают до метки водой, перемешивают и фильтруют в сухой стакан вместимостью 100 см
через сухой фильтр.
В две конические колбы вместимостью по 100 см каждая помещают по 20 см
анализируемого раствора. При непрерывном перемешивании прибавляют аммиак до образования небольшого устойчивого осадка гидроокиси железа, который растворяют, добавляя осторожно по каплям при перемешивании соляную кислоту плотностью 1,105 г/см
, не допуская ее избытка.
К прозрачному раствору прибавляют по 10 см раствора солянокислого гидроксиламина и нагревают, не доводя до кипения, до исчезновения желтой окраски раствора. Если раствор сохраняет желтоватую окраску, то добавляют 2-3 капли раствора аммиака. При появлении мути добавляют 2-3 капли соляной кислоты плотностью 1,105 г/см
.
Бесцветные растворы быстро охлаждают, переносят в мерные колбы вместимостью 100 см каждая, прибавляют по 10 см
соляной кислоты плотностью 1,105 г/см
, а затем в одну из колб по каплям, при непрерывном перемешивании, прибавляют 8 см
раствора молибденовокислого аммония.
После перемешивания в течение 1-2 мин раствор доливают водой до метки и снова перемешивают.
Раствор в колбе без добавления молибденовокислого аммония служит раствором сравнения. Через 10 мин измеряют оптическую плотность раствора на спектрофотометре при 650 нм или фотоэлектроколориметре с красным светофильтром.
Массу фосфора находят по градуировочному графику после вычитания значения оптической плотности раствора контрольного опыта из значения оптической п
лотности раствора пробы.
3.2. Построение градуировочного графика
В семь конических колб вместимостью по 100 см каждая помещают 0,5; 1; 2; 3; 4; 5 и 6 см
стандартного раствора Б, что соответствует 0,000005; 0,00001; 0,00002; 0,00003; 0,00004; 0,00005 и 0,00006 г фосфора.
В каждую колбу приливают по 25 см воды, по 4 см
раствора железоаммонийных квасцов, нейтрализуют раствор аммиаком до выпадения гидроокиси железа и дальше анализ ведут, как указано в п.3.1.
Восьмая колба, в которую прибавлены все реактивы, за исключением стандартного раствора, служит для проведения контрольного опыта на содержание фосфора в реактивах и служит раствором сравнения.
По полученным значениям оптических плотностей растворов и соответствующим им массам фосфора строят градуировочный график.
3.1, 3.2. (Измененная редакция, Изм. N 1).
4. ОБРАБОТКА РЕЗУЛЬТАТОВ
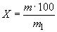
4.1. Массовую долю фосфора () в процентах вычисляют по формуле
,
где - масса фосфора, найденная по градуировочному графику, г;
- масса навески пробы, соответствующей аликвотной части раствора, г.
4.2. Абсолютные расхождения результатов трех параллельных определений не должны превышать допускаемых значений, указанных в таблице.
Массовая доля фосфора, % | Допускаемые расхождения, % |
От 0,010 до 0,020 включ. | 0,004 |
Св. 0,020 " 0,050 " | 0,006 |
(Измененная редакция, Изм. N 1).
Электронный текст документа
подготовлен ЗАО "Кодекс" и сверен по:
официальное издание
Ферросиликохром. Методы химического
анализа: Сб. ГОСТов. -
М.: Издательство стандартов, 1977
Редакция документа с учетом
изменений и дополнений
подготовлена ЗАО "Кодекс"
Разместите заказ
сами сделают вам предложение
