ГОСТы сталей. ГОСТ 13201.2-77
ГОСТ 13201.2-77
Группа В19
ГОСУДАРСТВЕННЫЙ СТАНДАРТ СОЮЗА ССР
ФЕРРОСИЛИКОХРОМ
Метод определения массовой доли кремния*
Ferrosilicochrome.
Method for the determination silicon content
ОКСТУ 0809**
______________
* Наименование стандарта. Измененная редакция, Изм. N 1.
** Введено дополнительно, Изм. N 1.
Срок действия с 01.01.1979
до 01.01.1984*
_______________________________
* Ограничение срока действия снято
по протоколу N 3-93 Межгосударственного Совета
по стандартизации, метрологии и сертификации
(ИУС N 5/6, 1993 год). - Примечание изготовителя базы данных.
РАЗРАБОТАН Челябинским научно-исследовательским институтом металлургии (НИИМ)
Директор А.Н.Морозов
Руководитель темы В.Л.Зуева
Ответственный исполнитель П.Ф.Агафонов
ВНЕСЕН Министерством черной металлургии СССР
Член коллегии В.В.Лемпицкий
ПОДГОТОВЛЕН К УТВЕРЖДЕНИЮ Всесоюзным научно-исследовательским институтом стандартизации (ВНИИС)
Директор А.В.Гличев
УТВЕРЖДЕН И ВВЕДЕН В ДЕЙСТВИЕ Постановлением Государственного комитета стандартов Совета Министров СССР от 7 сентября 1977 г. N 2174
ВЗАМЕН ГОСТ 13201.2-67
ВНЕСЕНО Изменение N 1, утвержденное и введенное в действие Постановлением Государственного комитета СССР по стандартам от 07.12.87 N 4401 с 01.01.89
Изменение N 1 внесено изготовителем базы данных по тексту ИУС N 2, 1988 год
Настоящий стандарт распространяется на ферросиликохром и устанавливает гравиметрический метод определения массовой доли кремния (при массовой доле кремния от 10 до 55%*).
Метод основан на разложении навески ферросиликохрома сплавлением с перекисью натрия и выделении кремниевой кислоты хлорной кислотой.
______________
* Изменением N 1 предлагается в вводной части заменить значения: 10; 50 на 5,0; 60,0. - Примечание изготовителя базы данных.
(Измененная редакция, Изм. N 1).
1. ОБЩИЕ ТРЕБОВАНИЯ
1. ОБЩИЕ ТРЕБОВАНИЯ
1.1. Общие требования к методу анализа - по ГОСТ 13020.0-75.
1.2. Отбор проб производят по ГОСТ 24991-81 со следующим дополнением: лабораторная проба должна быть приготовлена в виде тонкого порошка с размером частиц, проходящих через сито с сеткой N 016 по ГОСТ 6613-86.
(Измененная редакция, Изм. N 1).
2. РЕАКТИВЫ И РАСТВОРЫ
Кислота соляная по ГОСТ 3118-77 и разбавленная 1:1 и 1:20.
Кислота хлорная, 57%-ный раствор.
Кислота серная по ГОСТ 4204-77, разбавленная 1:1.
Кислота фтористоводородная по ГОСТ 10484-78.
Натрия пероксид.
Натрия гидроокись по ГОСТ 4328-77.
Аммоний роданистый, раствор с массовой концентрацией 50 г/дм.
Спирт этиловый ректификованный по ГОСТ 18300-87.
(Измененная редакция, Изм. N 1).
3. ПРОВЕДЕНИЕ АНАЛИЗА
Навеску ферросиликохрома массой 0,5 г (при массовой доле кремния до 30%) и массой 0,25 г (при массовой доле кремния свыше 30%) помещают в железный или никелевый тигель, содержащий 3 г предварительно обезвоженного на плите гидрата окиси натрия. Смачивают 8-10 каплями спирта и нагревают на плите до расплавления или спекания массы. Затем в тигель добавляют 5 г перекиси натрия и нагревают в муфельной печи при 400-450 °С до начала расплавления смеси, после чего сплавление проводят при 700-750 °С в течение 5-6 мин.
Охлажденный тигель помещают в стакан из пластмассы (тетрафторпласт, полиэтилен и др.) вместимостью 500 см, прибавляют в него 100 см
воды и выщелачивают плав при комнатной температуре, накрыв стакан часовым стеклом. После растворения плава тигель удаляют из стакана и обмывают его водой.
Раствор переносят в стакан из стекла вместимостью 500-600 см, куда предварительно налито 40 см
соляной кислоты, и нагревают до растворения гидроокиси металлов. Затем добавляют 80 см
хлорной кислоты и выпаривают раствор до выделения паров хлорной кислоты и начала окисления хрома (раствор приобретает оранжевую окраску).
В таком состоянии раствор нагревают еще 10-15 мин и охлаждают. К раствору приливают 20 см соляной кислоты, разбавленной 1:1, нагревают в течение 2-3 мин, приливают 200 см
горячей воды, хорошо перемешивают и дают осадку отстояться в течение 10 мин.
Осадок кремневой кислоты отфильтровывают на фильтр средней плотности, промывают теплым раствором соляной кислоты, разбавленной 1:20, до отсутствия ионов железа в промывных водах (проба с роданистым аммонием) и под конец 2-3 раза водой.
Фильтрат и промывные воды переносят в стакан, в котором производилось выделение кремневой кислоты, добавляют 20 см хлорной кислоты и производят вторичное выделение кремневой кислоты, как указано выше.
Фильтры с осадками кремневой кислоты объединяют, помещают в платиновый тигель, сушат, озоляют и прокаливают 40 мин при 1000-1050 °С. После охлаждения в тигель добавляют 1 см серной кислоты, разбавленной 1:1, выпаривают на плите досуха, а затем прокаливают тигли при 1000-1050 °С до постоянной массы тигля, охлаждают и взвешивают. Осадок в тигле смачивают несколькими каплями воды, добавляют 4-5 капель серной кислоты, разбавленной 1:1, 5-6 см
фтористоводородной кислоты и выпаривают до удаления паров серной кислоты. Затем тигель прокаливают при 1000-1050 °С до постоянной массы, охлаждают в эксикаторе и снова взвешивают.
Масса чистой двуокиси кремния соответствует разности между первым и вторым взвешиванием.
(Измененная редакция, Изм. N 1).
4. ОБРАБОТКА РЕЗУЛЬТАТОВ
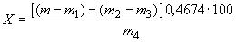
4.1. Массовую долю кремния () в процентах вычисляют по формуле
,
где - масса тигля с осадком двуокиси кремния до обработки фтористоводородной кислотой, г;
- масса тигля с остатком после обработки фтористоводородной кислотой, г;
- масса тигля с осадком контрольного опыта до обработки фтористоводородной кислотой, г;
- масса тигля с остатком контрольного опыта после обработки фтористоводородной кислотой, г;
- масса навески, г;
0,4674 - коэффициент пересчета двуокиси кремния на кремний.
4.2. Абсолютные расхождения результатов трех параллельных определений не должны превышать допускаемых значений, указанных в таблице.
Массовая доля кремния, % | Абсолютные допускаемые расхождения, % |
От 5,0 до 10,0 включ. | 0,2 |
Св. 10,0 " 20,0 " | 0,3 |
" 20,0 " 30,0 " | 0,4 |
" 30,0 " 60,0 " | 0,5 |
4.1, 4.2. (Измененная редакция, Изм. N 1).
Электронный текст документа
подготовлен ЗАО "Кодекс" и сверен по:
официальное издание
Ферросиликохром. Методы химического
анализа: Сб. ГОСТов. -
М.: Издательство стандартов, 1977
Редакция документа с учетом
изменений и дополнений
подготовлена ЗАО "Кодекс"
Разместите заказ
сами сделают вам предложение
