ГОСТы сталей. ГОСТ 13151.8-77
ГОСТ 13151.8-77
Группа В19
ГОСУДАРСТВЕННЫЙ СТАНДАРТ СОЮЗА ССР
ФЕРРОМОЛИБДЕН
Методы определения содержания цинка, свинца и висмута
Ferromolybdenum. Methods for the determination of zinc, lead and bismuth content
ОКСТУ 0809*
______________
* Введено дополнительно, Изм. N 1.
Дата введения 1979-01-01
Постановлением Государственного комитета стандартов Совета Министров СССР от 22 декабря 1977 г. N 3005 срок действия установлен с 01.01.1979 г. до 01.01.1984 г.*
________________
* Ограничение срока действия снято по протоколу Межгосударственного Совета по стандартизации, метрологии и сертификации (ИУС N 2, 1993 год). - Примечание изготовителя базы данных.
ВЗАМЕН ГОСТ 13151.8-67
ВНЕСЕНО Изменение N 1, утвержденное и введенное в действие с 01.01.89 Постановлением Госстандарта СССР от 03.12.87 N 4366
Изменение N 1 внесено изготовителем базы данных по тексту ИУС N 2, 1988 год
Настоящий стандарт устанавливает полярографический метод определения содержания свинца (при массовой доле свинца от 0,001 до 0,03%), висмута (при массовой доле висмута от 0,001 до 0,05%), цинка (при массовой доле цинка св. 0,005 до 0,03%) и фотометрический метод определения содержания цинка (при массовой доле цинка от 0,001 до 0,005%) с сульфарсазеном из одной навески.
1. ОБЩИЕ ТРЕБОВАНИЯ
1. ОБЩИЕ ТРЕБОВАНИЯ
1.1. Общие требования к методам анализа - по ГОСТ 13020.0-75 со следующим дополнением.
1.2. Пробы отбирают по ГОСТ 26201-84 или другими методами, обеспечивающими точность отбора, указанную в этом стандарте.
1.3. Лабораторная проба должна быть приготовлена в виде тонкого порошка с размером частиц, проходящих через сито с сеткой N 016 по ГОСТ 6613-86.
Раздел 1. (Измененная редакция, Изм. N 1).
2. АППАРАТУРА, РЕАКТИВЫ И РАСТВОРЫ
Полярограф электронный переменнотоковый, обеспечивающий чувствительность метода 0,0005%.
Спектрофотометр или фотоэлектроколориметр.
рН-метр 340. Допускается применение рН-метров других типов.
Ионообменная колонка (см. чертеж), наполненная слабоосновным анионитом типа АН-31 в хлор-форме с размером зерна 0,2-0,3 мм. Смолу просевают через сито с сеткой N 02 и 04 по ГОСТ 6613-73. Фракцию, прошедшую через сито с сеткой N 02 и оставшуюся на сите с сеткой N 04, отбрасывают. Фракцию, оставшуюся на сите с сеткой N 02, замачивают на 12 ч в насыщенном растворе хлористого натрия так, чтобы уровень раствора над слоем смолы был 8-10 см. Замачивают смолу последовательно в растворе соляной кислоты, разбавленной 1:1, для удаления ионов железа (проба роданидом аммония), затем в воде. После декантации воды смолу обрабатывают раствором с массовой концентрацией 50 г/дм гидроокиси натрия или соды до отрицательной реакции на хлор-ион (проба азотнокислым серебром). Промывают ионит водой до нейтральной реакции и переносят в колонку, в нижнюю часть которой предварительно помещают тампон из стеклянной ваты. Слой анионита в колонке должен быть ровным, пузырьки воздуха должны отсутствовать. После заполнения колонки через нее со скоростью 1 см
/мин пропускают 200 см
2 моль/дм
соляной кислоты, 100 см
воды и вновь 100 см
раствора 2 моль/дм
соляной кислоты.

Скорость вытекания растворов при сорбции и десорбции регулируется столбом жидкости над слоем анионита.
Баллон с аргоном, азотом или водородом, не содержащими кислорода.
Кислота азотная особой чистоты по ГОСТ 11125-84 и разбавленная 1:3 и раствор 1 моль/дм.
Кислота соляная особой чистоты по ГОСТ 14261-77 и разбавленная 1:1 и растворы 2; 1; 0,65; 0,02 моль/дм.
Кислота ортофосфорная по ГОСТ 6552-80, не содержащая свинца.
Кислота хлорная, 57%-ный раствор.
Кислота винная (виннокаменная) по ГОСТ 5817-77, раствор с массовой концентрацией 100 г/дм.
Кислота лимонная моногидрат и безводная, раствор с массовой концентрацией 100 г/дм.
Кислота уксусная по ГОСТ 61-75, раствор 0,2 моль/дм.
Аммиак водный по ГОСТ 3760-79, раствор с массовой концентрацией 50 г/дм и 1 моль/дм
, растворы 0,2 моль/дм
.
Аммоний хлористый по ГОСТ 3773-72, 1 моль/дм.
Фон для полярографирования цинка готовят следующим образом: 1 моль/дм аммиака и 1 моль/дм
хлористого аммония смешивают в соотношении 1:1.
Фон для полярографирования свинца - 1 моль/дм фосфорной кислоты.
Фон для полярографирования висмута - 1 моль/дм соляной кислоты.
Буферный ацетатно-аммонийный раствор (рН 8,9-9,0) готовят следующим образом: смешивают 34 см раствора 0,2 моль/дм
уксусной кислоты и 67 см
раствора 0,2 моль/дм
аммиака.
Сульфарсазен, раствор с массовой концентрацией 0,2 г/дм, приготовленный на ацетатно-аммонийном буферном растворе.
Натрий сернистокислый (сульфит натрия) безводный по ГОСТ 195-77.
Спирт этиловый ректификованный технический по ГОСТ 18300-87.
Свинец по ГОСТ 3778-77*.
______________
* На территории Российской Федерации действует ГОСТ 3778-98. - Примечание изготовителя базы данных.
Стандартные растворы свинца.
Раствор А; готовят следующим образом: 0,1 г свинца растворяют в 20 см азотной кислоты. Полученный раствор переносят в мерную колбу вместимостью 1 дм
, доливают до метки водой и перемешивают.
1 см раствора А содержит 0,0001 г свинца.
Раствор Б; готовят следующим образом: 10 см раствора А помещают в мерную колбу вместимостью 200 см
, доливают до метки водой и перемешивают.
1 см раствора Б содержит 0,000005 г свинца.
Висмут по ГОСТ 10928-75*.
_______________
* На территории Российской Федерации действует ГОСТ 10928-90. - Примечание изготовителя базы данных.
Стандартные растворы висмута.
Раствор А; готовят следующим образом: 0,1 г висмута растворяют в 20 см азотной кислоты. Полученный раствор переносят в мерную колбу вместимостью 1 дм
, доливают до метки водой и перемешивают.
1 см раствора А содержит 0,0001 г висмута.
Раствор Б; готовят следующим образом: 10 см раствора А помещают в мерную колбу вместимостью 200 см
, доливают до метки водой и перемешивают.
1 см раствора Б содержит 0,000005 г висмута.
Цинк по ГОСТ 3640-79.
Стандартные растворы цинка.
Раствор А; готовят следующим образом: 0,1 г цинка растворяют в 15 см соляной кислоты, разбавленной 1:1. Полученный раствор переносят в мерную колбу вместимостью 1 дм
, доливают до метки водой и перемешивают.
1 см раствора А содержит 0,0001 г цинка.
Раствор Б; готовят следующим образом: 10 см раствора А помещают в мерную колбу вместимостью 200 см
, доливают до метки водой и перемешивают.
1 см раствора Б содержит 0,000005 г цинка.
(Измененная редакция, Изм. N 1).
3. ПОЛЯРОГРАФИЧЕСКИЙ МЕТОД ОПРЕДЕЛЕНИЯ МАССОВОЙ ДОЛИ СВИНЦА (от 0,001 до 0,03%), ВИСМУТА (от 0,001 до 0,05%), ЦИНКА (св. 0,005 до 0,03%) ИЗ ОДНОЙ НАВЕСКИ
3.1. Сущность метода
Метод основан на способности анионитов сорбировать анионные хлорокомплексы различной устойчивости, образуемые цинком, свинцом и висмутом в солянокислой среде. Цинк, свинец и висмут сорбируются в 2 моль/дм солянокислом растворе на слабоосновном анионите типа АН-31. Десорбируют: цинк 0,65 моль/дм
раствором соляной кислоты, свинец 0,02 моль/дм
раствором соляной кислоты, висмут 1 моль/дм
раствором азотной кислоты. Проводят полярографирование: цинка на фоне 1 моль/дм
раствора аммиака и 1 моль/дм
раствора хлористого аммония, при потенциале пика минус 1,3 В; свинца на фоне 1 моль/дм
фосфорной кислоты при потенциале минус 0,51 В; висмута на фоне 1 моль/дм
соляной кислоты при потенциале минус 0,09 В по отношению ртутного анода. Режим полярографирования - переменно-токовый.
(Измененная редакция, Изм. N 1).
3.2. Проведение анализа
3.2.1. Навеску ферромолибдена массой 1 г помещают в стакан вместимостью 250 см, растворяют на холоду в 50 см
азотной кислоты, разбавленной 2:3, приливают 10 см
соляной кислоты и раствор выпаривают до получения влажных солей. Соли растворяют в 10 см
соляной кислоты и вновь выпаривают до влажных солей. Обработку солей 10 см
соляной кислоты и выпаривание повторяют дважды при слабом нагреве плиты. Соли растворяют в 10 см
соляной кислоты и 50 см
горячей воды. Раствор охлаждают и заливают его через быстрофильтрующий фильтр в колонку с анионитом, предварительно промытую 2 моль/дм
раствором соляной кислоты, пропуская через слой сорбента со скоростью 0,5 см
/мин. Вытекающий из колонки раствор отбрасывают. Колонку промывают 200 см
2 моль/дм
раствора соляной кислоты со скоростью 1 см
/мин. Когда последняя порция кислоты достигнет верхнего уровня анионита, последовательно десорбируют со скоростью 1 см
/мин цинк, свинец, висмут: цинк - 175-200 см
0,65 моль/дм
раствора соляной кислоты, свинец - 200 см
0,02 моль/дм
раствора соляной кислоты, висмут - 300 см
1 моль/дм
раствора азотной кислоты.
Элюат, содержащий свинец, выпаривают до сиропообразного состояния, приливают 1 см азотной кислоты, 2 см
хлорной кислоты, выпаривают до появления паров хлорной кислоты. Стенки стакана обмывают водой и вновь выпаривают до паров хлорной кислоты. Раствор охлаждают и переводят в мерную колбу вместимостью 50 см
1 моль/дм
раствором фосфорной кислоты, доливают до метки этим же раствором фона и перемешивают.
Элюат, содержащий висмут, выпаривают до малого объема и переводят в стаканчик вместимостью 100 см. Приливают 2 см
хлорной кислоты и выпаривают до паров хлорной кислоты. Стенки стакана обмывают водой и вновь выпаривают до паров хлорной кислоты. Раствор охлаждают и переводят в мерную колбу вместимостью 50 см
1 моль/дм
раствором соляной кислоты, доливают до метки этим же раствором фона и перемешивают.
Элюат, содержащий цинк, выпаривают до сиропа при медленном нагревании. Охлаждают остаток и переводят в колбу вместимостью 50 см буферным раствором, состоящим из 1 моль/дм
раствора хлористого аммония и 1 моль/дм
раствором аммиака в соотношении 1:1, доливают до метки тем же буферным раствором и перемешивают.
Для удаления кислорода воздуха из исследуемых растворов, содержащих свинец и висмут, продувают аргон, водород или азот в течение 5 мин; из раствора, содержащего цинк, кислород удаляют, добавляя около 0,5 г сернистокислого натрия и перемешивая в течение 2 мин. Полярографируют висмут, свинец и цинк соответственно при потенциалах пиков минус 0,09 В, минус 0,51 В, минус 1,3 В относительно ртутного анода. Режим полярографирования переменно-токовый.
Массу висмута, свинца и цинка в испытуемом растворе определяют по градуировочному графику с учетом поправки контрольного опыта.
(Измененная редакция, Изм. N 1).
3.2.2. Построение градуировочного графика
Отобранные объемы стандартных растворов висмута, свинца и цинка (табл.1) помещают в стакан вместимостью 250 см, приливают 10 см
соляной кислоты, окисляют 1 см
азотной кислоты и выпаривают раствор до влажных солей. Далее анализ проводят, как указано в п.3.2.1.
Таблица 1
Массовая доля висмута, свинца, цинка (каждого), % | Наименование стандартного раствора | Объем стандартного раствора, см | ||
висмута | свинца | цинка | ||
От 0,001 до 0,005 | раствор Б | 2,0 | 2,0 | - |
5,0 | 5,0 | - | ||
10,0 | 10,0 | - | ||
Св. 0,005 " 0,01 | " | 10,0 | 10,0 | 10,0 |
15,0 | 15,0 | 15,0 | ||
20,0 | 20,0 | 20,0 | ||
" 0,01 " 0,03 | раствор А | 1,0 | 1,0 | 1,0 |
2,0 | 2,0 | 2,0 | ||
3,0 | 3,0 | 3,0 | ||
" 0,03 " 0,05 | " | 3,0 | - | - |
4,0 | - | - | ||
5,0 | - | - | ||
(Измененная редакция, Изм. N 1).
3.3. Обработка результатов
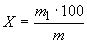
3.3.1. Массовую долю цинка, (свинца или висмута) ()
в процентах вычисляют по формуле
,
где - масса цинка (свинца или висмута), найденная по градуировочному графику, г;
- масса навески пробы, г.
3.3.2. Абсолютные расхождения результатов трех параллельных определений не должны превышать допускаемых значений, указанных в табл.2.
Таблица 2
Массовая доля цинка (свинца или висмута), % | Абсолютные допускаемые расхождения, % | |||||
От | 0,0010 | до | 0,0020 | включ. | 0,0010 | |
Св. | 0,0020 | " | 0,0050 | " | 0,0015 | |
" | 0,005 | " | 0,010 | " | 0,003 | |
" | 0,010 | " | 0,020 | " | 0,005 | |
" | 0,020 | " | 0,050 | " | 0,008 | |
3.3-3.3.2. (Введены дополнительно, Изм. N 1).
4. ФОТОМЕТРИЧЕСКИЙ МЕТОД ОПРЕДЕЛЕНИЯ МАССОВОЙ ДОЛИ ЦИНКА (от 0,001 до 0,005%)
4.1. Сущность метода
Цинк при рН 8,8-9,2 образует с сульфарсазеном комплексное соединение желто-оранжевого цвета, оптическая плотность которого замеряется на спектрофотометре при 508 нм или фотоэлектроколориметре в области светопропускания 450-530 нм.
4.2. Проведение анализа
4.2.1. Растворение навески ферромолибдена, подготовка раствора и хроматографическое разделение проводят как указано в п.3.2.1.
Ко всему объему элюата или его части, содержащей от 10 до 25 мкг цинка, приливают 1 см азотной кислоты и выпаривают раствор досуха. Соли растворяют в 2 см
воды, приливают 2 см
винной кислоты, 1 см
лимонной кислоты, 2,5 см
раствора аммиака и 10 см
ацетатно-аммонийного буферного раствора. На рН-метре устанавливают рН раствора 8,9-9,0, приливают 3 см
раствора сульфарсазена. Переливают раствор в мерную колбу вместимостью 25 см
, доливают до метки буферным раствором и перемешивают. Измеряют оптическую плотность на спектрофотометре
508 нм или фотоэлектроколориметре в области светопропускания 450-530 нм. В качестве раствора сравнения используют раствор контрольного опыта, содержащий все реактивы, включая сульфарсазен. Массу цинка находят по градуировочному графику с учетом поправки контрольного опыта.
(Измененная редакция, Изм. N 1).
4.2.2. Построение градуировочного графика
В пять стаканов вместимостью по 50 см приливают 1; 2; 3; 4; 5 см
стандартного раствора Б, 10 см
соляной кислоты, 1 см
азотной кислоты и выпаривают раствор досуха. Далее проводят анализ, как указано в п.4.2.1.
(Измененная редакция, Изм. N 1).
4.3. Обработка результатов
Обработку результатов проводят, как указано в п.3.3.
(Введен дополнительно, Изм. N 1).
Раздел 5. (Исключен, Изм. N 1).
Электронный текст документа
подготовлен АО "Кодекс" и сверен по:
официальное издание
Ферромолибден. Методы химического
и физико-химического анализов: Сборник ГОСТ.
ГОСТ 13151.2-77, ГОСТ 13151.3-77,
ГОСТ 13151.6-77-ГОСТ 13151.11-77. -
М.: Издательство стандартов, 1978
Редакция документа с учетом
изменений и дополнений
подготовлена АО "Кодекс"
Разместите заказ
сами сделают вам предложение
