ГОСТы сталей. ГОСТ 13151.7-82
ГОСТ 13151.7-82*
Группа В19
ГОСУДАРСТВЕННЫЙ СТАНДАРТ СОЮЗА ССР
ФЕРРОМОЛИБДЕН
Методы определения меди
Ferromolybdenum. Methods for determination of copper
ОКСТУ 0809
Дата введения 1983-01-01
Постановлением Государственного комитета СССР по стандартам от 26 мая 1982 г. N 2119 срок введения установлен с 01.01.83
Ограничение срока действия снято по протоколу Межгосударственного Совета по стандартизации, метрологии и сертификации (ИУС 11-95)
ВЗАМЕН ГОСТ 13151.7-77
* ПЕРЕИЗДАНИЕ (октябрь 1997 г.) с Изменениями N 1, 2, утвержденными в июне 1987 г., декабре 1994 г. (ИУС 9-87, 3-95)
Настоящий стандарт устанавливает фотометрический и атомно-абсорбционный методы определения меди в ферромолибдене (при массовой доле меди от 0,1 до 3,0%).
(Измененная редакция, Изм. N 2).
1. ОБЩИЕ ТРЕБОВАНИЯ
1. ОБЩИЕ ТРЕБОВАНИЯ
1.1. Общие требования к методам анализа - по ГОСТ 28473-90.
1.2. Лабораторная проба должна быть приготовлена в виде тонкого порошка с размером частиц, проходящих через сито с сеткой N 016 по ГОСТ 26201-84.
2. ФОТОМЕТРИЧЕСКИЙ МЕТОД
2.1. Сущность метода
Метод основан на измерении оптической плотности окрашенного в коричневый цвет комплексного соединения меди с диэтилдитиокарбаматом натрия на спектрофотометре при длине волны 453 нм или фотоэлектроколориметре в области светопропускания от 400 до 480 нм. Влияние молибдена устраняют связыванием его в бесцветный комплекс пирофосфорнокислым натрием.
2.2. Аппаратура, реактивы и растворы
Спектрофотометр или фотоэлектроколориметр со всеми принадлежностями.
Кислота серная по ГОСТ 4204-77, разбавленная 1:1.
Кислота азотная по ГОСТ 4461-77, разбавленная 1:1 и 1:3.
Аммиак водный по ГОСТ 3760-79.
Натрия N, N-диэтилдитиокарбамат по ГОСТ 8864-71, раствор с массовой концентрацией 1 г/дм.
Натрий фосфорнокислый пиро по ГОСТ 342-77, раствор с массовой концентрацией 100 г/дм.
Бумага индикаторная конго.
Желатин пищевой по ГОСТ 11293-89, раствор с массовой концентрацией 5 г/дм.
Медь металлическая по ГОСТ 859-78*.
______________
* На территории Российской Федерации действует ГОСТ 859-2001, здесь и далее по тексту. - Примечание изготовителя базы данных.
Стандартные растворы меди.
Раствор А: 0,1 г металлической меди растворяют при нагревании в 10-15 см азотной кислоты (1:1), добавляют 30 см
серной кислоты (1:1) и выпаривают до появления паров серной кислоты. Соли растворяют в 100 см
воды. Раствор переносят в мерную колбу вместимостью 1 дм
, охлаждают, доливают до метки водой и перемешивают.
Массовая концентрация меди в растворе А равна 0,0001 г/см.
Раствор Б: 10 см раствора А помещают в мерную колбу вместимостью 100 см
, доливают водой до метки и перемешивают. Массовая концентрация меди в растворе Б равна 0,00001 г/см
.
(Измененная редакция, Изм. N 1
).
2.3. Проведение анализа
2.3.1. Навеску ферромолибдена массой 0,2 г помещают в стакан вместимостью 250 см, приливают 20 см
азотной кислоты (1:3) и растворяют навеску при умеренном нагревании. После растворения навески приливают 10 см
серной кислоты (1:1) и выпаривают раствор до появления паров серной кислоты. Содержимое стакана охлаждают, обмывают стенки стакана водой и вновь выпаривают до паров серной кислоты. Соли растворяют в 50 см
воды при нагревании. Раствор охлаждают и переносят в мерную колбу вместимостью 100 см
, доливают водой до метки и перемешивают.
В зависимости от содержания меди в анализируемом растворе отбирают аликвотную часть раствора согласно табл.1.
Таблица 1
Массовая доля меди, | Объем аликвотной части раствора, см | Толщина рабочего слоя в кювете, мм |
От 0,1 до 0,4 | 20 | 30 |
Св. 0,4 " 0,5 | 20 | 20 |
" 0,5 " 1,2 | 10 | 20 |
" 1,2 " 3,0 | 5 | 20 |
Аликвотную часть раствора переносят в мерную колбу вместимостью 100 см, приливают 20 см
раствора пирофосфорнокислого натрия, аммиака до нейтральной реакции по бумаге конго и еще в избыток 2 см
. Приливают 5 см
раствора желатина, 4 см
раствора диэтилдитиокарбамата натрия. Раствор в колбе разбавляют водой до метки и перемешивают.
Оптическую плотность раствора измеряют на спектрофотометре при длине волны 453 нм или фотоэлектроколориметре в области светопропускания от 400 до 480 нм в кюветах с рабочим слоем, указанным в табл.1.
В качестве раствора сравнения применяют воду.
Массовую долю меди находят по градуировочному графику с учетом поправки контрольного опыта.
2.3.2. Для построения градуировочного графика в восемь мерных колб из девяти вместимостью по 100 см вводят 2,0; 4,0; 8,0; 12,0; 15,0; 20,0; 25,0; 30,0 см
стандартного раствора Б, что соответствует 0,00002; 0,00004; 0,00008; 0,00012; 0,00015; 0,00020; 0,00025; 0,00030 г меди. В каждую из девяти колб приливают по 20 см
раствора пирофосфорнокислого натрия и далее ведут анализ, как указано в п.2.3.1. Раствор девятой колбы, содержащий все применяемые при построении градуировочного графика реактивы, кроме стандартного раствора, служит для проведения контрольного опыта.
По найденным значениям оптических плотностей и соответствующим им массам меди строят градуировочный график.
(Измененная редакция, Изм. N 2).
2.4. Обработка результатов
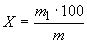
2.4.1. Массовую долю меди () в процентах вычисляют по формуле
,
где - масса меди, найденная по градуировочному графику, г;
- масса навески пробы, соответствующая аликвотной части раствора, г.
2.4.2. Нормы точности и нормативы контроля точности определения массовой доли меди приведены в табл.2.
Таблица 2
Допускаемое расхождение, % | |||||
Массовая доля меди, % | Погрешность | двух средних результатов анализа, выполненных | двух парал- | трех парал- | результатов анализа стандартного образца от аттестованного значения |
От 0,1 до 0,2 включ. | 0,02 | 0,03 | 0,02 | 0,03 | 0,01 |
Св. 0,2 " 0,5 " | 0,04 | 0,05 | 0,04 | 0,05 | 0,02 |
" 0,5 " 1,0 " | 0,05 | 0,06 | 0,05 | 0,06 | 0,03 |
" 1,0 " 2 " | 0,07 | 0,09 | 0,08 | 0,09 | 0,05 |
" 2 " 3 " | 0,11 | 0,14 | 0,12 | 0,14 | 0,07 |
(Измененная редакция, Изм. N 2).
3. АТОМНО-АБСОРБЦИОННЫЙ МЕТОД
3.1. Сущность метода
Метод основан на растворении пробы в азотной кислоте и последующем ее удалении выпариванием с серной кислотой. Измерение атомной абсорбции меди проводят при длине волны 324,75 нм в пламени воздух - ацетилен.
Для сохранения идентичных условий атомизации анализируемых растворов и растворов градуировочного графика в последние вводится железо, а также кислоты в соответствующих количествах.
3.2. Аппаратура, реактивы и растворы
Атомно-абсорбционный спектрофотометр со всеми принадлежностями.
Кислота азотная по ГОСТ 4461-77 и разбавленная 1:1 и 1:3.
Кислота серная по ГОСТ 4204-77 и разбавленная 1:1.
Кислота соляная по ГОСТ 3118-77.
Железо карбонильное, не содержащее медь, и раствор с массовой концентрацией 20 г/дм: 20 г железа растворяют в 60 см
соляной кислоты, осторожно по каплям приливают азотную кислоту до прекращения вспенивания раствора, кипятят раствор до удаления окислов азота, охлаждают и переливают в мерную колбу вместимостью 1 дм
.
Медь металлическая по ГОСТ 859-78.
Стандартный раствор меди: 0,1 г металлической меди растворяют при нагревании в 10-15 см азотной кислоты (1:1), приливают 30 см
серной кислоты (1:1) и выпаривают до появления паров серной кислоты. Соли растворяют в 100 см
воды. Раствор переливают в мерную колбу вместимостью 500 см
, охлаждают, доливают до метки водой и перемешивают. Массовая концентрация меди в растворе равна 0,0002 г/см
.
3.3. Проведение анализа
3.3.1. Навеску ферромолибдена массой 0,2 г помещают в стакан вместимостью 250 см, приливают 20 см
азотной кислоты (1:3) и растворяют навеску при умеренном нагревании. После растворения навески приливают 8 см
серной кислоты (1:1) и выпаривают раствор до появления паров серной кислоты. Соли растворяют в воде, раствор охлаждают и переливают в мерную колбу вместимостью 100 см
. Раствор доливают до метки водой и перемешивают. В мерную колбу вместимостью 100 см
, в зависимости от массовой доли меди, отбирают аликвотную часть раствора, к которому приливают раствор железа и серную кислоту согласно табл.3. Раствор доливают водой до метки и перемешивают. Полученный раствор вводят распылением в пламя горелки и измеряют атомную абсорбцию при длине волны 324,75 нм и строго постоянном давлении воздуха и ацетилена. Одновременно с проведением анализа, в тех же условиях, проводят контрольный опыт, добавляя на каждый процент содержания железа в пробе по 0,002 г железа.
Таблица 3
Массовая доля меди, % | Объем аликвотной части раствора, см | Объем раствора железа, см | Объем разбавленной серной кислоты, см |
От 0,10 до 0,50 | Весь раствор | - | - |
Св. 0,50 " 1,50 | 20 | 3,2 | 6,4 |
" 1,50 " 3,0 | 10 | 3,6 | 7,2 |
3.3.2. Для построения градуировочного графика в пять стаканов из шести вместимостью по 250 см помещают 1,0; 2,0; 3,0; 4,0; 5,0 см
стандартного раствора, что соответствует 0,0002; 0,0004; 0,0006; 0,0008; 0,0010 г меди. Раствор шестого стакана служит для проведения контрольного опыта. В каждый из шести стаканов приливают по 4,0 см
раствора железа и по 8,0 см
серной кислоты (1:1), доливают до метки водой, перемешивают и измеряют атомную абсорбцию меди в растворе, как указано в п.3.3.1. По найденным значениям абсорбции растворов для соответствующих количеств меди, за вычетом значений абсорбции раствора контрольного опыта, строят градуировочный график.
3.4. Обработка результатов
3.4.1. Массовую долю меди () в процентах вычисляют по формуле
,
где - концентрация меди в растворе анализируемой пробы, найденная по градуировочному графику, г/см
;
- общий объем раствора, см
;
- масса навески пробы, соответствующая аликвотной части раствора, г.
3.4.2. Нормы точности и нормативы контроля точности определения массовой доли меди приведены в табл.2.
(Измененная редакция, Изм. N 2).
Электронный текст документа
подготовлен ЗАО "Кодекс" и сверен по:
официальное издание
М.: ИПК Издательство стандартов, 1998
Разместите заказ
сами сделают вам предложение
