ГОСТы сталей. ГОСТ 13151.2-82
ГОСТ 13151.2-82*
Группа В19
ГОСУДАРСТВЕННЫЙ СТАНДАРТ СОЮЗА ССР
ФЕРРОМОЛИБДЕН
Методы определения вольфрама
Ferromolybdenum.
Methods for determination of tungsten
ОКСТУ 0850
Дата введения 1983-01-01
Постановлением Государственного комитета СССР по стандартам от 26 мая 1982 г. N 2119 срок введения установлен с 01.01.83
Ограничение срока действия снято по протоколу Межгосударственного Совета по стандартизации, метрологии и сертификации (ИУС 11-95)
ВЗАМЕН ГОСТ 13151.2-77
* ПЕРЕИЗДАНИЕ (октябрь 1997 г.) с Изменениями N 1, 2, 3, утвержденными в декабре 1983 г., июне 1987 г., декабре 1994 г. (ИУС 3-84, 9-87, 3-95)
Настоящий стандарт устанавливает методы определения вольфрама в ферромолибдене:
фотометрический роданидный (при массовой доле вольфрама от 0,1 до 1,6%);
экстракционно-фотометрический (при массовой доле вольфрама от 0,1 до 1,0%).
(Измененная редакция, Изм. N 3).
1. ОБЩИЕ ТРЕБОВАНИЯ
1. ОБЩИЕ ТРЕБОВАНИЯ
1.1. Общие требования к методу анализа - по ГОСТ 28473-90.
1.2. Лабораторная проба должна быть приготовлена в виде тонкого порошка с размером частиц, проходящих через сито с сеткой N 016 по ГОСТ 26201-84.
2а. ФОТОМЕТРИЧЕСКИЙ МЕТОД
2а.1. Сущность метода
Метод основан на образовании в солянокислой среде окрашенного в зеленовато-желтый цвет комплексного соединения пятивалентного вольфрама с роданистым аммонием в присутствии восстановителя треххлористого титана. Влияние молибдена устраняют отделением его сернистым натрием. Оптическую плотность раствора измеряют на спектрофотометре при длине волны 400 нм или фотоэлектроколориметре в области светопропускания от 350 до 450 нм.
(Введен дополнительно, Изм. N 1).
2. АППАРАТУРА, РЕАКТИВЫ И РАСТВОРЫ
Спектрофотометр или фотоэлектроколориметр со всеми принадлежностями.
Кислота серная по ГОСТ 4204-77, разбавленная 1:1.
Кислота соляная по ГОСТ 3118-77, разбавленная 1:1 и 2:1.
Кислота винная по ГОСТ 5817-77.
Натрия перекись.
Натрий сернистый (натрий сульфид) по ГОСТ 2053-77, раствор с массовой концентрацией 300 г/дм.
Аммоний роданистый, раствор с массовой концентрацией 250 г/дм.
Титан треххлористый раствор с массовой концентрацией 150 г/дм.
Титана треххлористого солянокислый раствор; 10 см раствора треххлористого титана разбавляют до объема 100 см
соляной кислотой (1:1), перемешивают.
Натрия гидроокись по ГОСТ 4328-77, раствор с массовой концентрацией 5 г/дм.
Натрий молибденовокислый двуводный по ГОСТ 10931-74 и раствор: 12,60 г молибденовокислого натрия растворяют в 500 см раствора гидроокиси натрия. Раствор переносят в мерную колбу вместимостью 1 дм
, разбавляют водой до метки и перемешивают.
Массовая концентрация молибдена в растворе равна 0,005 г/см.
Натрий вольфрамовокислый по ГОСТ 18289-78.
Стандартный раствор вольфрамовокислого натрия: 0,7178 г вольфрамовокислого натрия растворяют в 100 см раствора гидроокиси натрия. Полученный раствор переносят в мерную колбу вместимостью 1 дм
, разбавляют водой до метки и перемешивают.
Массовая концентрация вольфрама в растворе равна 0,0004 г/см. Раствор хранят в сосуде из полиэтилена.
(Измененная редакция, Изм. N 2).
3. ПРОВЕДЕНИЕ АНАЛИЗА
3.1. Навеску ферромолибдена массой 0,5 г помещают в железный тигель, содержащий 4 г перекиси натрия. Перемешивают и прибавляют сверху еще 2 г перекиси натрия. Тигель с содержимым нагревают на горячей плите, затем помещают в муфельную печь, нагретую до температуры (750±20) °С. Плав в жидком состоянии перемешивают вращательным движением тигля и выдерживают при той же температуре в течение 3-4 мин. По окончании сплавления тигель охлаждают, помещают в стакан вместимостью 300-400 см, прибавляют 150 см
холодной воды и выщелачивают при нагревании, накрыв стакан часовым стеклом. Раствор кипятят до полного разрушения перекиси натрия, тигель вынимают и ополаскивают водой. Охлажденный раствор с осадком переносят в мерную колбу вместимостью 250 см
, разбавляют водой до метки и перемешивают. Осадку дают отстояться, раствор фильтруют через сухой фильтр в сухую колбу, отбрасывая первые порции фильтрата. От полученного раствора отбирают аликвотную часть 100 см
, помещают в коническую колбу вместимостью 250 см
, прибавляют 2 г винной кислоты, 25 см
серной кислоты (1:1), 60 см
воды, нагревают до кипения и осаждают молибден в виде сульфида 50 см
раствора сернистого натрия, прибавляя последний небольшими порциями при перемешивании. Раствор нагревают до кипения и кипятят в течение 20 мин.
Осадок сульфида молибдена отфильтровывают на вату с добавлением небольшого количества фильтробумажной массы и собирают фильтрат в коническую колбу вместимостью 500 см.
Осадок на фильтре промывают 4-5 раз холодной водой и отбрасывают, фильтрат проверяют на полноту осаждения молибдена. Для этого к полученному фильтрату прибавляют 1 г винной кислоты, нагревают раствор до кипения, прибавляют 15 см раствора сернистого натрия и кипятят в течение 10-15 мин. Раствор с осадком охлаждают, переносят в мерную колбу вместимостью 250 см
, разбавляют водой до метки, перемешивают и фильтруют.
Аликвотную часть раствора 20 см помещают в мерную колбу вместимостью 50 см
, прибавляют 2,5 см
раствора роданистого аммония, перемешивают, прибавляют 25 см
соляной кислоты (2:1) и вновь перемешивают, прибавляют по каплям солянокислый раствор треххлористого титана до появления желтовато-зеленой окраски и после этого добавляют еще 1-2 капли того же раствора. Раствор в мерной колбе разбавляют соляной кислотой (2:1) до метки и перемешивают.
Через 10 мин измеряют оптическую плотность на спектрофотометре при длине волны 400 нм или фотоэлектроколориметре в области светопропускания от 350 до 450 нм. В качестве раствора сравнения применяют воду.
Для учета влияния молибдена на определение вольфрама в контрольный опыт вводят молибден: в железный тигель помещают 0,75 г молибденовокислого натрия, 6 г перекиси натрия, перемешивают, сплавляют при температуре (750±20) °С и проводят анализ как указано выше. Массу вольфрама находят по градуировочному графику с учетом поправки контрольно
го опыта.
3.2. Для построения градуировочного графика при определении вольфрама от 0,1 до 0,5% в шесть конических колб вместимостью по 250 см помещают по 80 см
воды, 25 см
раствора молибденовокислого натрия. В пять колб последовательно приливают 0,5; 1,0; 1,5; 2,0; 2,5 см
стандартного раствора вольфрама, что соответствует 0,0002; 0,0004; 0,0006; 0,0008; 0,0010 г вольфрама.
Во все шесть колб прибавляют по 2 г винной кислоты, 25 см серной кислоты (1:1), 60 см
воды, нагревают до кипения и осаждают молибден 50 см
раствора сернистого натрия, прибавляя его небольшими порциями при перемешивании. Раствор нагревают до кипения и кипятят в течение 20 мин.
Далее анализ проводят, как указано в п.3.1.
Раствор шестой колбы, содержащий все применяемые при построении градуировочного графика реактивы, кроме стандартного раствора, служит для проведения контрольного опыта.
В качестве раствора сравнения применяют воду.
По найденным значениям оптических плотностей и соответствующим количествам вольфрама строят градуировочный график
.
3.3. Для построения градуировочного графика при определении вольфрама свыше 0,5 до 1,6% в одиннадцать колб вместимостью по 250 см помещают по 80 см
воды, 25 см
раствора молибденовокислого натрия. В десять колб последовательно приливают 2,0; 2,5; 3,0; 3,5; 4,0; 4,5; 5,0; 6,0; 7,0; 8,0 см
стандартного раствора вольфрама, что соответствует 0,0008; 0,0010; 0,0012; 0,0014; 0,0016; 0,0018; 0,0020; 0,0024; 0,0028; 0,0032 г вольфрама. Во все одиннадцать колб прибавляют по 2 г винной кислоты, 25 см
серной кислоты (1:1), 60 см
воды, нагревают до кипения и осаждают молибден 50 см
раствора сернистого натрия, прибавляя его небольшими порциями при перемешивании. Раствор нагревают до кипения и кипятят в течение 20 мин.
Далее анализ проводят, как указано в п.3.1.
Раствор одиннадцатой колбы, содержащий все применяемые при построении градуировочного графика реактивы, кроме стандартного раствора, служит для проведения контрольного опыта.
Градуировочный график строят по найденным значениям оптических плотностей и соответствующим им количествам вольфрама.
4. ОБРАБОТКА РЕЗУЛЬТАТОВ
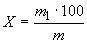
4.1. Массовую долю вольфрама () в процентах вычисляют по формуле
,
где - масса вольфрама, найденная по градуировочному графику, г;
- масса навески, соответствующая аликвотной части раствора, г.
4.2. Нормы точности и нормативы контроля точности определения массовой доли вольфрама приведены в табл.1.
Таблица 1
Допускаемое расхождение, % | |||||
Массовая доля вольфрама, % | Погрешность результатов анализа | двух средних результатов анализа, выполненных в различных условиях | двух параллельных определений | трех | результатов анализа стандартного образца от аттестованного значения |
От 0,1 до 0,2 включ. | 0,03 | 0,04 | 0,03 | 0,04 | 0,02 |
Св. 0,2 " 0,5 " | 0,05 | 0,06 | 0,05 | 0,06 | 0,03 |
" 0,5 " 1,0 " | 0,07 | 0,08 | 0,07 | 0,08 | 0,04 |
" 1,0 " 1,6 " | 0,09 | 0,12 | 0,10 | 0,12 | 0,06 |
(Измененная редакция, Изм. N 3).
5. ЭКСТРАКЦИОННО-ФОТОМЕТРИЧЕСКИЙ МЕТОД
5.1. Сущность метода
Экстракционно-фотометрический метод основан на образовании в солянокислой среде окрашенного в зеленовато-желтый цвет роданистого комплекса пятивалентного вольфрама с триметилцетиламмонием (или с цетилпиридинием).
Для устранения влияния железа и молибдена, а также для восстановления вольфрама, в раствор прибавляют треххлористый титан и хлористое олово.
Оптическую плотность раствора измеряют на спектрофотометре при длине волны 400 нм или фотоэлектроколориметре в области светопропускания от 350 до 450 нм.
5.2. Аппаратура, реактивы и растворы
Спектрофотометр или фотоэлектроколориметр со всеми принадлежностями.
Кислота серная по ГОСТ 4204-77, разбавленная 1:1.
Кислота соляная по ГОСТ 3118-77, разбавленная 1:1.
Кислота азотная по ГОСТ 4461-77.
Кислота ортофосфорная по ГОСТ 6552-80.
Олово двухлористое 2-водное раствор с массовой концентрацией 100 г/дм:
10 г хлористого олова растворяют в 100 см соляной кислоты при слабом нагревании.
Титан треххлористый.
Калий роданистый по ГОСТ 4139-75, раствор с массовой концентрацией 200 г/дм.
Натрия гидроокись по ГОСТ 4328-77, раствор с массовой концентрацией 100 г/дм.
Натрий вольфрамовокислый по ГОСТ 18289-78.
Стандартный раствор вольфрамовокислого натрия: 0,4485 г вольфрамовокислого натрия растворяют в 50 см воды, прибавляют 25 см
раствора гидроокиси натрия, переносят в мерную колбу вместимостью 500 см
, доливают до метки водой, перемешивают.
Массовая концентрация вольфрама в растворе равна 0,0005 г/см. Раствор хранят в сосуде из полиэтилена.
Хлороформ по ГОСТ 20015-88.
Триметилцетиламмоний бромистый с молярной концентрацией раствора 0,01 моль/дм: 0,365 г триметилцетиламмония растворяют в 100 см
воды при слабом нагревании или N-цетилпиридиний хлористый с молярной концентрацией раствора 0,01 моль/дм
: 0,358 г цетилпиридиния растворяют в 100 см
воды без нагревания.
Гидрохинон (парадиоксибензол) по ГОСТ 19627-74, раствор с массовой концентрацией 0,65 г/дм в хлороформе: 0,65 г гидрохинона растворяют при перемешивании в 80 см
этилового спирта, прибавляют 920 см
хлороформа и перемешивают.
Спирт этиловый ректификованный технический по ГОСТ 18300-87.
(Измененная редакция, Из
м. N 2).
5.3. Проведение анализа
5.3.1. Навеску ферромолибдена массой 0,50 г помещают в коническую колбу вместимостью 250 см, прибавляют 20 см
соляной кислоты, 1 см
азотной кислоты и нагревают до полного растворения навески. Прибавляют 10 см
серной кислоты, разбавленной 1:1, 5 см
ортофосфорной кислоты и дважды выпаривают до паров серной кислоты. Раствор охлаждают, переносят в мерную колбу вместимостью 250 см
, разбавляют до метки водой и перемешивают. Раствор фильтруют через сухой фильтр средней плотности, отбрасывая первые порции фильтрата.
Одновременно с проведением анализа, в тех же условиях, проводят контрольный опыт.
5.3.2. В зависимости от массовой доли вольфрама отбирают равные аликвотные части анализируемой пробы и контрольного опыта, указанные в табл.2.
Таблица 2
Массовая доля вольфрама, % | Объем аликвотной части раствора, см |
0,5 и менее | 10 |
Св. 0,5 до 1,0 | 5 |
Отобранные аликвотные части раствора помещают в стакан вместимостью 100 см, прибавляют 20 см
соляной кислоты, 15 см
раствора хлористого олова и 1,0 см
раствора треххлористого титана. Раствор кипятят в течение 5 мин, охлаждают и переносят в делительную воронку вместимостью 100-200 см
, смывая стенки стакана 10 см
разбавленной 1:1 соляной кислоты. К раствору в делительной воронке прибавляют 1 см
раствора триметилцетиламмония бромистого (или цетилпиридиния хлористого) и 2 см
раствора роданистого калия.
Экстрагируют ионный ассоциат в течение 1 мин, прибавляя точно 25 см хлороформа, содержащего гидрохинон. Экстракт фильтруют через слой ваты в кювету и измеряют оптическую плотность экстракта на спектрофотометре при длине волны 400 нм или фотоэлектроколориметре в области светопропускания от 350 до 450 нм, используя в качестве раствора сравнения хлороформ.
Оптическую плотность контрольного опыта вычитают из оптической плотности анализируемого раство
ра.
5.3.3. Для построения градуировочного графика в пять из шести конических колб вместимостью по 250 см последовательно приливают 1,0; 2,0; 3,0; 4,0; 5,0 см
стандартного раствора вольфрамовокислого натрия.
Во все шесть колб приливают по 20 см соляной кислоты, по 1 см
азотной кислоты, по 10 см
разбавленной 1:1 серной кислоты, по 5 см
ортофосфорной кислоты и дважды выпаривают до паров серной кислоты.
Растворы охлаждают, переносят в мерные колбы вместимостью по 250 см, разбавляют до метки водой, перемешивают и фильтруют.
Аликвотные части раствора по 10 см помещают в стаканы, прибавляют по 20 см
соляной кислоты, по 15 см
раствора хлористого олова и далее поступают, как указано в п.5.3.2.
Раствор шестой колбы, содержащий все применяемые при построении градуировочного графика реактивы, кроме стандартного раствора, служит для проведения контрольного опыта. Оптическую плотность контрольного опыта вычитают из оптической плотности градуировочного графика.
В качестве раствора сравнения применяют хлороформ, содержащий гидрохинон.
Градуировочный график строят по найденным значениям оптических плотностей и соответствующим им количествам вольфр
ама.
5.4. Обработка результатов
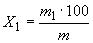
5.4.1. Массовую долю вольфрама () в процентах вычисляют по формуле
,
где - масса вольфрама, найденная по градуировочному графику, г;
- масса навески, соответствующая аликвотной части раствора, г.
5.4.2. Нормы точности и нормативы контроля точности определения массовой доли вольфрама приведены в табл.1.
(Измененная редакция, Изм. N 3).
Электронный текст документа
подготовлен ЗАО "Кодекс" и сверен по:
официальное издание
М.: ИПК Издательство стандартов, 1998
Разместите заказ
сами сделают вам предложение
