ГОСТы сталей. ГОСТ 13020.6-85
ГОСТ 13020.6-85
(СТ СЭВ 4513-84)
Группа В19
ГОСУДАРСТВЕННЫЙ СТАНДАРТ СОЮЗА ССР
ХРОМ МЕТАЛЛИЧЕСКИЙ
Методы определения общего алюминия
Metallic chrome.
Methods for determination of total aluminium
ОКСТУ 0809
Срок действия с 01.07.86
до 01.07.96*
______________________________
* Ограничение срока действия снято
по протоколу N 5-94 Межгосударственного Совета
по стандартизации, метрологии и сертификации.
(ИУС N 11-12, 1994 год). - Примечание "КОДЕКС".
ВВЕДЕН В ДЕЙСТВИЕ постановлением Государственного комитета СССР по стандартам от 20 мая 1985 г. N 1414
ВЗАМЕН ГОСТ 13020.6-75
Настоящий стандарт устанавливает комплексонометрический и атомно-абсорбционный методы определения общего алюминия в металлическом хроме (при массовой доле алюминия от 0,1 до 1,8%).
Стандарт полностью соответствует СТ СЭВ 4513-84.
1. ОБЩИЕ ТРЕБОВАНИЯ
1. ОБЩИЕ ТРЕБОВАНИЯ
1.1. Общие требования к методам анализа - по ГОСТ 13020.0-75.
1.2. Лабораторная проба должна быть приготовлена в виде стружки толщиной не более 0,5 мм по ГОСТ 23916-79.
2. КОМПЛЕКСОНОМЕТРИЧЕСКИЙ МЕТОД
2.1. Сущность метода
Метод основан на образовании комплексного соединения алюминия с трилоном Б с последующим разрушением этого соединения фтористым натрием. Эквивалентное количество выделившегося трилона Б титруют раствором соли цинка в присутствии индикатора ксиленолового оранжевого. Мешающие определению алюминия элементы отделяют гидроксидом натрия.
2.2. Реактивы и растворы
Кислота соляная по ГОСТ 3118-77 и разбавленная 1:1, 1:10 и 1:100.
Кислота азотная по ГОСТ 4461-77.
Кислота хлорная, 42 или 57%-ный раствор.
Кислота серная по ГОСТ 4204-77, разбавленная 1:1.
Кислота фтористоводородная по ГОСТ 10484-78.
Кислота борная по ГОСТ 9656-75.
Натрий пиросернокислый по ГОСТ 18344-78.
Водорода перекись по ГОСТ 177-77.
Железо треххлористое по ГОСТ 4147-74, 5%-ный раствор.
Натрия гидроокись по ГОСТ 4328-77, 25%-ный раствор. Раствор хранят в полиэтиленовой посуде.
Натрий фтористый по ГОСТ 4463-76, 4%-ный раствор. Хранят в полиэтиленовой посуде.
Аммоний уксуснокислый по ГОСТ 3117-78.
Кислота уксусная по ГОСТ 61-75.
Буферный раствор pH 5,5-5,8: 500 г уксуснокислого аммония растворяют в 1 дм воды, добавляют 30 см
уксусной кислоты и перемешивают.
Фенолфталеин - по ГОСТ 5850-72, 0,1%-ный спиртовой раствор.
Натрий хлористый.
Ксиленоловый оранжевый, индикаторная смесь: 0,1 г ксиленолового оранжевого тщательно растирают с 10 г хлористого натрия.
Аммиак водный по ГОСТ 3760-79.
Соль динатриевая этилендиамин-N, N, N', N'-тетрауксусной кислоты 2-водная (трилон Б) по ГОСТ 10652-73, раствор молярной концентрацией 0,0125 моль/дм: 4,6530 г трилона Б растворяют в 300 см
воды в присутствии нескольких капель аммиака, раствор фильтруют в мерную колбу вместимостью 1 дм
, фильтр промывают 2-3 раза водой, доливают до метки водой и перемешивают. Раствор хранят в полиэтиленовой посуде.
Алюминий металлический.
Стандартный раствор алюминия: 1,0000 г алюминия растворяют в 50 см соляной кислоты (1:1). Затем раствор охлаждают, приливают 200 см
воды, растворяют соли и переносят в мерную колбу вместимостью 1 дм
, после чего доливают до метки водой и перемешивают.
Массовая концентрация алюминия в растворе равна 0,001 г/см.
Цинк металлический.
Раствор цинка молярной концентрацией 0,0125 моль/дм: 0,8175 г цинка растворяют в 20 см
соляной кислоты (1:1), выпаривают раствор до влажных солей, приливают 100 см
воды и растворяют соли при нагревании. Охлаждают, добавляют 25 см
буферного раствора, переливают в мерную колбу вместимостью 1 дм
, доливают до метки водой и перемешивают.
Массовую концентрацию раствора цинка по алюминию, выраженную в граммах на кубический сантиметр, определяют по стандартному раствору алюминия, проведенному через все стадии анализа. Для этого в коническую колбу вместимостью 250 см помещают стандартный раствор алюминия в количестве, соответствующем содержанию алюминия в анализируемой пробе, приливают 50 см
соляной кислоты (1:1), затем раствор окисляют несколькими каплями азотной кислоты, добавляют 50 см
хлорной кислоты и выпаривают до появления паров хлорной кислоты, охлаждают. Соли растворяют в 100 см
воды, прибавляют 2 г борной кислоты, 10 см
раствора треххлористого железа.
Раствор предварительно нейтрализуют раствором гидроокиси натрия и далее поступают, как указано в п.2.3.
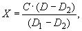
Массовую концентрацию раствора цинка по алюминию (), выраженную в граммах на кубический сантиметр, вычисляют по формуле
![]()
где - масса алюминия, соответствующая аликвотной части раствора, г;
- объем раствора цинка, израсходованный при втором титровании, см
;
- объем раствора цинка, израсходованный на титрование раствора контрольного опыта, см
.
2.3. Проведение анализа
Навеску пробы массой 1,0 г при массовой доле алюминия до 0,5% и 0,5 г при массовой доле алюминия свыше 0,5% помещают в коническую колбу вместимостью 250 см и растворяют при нагревании в 50 см
соляной кислоты (1:1). Затем раствор окисляют несколькими каплями азотной кислоты, добавляют 50 см
хлорной кислоты и выпаривают до появления паров хлорной кислоты и окисления хрома.
Для удаления основной массы хрома прибавляют по каплям соляную кислоту и отгоняют хром в виде красно-бурых паров хлористого хромила. Выпаривание до паров хлорной кислоты и отгонку хрома соляной кислотой повторяют несколько раз до прекращения выделения паров хлористого хромила.
После охлаждения к раствору приливают 100 см воды, нагревают до растворения солей и фильтруют через плотный фильтр, собирая фильтрат и промывную жидкость в стакан вместимостью 400-500 см
. Фильтр промывают 10-12 раз горячей соляной кислотой (1:100) и 2 раза водой. Затем фильтр с остатком помещают в платиновый тигель, озоляют и прокаливают при температуре 650 °С.
Охладив тигель, остаток смачивают 1-2 каплями воды, прибавляют 2-3 капли раствора серной кислоты, 4-5 см раствора фтористоводородной кислоты и выпаривают досуха.
Остаток в титле прокаливают при 650 °С и после охлаждения в течение 5 мин сплавляют с 2-3 г пиросернокислого натрия при температуре 700 °С.
Плав растворяют в 50 см соляной кислоты (1:10) и раствор присоединяют к основному фильтрату.
К объединенному раствору добавляют 2-3 капли раствора перекиси водорода, 2 г борной кислоты, 10 см раствора треххлористого железа и выпаривают примерно до 100 см
.
Раствор предварительно нейтрализуют раствором гидроокиси натрия до начала выпадения гидроокиси железа, после чего раствор тонкой струйкой, перемешивая, переливают в кварцевый или пластмассовый (тефлоновый или фторпластовый) стакан вместимостью 400-500 см, где находится 40 см
горячего раствора гидроокиси натрия, кипятят 3-4 мин и охлаждают.
Раствор с осадком переливают в мерную колбу вместимостью 250 см, разбавляют водой до метки и перемешивают. Раствор фильтруют через сухой фильтр в сухую колбу и отбрасывают первые порции фильтрата.
Аликвотную часть 200 см отфильтрованного анализируемого раствора помещают в коническую колбу вместимостью 500 см
и приливают из бюретки 30-40 см
раствора трилона Б.
Избыток раствора гидроокиси натрия нейтрализуют соляной кислотой (1:1) в присутствии 2-3 капель раствора фенолфталеина до исчезновения окраски раствора, затем приливают 20 см буферного раствора и кипятят 2-3 мин.
Значение рН раствора должно быть 5,5-5,8.
Раствор охлаждают и избыток трилона Б оттитровывают раствором цинка в присутствии 50-100 мг индикаторной смеси до перехода желтой окраски раствора в красно-фиолетовую. Затем для связывания алюминия во фторид алюминия приливают 30 см раствора фтористого натрия, кипятят 2-3 мин, охлаждают и выделившийся трилон Б титруют раствором цинка в присутствии дополнительно прибавленного индикатора в количестве приблизите
льно 50 мг.
2.4. Обработка результатов
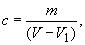
2.4.1. Массовую долю алюминия () в процентах вычисляют по формуле
![]()
где - объем раствора цинка, израсходованный при втором титровании, см
;
- объем раствора цинка, израсходованный на титрование раствора контрольного опыта, см
;
- массовая концентрация раствора цинка, выраженная в г/см
алюминия;
- масса навески, соответствующая аликвотной части раствора пробы, г
.
2.4.2. Абсолютные допускаемые расхождения результатов параллельных определений не должны превышать значений, указанных в табл.1.
Таблица 1
Массовая доля алюминия, % | Абсолютные допускаемые расхождения, % |
От 0,10 до 0,20 включ. | 0,03 |
Св. 0,20 " 0,50 " | 0,04 |
" 0,5 " 1,0 " | 0,06 |
" 1,0 " 1,8 " | 0,08 |
3. АТОМНО-АБСОРБЦИОННЫЙ МЕТОД
3.1. Сущность метода
Метод основан на распылении раствора в пламя закись азота - ацетилен и измерении атомной абсорбции алюминия при длине волны 309,3 нм с предварительным растворением навески пробы металлического хрома в соляной и хлорной кислотах.
3.2. Аппаратура, реактивы и растворы
Атомно-абсорбционный спектрофотометр.
Баллон с ацетиленом.
Баллон с закисью азота.
Кислота фтористоводородная по ГОСТ 10484-78.
Кислота серная по ГОСТ 4204-77, разбавленная 1:1.
Кислота азотная по ГОСТ 4461-77.
Кислота хлорная, 42 или 57%-ный раствор.
Кислота соляная по ГОСТ 3118-77 и разбавленная 1:1, 1:100.
Смесь для сплавления: натрий углекислый безводный и натрий тетраборнокислый безводный в соотношении 2:1.
Железо карбонильное.
Железо (III) хлористое, раствор: 1,5 г железа помещают в коническую колбу вместимостью 250 см и растворяют в 50 см
соляной кислоты, прикрыв колбу часовым стеклом. После растворения навески раствор окисляют азотной кислотой, приливая ее по каплям до прекращения вспенивания, и нагревают до удаления окислов азота. Раствор охлаждают, переносят в мерную колбу вместимостью 1 дм
, доливают водой до метки и перемешивают.
Раствор фона: 0,1100 г железа растворяют в 70 см соляной кислоты в конической колбе вместимостью 500 см
при слабом нагревании, прикрыв колбу часовым стеклом.
После растворения навески раствор окисляют азотной кислотой, приливая ее по каплям до прекращения вспенивания раствора, и нагревают до удаления окислов азота, а затем приливают 200 см теплой воды. Прибавляют 14,5 г смеси для сплавления и после растворения солей полученный раствор переносят в мерную колбу вместимостью 500 см
, доливают водой до метки и перемешивают.
Никель хлористый, 0,2%-ный раствор или ртуть металлическая.
Алюминий металлический.
Стандартный раствор алюминия: 0,2000 г алюминия растворяют в 30 см соляной кислоты (1:1) в присутствии 1 см
раствора хлористого никеля или одной капли ртути при отсутствии хлористого никеля, переносят в мерную колбу вместимостью 1 дм
, охлаждают, доливают до метки водой и перемешивают.
Массовая концентрация алюминия в растворе равна 0,0002 г
/см.
3.3. Проведение анализа
3.3.1. Навеску пробы массой 0,5 г помещают в стакан вместимостью 400 см и растворяют при нагревании в 30 см
соляной кислоты. Затем прибавляют по каплям азотную кислоту до прекращения вспенивания раствора.
Раствор охлаждают, прибавляют 30 см хлорной кислоты, стакан накрывают часовым стеклом и нагревают до появления паров хлорной кислоты и образования солей шестивалентного хрома красновато-оранжевого цвета.
Для удаления основной массы хрома прибавляют по каплям соляную кислоту и отгоняют хром в виде красно-бурых паров хлористого хромила. Выпаривание до выделения паров хлорной кислоты и отгонку хрома соляной кислотой повторяют несколько раз до прекращения выделения паров хлористого хромила. Раствор выпаривают до влажных солей, содержимое стакана охлаждают, добавляют 10 см соляной кислоты (1:1), 40 см
воды и растворяют соли при нагревании.
Остаток отфильтровывают на плотный фильтр в присутствии небольшого количества фильтробумажной массы, промывают 6-8 раз горячей соляной кислотой (1:100) и в конце 2-3 раза горячей водой. Фильтрат сохраняют.
Фильтр с остатком помещают в платиновый тигель, озоляют и прокаливают при температуре 600-700 °С. Охладив тигель, остаток смачивают 1-2 каплями воды, прибавляют 3-4 капли раствора серной кислоты, 4-5 см раствора фтористоводородной кислоты, выпаривают досуха, затем прокаливают при температуре 600-700 °С, прибавляют 1 г смеси для сплавления и сплавляют при температуре 800-900 °С в течение 10-15 мин. Плав выщелачивают в кислотном фильтрате при слабом нагревании. Затем тигель вынимают из стакана, тщательно обмывают водой, собирая промывную жидкость в тот же стакан, и выпаривают раствор до объема 30-35 см
. Раствор охлаждают, переносят в мерную колбу вместимостью 50 см
, доливают водой до метки и перемешивают.
Таблица 2
Массовая доля алюминия, % | Объем аликвотной части раствора пробы, см | Масса навески, соответствующая аликвотной части раствора, г | Объем раствора фона, см |
От 0,1 до 0,4 включ. | Весь раствор | 0,5 | - |
Св. 0,4 " 0,8 " | 25 | 0,25 | 17,5 |
" 0,8 " 1,8 " | 15 | 0,15 | 24,0 |
При массовой доле алюминия свыше 0,4% в мерную колбу вместимостью 50 см отбирают аликвотную часть раствора пробы и раствор фона согласно табл.2, доливают до метки водой и перемешивают.
3.3.2. Раствор контрольного опыта готовят следующим образом: 5 см раствора хлористого железа (III) помещают в стакан вместимостью 400 см
, приливают 30 см
соляной кислоты и далее анализ ведут, как указано в п.3.3.1.
3.3.3. Построение градуировочного графика
В пять из шести мерных колб вместимостью по 50 см наливают 2,5; 5,0; 7,5; 10,0 и 15,0 см
стандартного раствора алюминия, что соответствует 0,0005; 0,001; 0,0015; 0,002 и 0,003 г алюминия.
Во все шесть колб добавляют по 35 см раствора фона, доливают до метки водой и перемешивают.
3.3.4. Атомную абсорбцию алюминия измеряют параллельно в растворе пробы, контрольного опыта, в растворах для построения градуировочного графика и растворе стандартного образца при длине волны 309,3 нм в пламени закиси азота - ацетилена.
Градуировочный график строят по результатам, полученным после вычитания значения абсорбции раствора, не содержащего стандартный раствор алюминия, из значений абсорбции растворов, содержащих стандартный раствор, и соответствующего им содержания алюминия.
После вычитания значения абсорбции раствора контрольного опыта из значения атомной абсорбции растворов пробы находят концентрацию алюминия в растворе пробы по градуировочному графику или методом сравнения по стандартному образцу металлического хрома, близкому по составу к анализируемой пробе и проведенному через весь ход анализа.
3.4. Обработка результатов
3.4.1. Массовую долю алюминия () в процентах, определенную методом градуировочного графика, вычисляют по формуле
![]()
где - концентрация алюминия в растворе пробы, найденная по градуировочному графику, г/см
;
- объем раствора пробы или его аликвотной части, см
;
- масса навески пробы или масса, соответствующая аликвотной части раствора пробы, г.
3.4.2. Массовую долю алюминия () в процентах, определенную методом сравнения, вычисляют по формуле
![]()
где - массовая доля алюминия в стандартном образце, %;
- оптическая плотность анализируемого раствора металлического хрома;
- оптическая плотность раствора стандартного образца;
- оптическая плотность раствора контрольного опыта.
3.4.3. Абсолютные допускаемые расхождения результатов параллельных определений не должны превышать значений, указанных в табл.1.
Текст документа сверен по:
официальное издание
Хром металлический.
Методы химического и физико-химического анализа:
Сб. ГОСТов. - М.: Издательство стандартов, 1985
Разместите заказ
сами сделают вам предложение
