ГОСТы сталей. ГОСТ 13020.5-85
ГОСТ 13020.5-85
(СТ СЭВ 4505-84)
Группа В19
ГОСУДАРСТВЕННЫЙ СТАНДАРТ СОЮЗА ССР
ХРОМ МЕТАЛЛИЧЕСКИЙ
Методы определения кремния
Metallic chrome.
Methods for determination of silicon
ОКСТУ 0809
Срок действия с 01.07.86
до 01.07.96*
______________________________
* Ограничение срока действия снято
по протоколу N 5-94 Межгосударственного Совета
по стандартизации, метрологии и сертификации.
(ИУС N 11-12, 1994 год). - Примечание "КОДЕКС".
ВВЕДЕН В ДЕЙСТВИЕ постановлением Государственного комитета СССР по стандартам от 20 мая 1985 г. N 1410
ВЗАМЕН ГОСТ 13020.5-75
Настоящий стандарт устанавливает фотометрический (при массовой доле кремния от 0,1 до 0,4%) и гравиметрический хлорно-кислотный (при массовой доле кремния от 0,4 до 1,0%) методы определения кремния в металлическом хроме.
Стандарт полностью соответствует СТ СЭВ 4505-84.
1. ОБЩИЕ ТРЕБОВАНИЯ
1. ОБЩИЕ ТРЕБОВАНИЯ
1.1. Общие требования к методам анализа - по ГОСТ 13020.0-75.
1.2. Лабораторная проба должна быть приготовлена в виде стружки толщиной не более 0,5 мм по ГОСТ 23916-79.
2. ФОТОМЕТРИЧЕСКИЙ МЕТОД
2.1. Сущность метода
Метод основан на образовании желтой кремнемолибденовой гетерополикислоты в солянокислом растворе, восстановлении этого соединения аскорбиновой кислотой до кремнемолибденовой сини и измерении оптической плотности окрашенного раствора на спектрофотометре при длине волны 810 нм или фотоэлектроколориметре в области светопропускания от 630 до 900 нм.
2.2. Аппаратура, реактивы и растворы
Спектрофотометр или фотоэлектроколориметр.
Кислота соляная по ГОСТ 3118-77, разбавленная 1:3.
Кислота азотная по ГОСТ 4461-77.
Кислота серная по ГОСТ 4204-77, разбавленная 4:5.
Кислота щавелевая по ГОСТ 22180-76, 8%-ный раствор. Хранят в посуде из полиэтилена.
Кислота аскорбиновая, 2%-ный раствор; готовят перед применением.
Аммоний молибденовокислый по ГОСТ 3765-78, 5%-ный раствор, свежеприготовленный. Хранят в посуде из полиэтилена. Натрий углекислый по ГОСТ 83-79.
2.3. Проведение анализа
Навеску пробы массой 0,1 г помещают в стакан вместимостью 100 см, приливают 10 см
соляной кислоты (1:3) и нагревают в течение 3-5 мин, не допуская кипения раствора. Приливают 2-3 капли азотной кислоты и продолжают нагревание до полного растворения навески, затем приливают 20 см
воды. Раствор фильтруют через быстрофильтрующий фильтр в мерную колбу вместимостью 100 см
и промывают остаток на фильтре 3-4 раза небольшими порциями горячей воды. Фильтр с остатком помещают в платиновый тигель, высушивают и озоляют. Остаток прокаливают при 800-900 °С, а затем сплавляют с 0,5 г углекислого натрия при 950 °С в течение 20-30 мин.
Тигель охлаждают и помещают в стакан вместимостью 100 см. В тигель осторожно приливают 3 см
раствора соляной кислоты (1:3) и плав выщелачивают при слабом нагревании.
Полученный раствор присоединяют к основному фильтрату и доливают до метки водой.
В две мерные колбы вместимостью по 100 см помещают по 20 см
анализируемого раствора, по 40-50 см
воды и в одну из них добавляют 10 см
раствора молибденовокислого аммония.
Раствор, в который не добавляли молибденовокислый аммоний, используют в качестве раствора сравнения. Возможное появление осадка или легкой опалесценции при добавлении молибденовокислого аммония свидетельствует о pH 1,3-1,5, необходимом для образования кремнемолибденовокислого комплекса.
Через 15 мин после добавления раствора молибденовокислого аммония при постоянном перемешивании в обе колбы приливают по 5 см серной кислоты (4:5), по 5 см
раствора щавелевой кислоты и по 5 см
раствора аскорбиновой кислоты. Затем раствор доливают водой до метки и перемешивают.
Оптическую плотность растворов измеряют через 30 мин на спектрофотометре при длине волны 810 нм или фотоэлектроколориметре в области светопропускания от 630 до 900 нм.
Массу кремния находят методом сравнения со стандартными образцами металлического хрома, близкими по составу к анализируемому металлическому хрому и проведенными через все стадии а
нализа.
2.4. Обработка результатов
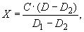
2.4.1. Массовую долю кремния () в процентах вычисляют по формуле
![]()
где - массовая доля кремния в стандартном образце, %;
- оптическая плотность анализируемого раствора металлического хрома;
- оптическая плотность раствора стандартного образца;
- оптическая плотность раствора контрольного опыта.
2.4.2. Абсолютные допускаемые расхождения результатов параллельных определений не должны превышать значений, указанных в таблице.
Массовая доля кремния, % | Абсолютные допускаемые расхождения, % |
От 0,10 до 0,20 включ. | 0,025 |
Св. 0,20 " 0,50 " | 0,04 |
" 0,5 " 1,0 " | 0,06 |
3. ГРАВИМЕТРИЧЕСКИЙ МЕТОД
3.1. Сущность метода
Метод основан на выделении кремниевой кислоты из хлорнокислого раствора пробы путем выпаривания его до выделения обильных паров хлорной кислоты и последующем определении взвешиванием разницы между массой осадка до обработки фтористоводородной кислотой и массой остатка после обработки фтористоводородной кислотой.
3.2. Реактивы и растворы
Кислота соляная по ГОСТ 3118-77 и разбавленная 1:50.
Кислота азотная по ГОСТ 4461-77.
Кислота серная по ГОСТ 4204-77 и разбавленная 1:1.
Кислота фтористоводородная по ГОСТ 10484-78.
Кислота хлорная, 42 или 57%-ный раствор.
3.3. Проведение анализа
Навеску пробы массой 2,0 г помещают в стакан вместимостью 400 см, приливают 30-40 см
соляной кислоты и растворяют при нагревании. После полного растворения навески раствор окисляют азотной кислотой, приливают 40 см
хлорной кислоты, накрывают стакан часовым стеклом и выпаривают раствор до появления паров хлорной кислоты, которым дают выделяться в течение 15-20 мин. После этого стакан снимают с плиты, охлаждают, обмывают его стенки небольшим количеством воды и раствор снова выпаривают до появления паров хлорной кислоты, которым дают выделяться в течение 10-15 мин.
Содержимое стакана охлаждают, приливают при перемешивании 50 см холодной воды, 10 см
соляной кислоты, а затем 150 см
горячей воды и нагревают до растворения солей. После этого осадок кремниевой кислоты отфильтровывают на фильтр средней плотности, содержащий небольшое количество фильтробумажной массы, и промывают его 12-15 раз теплым раствором соляной кислоты и 2-3 раза горячей водой. Фильтр с осадком сохраняют.
Фильтрат выпаривают до объема примерно 50 см, прибавляют 15 см
хлорной кислоты и выпаривают до выделения ее обильных паров. Раствор охлаждают, приливают 150 см
воды, нагревают до полного растворения солей, отфильтровывают осадок кремниевой кислоты и промывают, как указано выше.
Фильтры с осадком кремниевой кислоты объединяют, помещают в платиновый тигель, сушат, осторожно озоляют и прокаливают в течение 40 мин при температуре 1000-1100 °С. После охлаждения в тигель с осадком добавляют три капли разбавленной серной кислоты, сушат и прокаливают при температуре 1000-1100 °С в течение 1 ч. Тигель с осадком охлаждают в эксикаторе, взвешивают, осадок смачивают несколькими каплями воды, прибавляют 3-4 капли разбавленной серной кислоты, 5-6 см раствора фтористоводородной кислоты и выпаривают до удаления паров серной кислоты. Затем тигель прокаливают при температуре 1000-1100 °С в течение 30 мин, охлаждают в эксикаторе и снова взвешив
ают.
3.4. Обработка результатов
3.4.1. Массовую долю кремния () в процентах вычисляют по формуле
![]()
где - масса тигля с осадком двуокиси кремния до обработки раствором фтористоводородной кислоты, г;
- масса тигля с остатком после обработки раствором фтористоводородной кислоты, г;
- масса тигля с осадком двуокиси кремния в контрольном опыте до обработки раствором фтористоводородной кислоты, г;
- масса тигля с остатком в контрольном опыте после обработки раствором фтористоводородной кислоты, г;
- масса навески, г;
- коэффициент пересчета двуокиси кремния на кремний.
3.4.2. Абсолютные допускаемые расхождения результатов параллельных определений не должны превышать значений, указанных в таблице.
Текст документа сверен по:
официальное издание
Хром металлический.
Методы химического и физико-химического анализа:
Сб. ГОСТов. - М.: Издательство стандартов, 1985
Разместите заказ
сами сделают вам предложение
