ГОСТы сталей. ГОСТ 13020.15-85
ГОСТ 13020.15-85
(СТ СЭВ 5281-85)*
______________________
* Обозначение стандарта.
Измененная редакция, Изм. N 1.
Группа В19
ГОСУДАРСТВЕННЫЙ СТАНДАРТ СОЮЗА ССР
ХРОМ МЕТАЛЛИЧЕСКИЙ
Методы определения олова
Metallic chrome.
Methods for determination of tin
ОКСТУ 0809
Срок действия с 01.07.86
до 01.07.96*
______________________________
* Ограничение срока действия снято
по протоколу N 5-94 Межгосударственного Совета
по стандартизации, метрологии и сертификации.
(ИУС N 11-12, 1994 год). - Примечание "КОДЕКС".
ВВЕДЕН В ДЕЙСТВИЕ постановлением Государственного комитета СССР по стандартам от 20 мая 1985 г. N 1415
ВЗАМЕН ГОСТ 13020.15-75
ВНЕСЕНО Изменение N 1, введенное в действие постановлением Государственного комитета СССР по стандартам от 15.10.86 N 3087 с 01.07.87
Изменение N 1 внесено юридическим бюро "Кодекс" по тексту ИУС N 1, 1987 год
Настоящий стандарт устанавливает полярографический (при массовой доле олова от 0,0002 до 0,005%), флотационно-фотометрический с галлеином и фотометрический с фенилфлуороном (при массовой доле олова от 0,001 до 0,005%) методы определения олова в металлическом хроме.
Стандарт полностью соответствует СТ СЭВ 5281-85.
(Измененная редакция, Изм. N 1).
1. ОБЩИЕ ТРЕБОВАНИЯ
1. ОБЩИЕ ТРЕБОВАНИЯ
1.1. Общие требования к методам анализа - по ГОСТ 13020.0-75.
1.2. Лабораторная проба должна быть приготовлена в виде стружки толщиной не более 0,5 мм по ГОСТ 23916-79.
2. ПОЛЯРОГРАФИЧЕСКИЙ МЕТОД
2.1. Сущность метода
Метод основан на полярографировании олова в растворе соляной кислоты при потенциале пика минус 0,48 В относительно ртутного анода или насыщенного каломельного электрода. Олово предварительно отделяют тионалидом.
2.2. Аппаратура, реактивы и растворы
Полярографы переменнотоковый или осциллографический любого типа со всеми принадлежностями.
Баллон с аргоном, азотом или водородом, не содержащим кислорода.
Кислота соляная по ГОСТ 14261-77 или по ГОСТ 3118-77 и разбавленная 1:1.
Кислота азотная по ГОСТ 11125-84 или по ГОСТ 4461-77.
Кислота серная по ГОСТ 14262-78 или по ГОСТ 4204-77 и разбавленная 1:3 и 1:4.
Кислота аскорбиновая.
Аммиак водный по ГОСТ 3760-79.
Аммоний надсернокислый по ГОСТ 20478-75, 25%-ный раствор.
Водорода перекись по ГОСТ 177-77.
Серебро азотнокислое по ГОСТ 1277-75, 0,1%-ный раствор.
Гидроксиламин сернокислый по ГОСТ 5456-79.
Спирт этиловый ректификованный по ГОСТ 5962-67*.
_________________
* На территории Российской Федерации действует ГОСТ Р 51652-2000. - Примечание "КОДЕКС".
Тионалид, 1%-ный спиртовой раствор.
Квасцы алюмокалиевые по ГОСТ 4329-77, 1%-ный раствор.
Железо металлическое, не содержащее олово.
Медь (II) сернокислая 5-водная по ГОСТ 4165-78, раствор 10 г/дм.
Натрий хлористый по ГОСТ 4233-77.
Индикатор универсальный, бумага.
Олово металлическое.
Стандартные растворы олова:
раствор А: 0,1000 г олова растворяют в 20 см серной кислоты при нагревании. Раствор переносят в мерную колбу вместимостью 1 дм
серной кислотой (1:4), охлаждают, доливают до метки этим же раствором и перемешивают.
Массовая концентрация олова в растворе А равна 0,0001 г/см;
раствор Б: 10 см раствора А переносят в колбу вместимостью 100 см
и доливают до метки серной кислотой (1:4).
Массовая концентрация олова в растворе Б равна 0,00001 г/см.
Раствор готовят в день применения
.
2.1, 2.2. (Измененная редакция, Изм. N 1).
2.3. Проведение анализа
2.3.1. Навеску пробы массой 1,0 г помещают в колбу вместимостью 500 см, приливают 50 см
серной кислоты (1:3), колбу накрывают часовым стеклом и нагревают содержимое колбы до растворения навески. Раствор охлаждают, приливают 200 см
воды, прибавляют 2 г сернокислого гидроксиламина, 1 см
раствора сернокислой меди и 40 см
спиртового раствора тионалида. Растворы в колбе взбалтывают в течение 2-3 мин. Выпавший творожистый осадок через 2 ч отфильтровывают на фильтр средней плотности и промывают 8-10 раз холодной водой. Осадок смывают в колбу, где проводилось осаждение, приливают 50 см
азотной кислоты, нагревают до растворения осадка, приливают 5 см
серной кислоты и выпаривают раствор до появления паров серной кислоты. После этого прибавляют по каплям перекись водорода до полного просветления раствора. Затем к раствору приливают 10 см
азотной кислоты, 150-200 см
воды, 5 см
азотнокислого серебра и 20 см
надсернокислого аммония. Раствор кипятят в течение 10-15 мин, охлаждают, приливают 60-70 см
воды, 5 см
алюмокалиевых квасцов и аммиак до pH 8-9.
Раствор с выпавшим осадком гидроокисей металлов нагревают в течение 5 мин, затем отфильтровывают осадок на фильтр средней плотности и промывают 4-5 раз горячей водой, фильтрат отбрасывают.
Осадок растворяют на фильтре 10-15 см раствора горячей соляной кислоты. Фильтр промывают той же соляной кислотой порциями по 2-3 см
.
(Измененная редакция, Изм. N 1).
2.3.1.1. При полярографировании относительного ртутного анода раствор переносят в мерную колбу вместимостью 25 см, доливают до метки раствором соляной кислоты, перемешивают и переливают в стакан. Прибавляют 0,1-0,2 г аскорбиновой кислоты или металлического железа. Раствор оставляют до полного обесцвечивания, периодически взбалтывая. При применении железа, избыток его отфильтровывают на фильтр, содержащий несколько крупинок металлического железа, при применении аскорбиновой кислоты - через раствор в течение 5 мин пропускают аргон (азот или водород). Раствор переливают в электролизер и полярографируют при потенциале пика от минус 0,48 В относительно анод
ной ртути.
2.3.1.2. При полярографировании относительно насыщенного каломельного электрода раствор переносят в мерную колбу вместимостью 25 см, прибавляют 0,2 г хлористого натрия, перемешивают до его растворения, доливают до метки раствором соляной кислоты и перемешивают. Раствор переносят в стакан и пропускают через него в течение 5 мин аргон (азот, водород), переносят в электролизер и полярографируют при потенциале пика минус 0,48 В относительно каломельного электрода.
2.3.1.1, 2.3.1.2. (Введены дополнительно, Изм. N 1).
2.3.2. Массовую долю олова в испытуемом растворе определяют либо методом сравнения со стандартным раствором сернокислого олова, либо методом градуировочного графика, либо методом добавок.
(Измененная редакция, Изм. N 1).
2.3.2.1. При применении метода сравнения в зависимости от массовой доли олова в испытуемом растворе определяют соответствующий объем стандартного раствора Б. Отобранный объем стандартного раствора помещают в колбу вместимостью 500 см, приливают 50 см
серной кислоты (1:3) и далее анализ проводят, как указано в п.2.3.1.
2.3.2.2. При применении метода градуировочного графика в семь колб из восьми вместимостью 500 см каждая помещают 0,25; 0,5; 1,0; 2,0; 3,0; 4,0 и 5,0 см
стандартного раствора Б, что соответствует 0,0000025; 0,000005; 0,00001; 0,00002; 0,00003; 0,00004 и 0,00005 г олова. Восьмая колба, не содержащая стандартного раствора Б, служит для проведения контрольного опыта на содержание олова в реактивах. В каждую из восьми колб приливают по 50 см
серной кислоты (1:3) и далее анализ проводят, как указано в п.2.3.1.
2.3.2.3. При применении метода добавок к навеске пробы добавляют такое количество стандартного раствора олова, чтобы высота пика, полученного при полярографировании раствора пробы с добавкой стандартного раствора, составляла не более двухкратной высоты пика, полученного при полярографировании раствора пробы.
Далее анализ проводят, как указано в п.2.3.1.
2.4. Обработка результатов
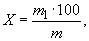
2.4.1. Массовую долю олова () в процентах в зависимости от метода определения его в растворе пробы вычисляют по формулам:
Для метода сравнения
![]()
где - высота пика, полученного при полярографировании раствора пробы, мм;
- масса олова в стандартном растворе, взятом для полярографирования, г;
- высота пика, полученного при полярографировании стандартного раствора, мм;
- масса навески, г.
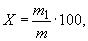
Для метода градуировочного графика
![]()
где - масса олова в растворе пробы, найденная по градуировочному графику, г;
- масса навески, г.
Для метода добавок
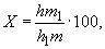
![]()
где - высота пика, полученного при полярографировании раствора пробы без добавки стандартного раствора, мм;
- масса олова, добавленного к навеске пробы, г;
- высота пика, полученного при полярографировании раствора пробы с добавкой стандартного раствора, мм;
- масса навески, г.
2.4.2. Абсолютные допускаемые расхождения результатов параллельных определений не должны превышать значений, указанных в таблице.
Массовая доля олова, % | Абсолютные допускаемые расхождения, % |
От 0,0002 до 0,0005 включ. | 0,0002 |
Св. 0,0005 " 0,001 " | 0,0005 |
" 0,001 " 0,002 " | 0,001 |
" 0,002 " 0,005 " | 0,002 |
3. ФЛОТАЦИОННО-ФОТОМЕТРИЧЕСКИЙ МЕТОД
3.1. Сущность метода
Метод основан на флотации красного комплексного соединения слова (IV) с галлеином из водных растворов при pH 1,4 и последующем растворении осадка в смеси бензола или толуола и этилового спирта. Олово предварительно отделяют от хрома окислением последнего до хрома (VI) надсернокислым аммонием и осаждением гидроокисей металлов аммиаком.
Оптическую плотность комплекса измеряют на спектрофотометре при длине волны 490 нм или фотоэлектроколориметре в области светопропускания от 490 до 530 нм.
3.2. Аппаратура, реактивы и растворы
Спектрофотометр или фотоэлектроколориметр.
РН-метр.
Кислота серная особой чистоты по ГОСТ 14262-78 или по ГОСТ 4204-77 и разбавленная 1:3 и 1:4.
Кислота азотная по ГОСТ 11125-84 или по ГОСТ 4461-77.
Кислота соляная по ГОСТ 14261-77 или по ГОСТ 3118-77 и разбавленная 1:3 и раствор с молярной концентрацией 0,2 моль/дм.
Кислота винная по ГОСТ 5817-77.
Кислота аскорбиновая по ГОСТ 4815-76.
Смесь кислот винной и аскорбиновой, свежеприготовленная: по 5 г каждой кислоты растворяют в 20-30 см воды, переводят в мерную колбу вместимостью 100 см
, доливают водой до метки и перемешивают.
Аммиак водный по ГОСТ 3760-79 и разбавленный 1:100.
Галлеин (пирогаллофталеин), 0,1%-ный спиртовой раствор: 0,1 г галлеина помещают в стакан вместимостью 100 см и растирают стеклянной палочкой с 0,5 см
соляной кислоты, затем приливают 50 см
этилового спирта и оставляют на сутки. Затем раствор фильтруют через быстрофильтрующий фильтр в мерную колбу вместимостью 100 см
, промывают фильтр несколько раз спиртом и фильтр отбрасывают. Раствор доливают спиртом до метки и перемешивают.
При необходимости раствор галлеина очищают: в делительную воронку вместимостью 2 дм приливают 250 см
раствора хлористого калия, 323 см
раствора соляной кислоты, 0,2 моль/дм
, 427 см
воды и перемешивают. Затем в делительную воронку вливают 100 см
раствора галлеина и 80 см
бензола. Смесь встряхивают в течение 5 мин. Органическую фазу, содержащую продукты окисления галлеина, отбрасывают. К раствору вновь приливают 80 см
бензола и встряхивают. Органическую фазу отбрасывают. Экстракцию с бензолом повторяют до обесцвечивания бензольного экстракта. Водную фазу, содержащую 1 г/дм
галлеина, переливают в склянку и хранят в темном месте не более 5 сут.
Калий хлористый 2-водный по ГОСТ 4161-77, раствор с молярной концентрацией 0,2 моль/дм.
Спирт этиловый ректификованный по ГОСТ 5962-67.
Толуол по ГОСТ 5789-78.
Бензол по ГОСТ 5955-75.
Перекись водорода по ГОСТ 177-77.
Железо (III) сернокислое 9-водное по ГОСТ 9485-74, раствор массовой концентрацией железа 10 мг/см: 50 г сернокислого железа растворяют при слабом нагревании в 500 см
воды, содержащей 5 см
серной кислоты, фильтруют и разбавляют водой до 1 дм
и перемешивают.
Серебро азотнокислое по ГОСТ 1277-75, 0,25%-ный раствор.
Аммоний надсернокислый по ГОСТ 20478-75, 25%-ный раствор.
Олово металлическое.
Стандартные растворы олова:
раствор А: 0,1000 г металлического олова растворяют в 20 см серной кислоты при нагревании. Раствор переносят в мерную колбу вместимостью 1 дм
серной кислотой (1:4), охлаждают, доливают до метки этим же раствором и перемешивают.
Массовая концентрация олова в растворе А равна 0,0001 г/см;
раствор Б: 10 см стандартного раствора А переносят в мерную колбу вместимостью 100 см
и доливают до метки серной кислотой (1:4).
Массовая концентрация олова в растворе Б равна 0,00001 г/см.
(Измененная редакция, Изм. N 1).
3.3. Проведение анализа
3.3.1. Навеску пробы массой 1,0 г помещают в коническую колбу вместимостью 500 см и растворяют в 20 см
серной кислоты (1:3). После растворения навески раствор окисляют азотной кислотой, приливают 2 см
раствора сернокислого железа и выпаривают до начала выделения паров серной кислоты. Соли растворяют при нагревании в 50 см
воды, разбавляют водой до 300 см
, приливают 25 см
азотнокислого серебра, 100 см
надсернокислого аммония и окисляют хром при умеренном нагревании. Избыток надсернокислого аммония разрушают кипячением раствора. Затем приливают аммиак до выпадения осадка и 10 см
в избыток, нагревают и оставляют на 15-20 мин в теплом месте для коагуляции осадка, который фильтруют через быстрофильтрующий фильтр, промывают 4-5 раз горячим раствором аммиака (1:100). Фильтрат отбрасывают. Осадок растворяют в 20 см
серной кислоты (1:4), собирая раствор в колбу, в которой проводилось осаждение гидроокисей металлов, приливают 15 см
азотнокислого серебра, 50 см
надсернокислого аммония и проводят окисление оставшегося хрома и осаждение гидроокисей металлов аммиаком, как указано выше.
Осадок с фильтра смывают горячей водой в колбу, где велось осаждение гидроокисей металлов. Фильтр обмывают 10 см раствора соляной кислоты и вновь водой. Приливают 1 см
перекиси водорода и выпаривают при умеренном нагревании до 40 см
, затем охлаждают, переносят в мерную колбу вместимостью 50 см
, доливают до метки водой и перемешивают.
Аликвотную часть раствора 25 см помещают в стакан вместимостью 100 см
, приливают 4 см
смеси кислот, перемешивают и выдерживают 1-2 мин. Затем приливают 2 см
спиртового раствора или 20 см
водного раствора (очищенного) галлеина, объем доводят водой до 50 см
и устанавливают рН 1,4 на рН-метре, приливая раствор аммиака. Содержимое стакана переносят в делительную воронку вместимостью 100 см
небольшим количеством воды, дают постоять в течение 30 мин, приливают 10 см
бензола или толуола и встряхивают раствор 2 мин.
После разделения фаз водную фазу отбрасывают. К органической фазе приливают 7 см этилового спирта и, перемешивая, растворяют осадок в делительной воронке. Из делительной воронки раствор переносят в мерную колбу вместимостью 25 см
. Стенки воронки обмывают этиловым спиртом, им же доливают колбу до метки и перемешивают. Оптическую плотность измеряют на спектрофотометре при длине волны 490 нм или на фотоэлектроколориметре в области светопропускания от 490 до 530 нм.
Раствором сравнения служит смесь бензола или толуола с этиловым спиртом в соотношении 2:3.
Массу олова находят по градуировочному графику после вычитания значения оптической плотности раствора контрольного опыта из значения оптической плотности раствора пробы или методом сравнения по стандартным образцам металлического хрома близким по составу к анализируемому металлическому хрому и проведенным через все стадии анализа.
(Измененная р
едакция, Изм. N 1).
3.3.2. Построение градуировочного графика
В шесть колб вместимостью по 500 см помещают по 20 см
серной кислоты (1:3), по 5 см
азотной кислоты и нагревают. К нагретому раствору приливают по 2 см
раствора сернокислого железа. К содержимому пяти колб из шести приливают соответственно 1,0; 2,0; 3,0; 4,0 и 5,0 см
стандартного раствора Б, что соответствует 0,00001; 0,00002; 0,00003; 0,00004 и 0,00005 г олова.
Шестая колба, не содержащая стандартного раствора Б, служит для проведения контрольного опыта на содержание олова в реактивах. Растворы выпаривают до начала выделения паров серной кислоты. Далее анализ ведут, как указано в п.3.3.1.
По полученным значениям оптических плотностей и соответствующему им содержанию олова строят градуировочный график.
3.4. Обработка результатов
3.4.1. Массовую долю олова () в процентах, определенную методом градуировочного графика, вычисляют по формуле
![]()
где - масса олова, найденная по градуировочному графику, г;
- масса навески, г.
3.4.2. Массовую долю олова () в процентах, определенную методом сравнения, вычисляют по формуле
![]()
где - массовая доля олова в стандартном образце, %;
- оптическая плотность анализируемого раствора металлического хрома;
- оптическая плотность раствора стандартного образца;
- оптическая плотность раствора контрольного опыта.
3.4.3. Абсолютные допускаемые расхождения результатов параллельных определений не должны превышать значений, указанных в таблице.
4. ФОТОМЕТРИЧЕСКИЙ МЕТОД
4.1. Сущность метода
Метод основан на образовании оранжево-красного комплексного соединения олова (IV) с фенилфлуороном, стабилизируемого желатином в растворе серной кислоты с молярной концентрацией 0,5-0,65 моль/дм.
Оптическую плотность комплекса измеряют на спектрофотометре при длине волны 510 нм или фотоэлектроколориметре в области светопропускания от 480 до 530 нм. От мешающих элементов олово отделяют тионалидом в присутствии коллектора - меди с последующим осаждением гидроксидов металлов аммиаком.
4.2. Аппаратура, реактивы и растворы
Спектрофотометр или фотоэлектроколориметр со всеми принадлежностями
Кислота серная особой чистоты по ГОСТ 14262-78 или по ГОСТ 4204-77 и разбавленная 1:1, 1:3, 1:4 и 1:50.
Кислота азотная особой чистоты по ГОСТ 11125-84 или по ГОСТ 4461-77 и разбавленная 1:3.
Кислота аскорбиновая, раствор 50 г/дм, свежеприготовленный.
Аммиак водный по ГОСТ 3760-79 и разбавленный 1:50.
Медь (II) сернокислая 5-водная по ГОСТ 4165-78, раствор 10 г/дм.
Спирт этиловый ректификованный технический по ГОСТ 18300-72.
Тионалид, спиртовой раствор 10 г/дм.
Водорода перекись по ГОСТ 10929-76.
Серебро азотнокислое по ГОСТ 1277-75, раствор 1 г/дм.
Аммоний надсернокислый по ГОСТ 20478-75, свежеприготовленный раствор 250 г/дм.
Железо (III) сернокислое 9-водное по ГОСТ 9485-74, раствор 10 г/дм.
Гидразин сернокислый по ГОСТ 5841-74, свежеприготовленный раствор 20 г/дм.
Калий марганцовокислый по ГОСТ 20490-75, раствор 10 г/дм.
Желатин по ГОСТ 23058-78, свежеприготовленный раствор 10 г/дм.
Индикаторная бумага Конго.
Индикатор универсальный, бумага.
Эфир этиловый уксусной кислоты.
Фенилфлуорон, спиртовой раствор 0,3 г/дм: 0,03 г фенилфлуорона растворяют на водяной бане в 20-30 см
теплого спирта, содержащего 1 см
серной кислоты (1:1) и охлаждают. Переносят в мерную колбу вместимостью 100 см
, доливают спиртом до метки и перемешивают. Хранят в темном месте.
При необходимости фенилфлуорон перекристаллизовывают:
2 г фенилфлуорона помещают в коническую колбу вместимостью 250 см, приливают 50 см
эфира, 15 см
серной кислоты и тщательно перемешивают. Не охлаждая, к раствору приливают 150 см
воды. Выпавший осадок отфильтровывают под вакуумом на плотный фильтр, помещенный в воронку Бюхнера, несколько раз промывают эфиром, расходуя на промывание не более 100 см
. Промытый осадок помещают в стакан, приливают 100 см
воды, перемешивают и выдерживают на горячей водяной бане при температуре (85±5) °С в течение 1 ч. Осадок отфильтровывают под вакуумом на плотный фильтр, помещенный на воронку Бюхнера, промывают несколько раз водой и высушивают на воздухе.
Олово металлическое по ГОСТ 860-75.
Стандартные растворы олова
раствор А: 0,1000 г олова растворяют в 20 см серной кислоты при нагревании. Раствор переносят в мерную колбу вместимостью 1 дм
серной кислотой (1:4) охлаждают, доливают до метки этим же раствором и перемешивают.
1 см стандартного раствора А содержит 0,0001 г олова.
раствор Б: 10,0 см стандартного раствора А переносят в мерную колбу вместимостью 100 см
и доливают до метки раствором серной кислоты (1:4).
1 см стандартного раствора Б содержит 0,00001 г олова. Раствор готовят
перед применением.
4.2. Проведение анализа
4.2.1. Навеску пробы массой 1,0 г помещают в колбу вместимостью 500 см, приливают 40 см
серной кислоты (1:3), колбу накрывают часовым стеклом и нагревают, не выпаривая, до растворения навески. Раствор охлаждают, приливают 100 см
воды, 100 см
раствора сернокислого гидразина, 1 см
раствора сернокислой меди и 40 см
раствора тионалида. Раствор в колбе, взбалтывают в течение 2-3 мин. Выпавший творожистый осадок через 2 ч отфильтровывают на фильтр средней плотности и промывают 8-10 раз холодной водой.
Осадок смывают в колбу, в которой проводилось осаждение. Фильтр обмывают 10-15 см горячего раствора азотной кислоты, затем горячей водой, присоединяя промывные воды к содержимому колбы. Приливают 50 см
азотной кислоты, затем 5 см
серной кислоты (1:1) и выпаривают раствор до появления паров серной кислоты. Во время выделения паров серной кислоты прибавляют по каплям перекись водорода до полного просветления раствора. Затем к раствору приливают 10 см
азотной кислоты, 150-200 см
воды, 5 см
раствора азотнокислого серебра, 20 см
надсернокислого аммония и раствор кипятят в течение 10-15 мин. Раствор охлаждают до 60-70 °С, приливают 2 см
раствора сернокислого железа и аммиак до рН 8-9 (по универсальной индикаторной бумаге). Раствор с осадком оставляют стоять в теплом месте в течение 10-15 мин, затем отфильтровывают осадок на фильтр средней плотности и промывают 5-6 раз горячим раствором аммиака. Фильтрат отбрасывают.
Осадок на фильтре растворяют в 5 см горячей серной кислоты (1:3) в колбе вместимостью 100 см
. Фильтр промывают 4-5 раз горячей серной кислотой (1:50), собирая промывные воды в ту же колбу. Колбу, в которой велось осаждение гидроксидов, обмывают 5-7 см
серной кислоты (1:3) и присоединяют к основному фильтрату. Объем раствора должен быть не б
олее 50 см.
4.2.1.1. При массовой доле олова свыше 0,003% раствор переносят в мерную колбу вместимостью 100 см, доливают водой до метки, перемешивают. В колбу вместимостью 100 см
отбирают аликвотную часть 50 см
.
4.2.2. Весь раствор, полученный по п.4.2.1, или его аликвотную часть, полученную по п.4.2.1.1, нейтрализуют аммиаком до pH 4-5 (по бумаге Конго). Затем при перемешивании добавляют 6 см серной кислоты (1:1), 4 см
раствора марганцовокислого калия. Через 5 мин добавляют 2 см
раствора аскорбиновой кислоты, 4 см
раствора желатина, 20 см
спирта, 5 см
раствора фенилфлуорона. Раствор переливают в мерную колбу вместимостью 100 см
, доводят объем раствора водой до метки и перемешивают.
Через 25-30 мин измеряют оптическую плотность на спектрофотометре при длине волны 510 нм или фотоэлектроколориметре в области светопропускания от 480 до 530 нм.
Раствором сравнения служит спирт.
Массу олова находят по градуировочному графику после вычитания значения оптической плотности раствора контрольного опыта из значения оптической плотности раствора пробы или методом сравнения со стандартным образцом металлического хрома, проведенным через весь ход анализа
.
4.2.3. Построение градуировочного графика
В шесть из семи колб вместимостью 500 см приливают 0,5; 1,0; 1,5; 2,0; 2,5 и 3,0 см
стандартного раствора Б, что соответствует 0,000005; 0,00001; 0,000015; 0,00002; 0,000025 и 0,00003 г олова. В семь колб приливают по 40 см
серной кислоты (1:3), колбы накрывают часовым стеклом и нагревают, не выпаривая.
Раствор седьмой колбы, не содержащий стандартного раствора олова, служит для проведения контрольного опыта при построении градуировочного графика.
Растворы охлаждают, приливают по 100 см воды, по 100 см
раствора сернокислого гидразина, по 1 см
раствора сернокислой меди и по 40 см
раствора тионалида. Далее анализ проводят, как указано в пп.4.2.1 и 4.2.2.
По полученным значениям оптической плотности растворов и соответствующим им содержаниям олова строят градуировочный график
.
4.3. Обработка результатов
4.3.1. Массовую долю олова () в процентах, определенную методом градуировочного графика, вычисляют по формуле
![]()
где - масса олова, найденная по градуировочному графику, г;
- масса навески пробы или масса, соответствующая аликвотной части раствора пробы, г.
4.3.2. Массовую долю олова () в процентах, определенную методом сравнения, вычисляют по формуле
![]()
где - массовая доля олова в стандартном образце, %;
- оптическая плотность анализируемого раствора металлического хрома;
- оптическая плотность раствора стандартного образца;
- оптическая плотность раствора контрольного опыта.
4.3.3. Абсолютные расхождения результатов параллельных определений не должны превышать допускаемых значений, указанных в таблице.
Раздел 4. (Введен дополнительно, Изм. N 1).
Текст документа сверен по:
официальное издание
Хром металлический.
Методы химического и физико-химического анализа:
Сб. ГОСТов. - М.: Издательство стандартов, 1985
Редакция документа с учетом
изменений и дополнений подготовлена
АО "Кодекс"
Разместите заказ
сами сделают вам предложение
