ГОСТы сталей. ГОСТ 13020.1-85
ГОСТ 13020.1-85
(СТ СЭВ 4504-84)
Группа В19
ГОСУДАРСТВЕННЫЙ СТАНДАРТ СОЮЗА ССР
ХРОМ МЕТАЛЛИЧЕСКИЙ
Метод определения хрома
Metallic chrome.
Method for determination of chrome
ОКСТУ 0809
Срок действия с 01.07.86
до 01.07.96*
______________________________
* Ограничение срока действия снято
по протоколу N 5-94 Межгосударственного Совета
по стандартизации, метрологии и сертификации.
(ИУС N 11-12, 1994 год).- Примечание "КОДЕКС".
РАЗРАБОТАН Министерством черной металлургии СССР
ИСПОЛНИТЕЛИ
Н.П.Поздеев, Н.А.Чирков, В.Л.Зуева, П.Ф.Агафонов, Л.М.Клейнер, Г.И.Гусева.
ВНЕСЕН Министерством черной металлургии СССР
Член Коллегии В.Г.Антипин
УТВЕРЖДЕН И ВВЕДЕН В ДЕЙСТВИЕ Постановлением Государственного комитета СССР по стандартам от 20 мая 1985 г. N 1410
ВЗАМЕН ГОСТ 13020.1-75
Настоящий стандарт устанавливает потенциометрический метод определения хрома в металлическом хроме (при массовой доле хрома от 96,0 до 99,6%).
Метод основан на окислении трехвалентного хрома надсернокислым аммонием в сернокислой среде до шестивалентного состояния и последующем титровании раствором соли двухвалентного железа. Конец титрования фиксируют потенциометрическим методом.
Стандарт полностью соответствует СТ СЭВ 4504-84.
1. ОБЩИЕ ТРЕБОВАНИЯ
1. ОБЩИЕ ТРЕБОВАНИЯ
1.1. Общие требования к методу анализа - по ГОСТ 13020.0-75.
1.2. Лабораторная проба должна быть приготовлена в виде стружки толщиной не более 0,5 мм по ГОСТ 23916-79.
2. АППАРАТУРА, РЕАКТИВЫ И РАСТВОРЫ
Установка для потенциометрического титрования с индикаторным платиновым электродом и сравнительным электродом - вольфрамовым, хлорсеребряным или каломельным.
Кислота азотная по ГОСТ 4461-77.
Кислота серная по ГОСТ 4204-77 и разбавленная 1:1, 1:4 и 1:20.
Кислота ортофосфорная по ГОСТ 6552-80.
Смесь кислот: к 600 см воды приливают при перемешивании 320 см
серной кислоты (1:1) и 80 см
ортофосфорной кислоты.
Аммоний надсернокислый, 40%-ный раствор.
Марганец (II) сернокислый 5-водный по ГОСТ 435-77, 1%-ный раствор.
Натрий хлористый по ГОСТ 4233-77, 5%-ный раствор.
Серебро азотнокислое по ГОСТ 1277-75, 0,25%-ный раствор.
Калий двухромовокислый по ГОСТ 4220-75, при необходимости перекристаллизованный и высушенный при температуре 160-180 °С в течение 1,5-2 ч.
Соль закиси железа и аммония двойная сернокислая (соль Мора) по ГОСТ 4208-72, титрованный раствор: 120 г соли Мора растворяют в 850 см серной кислоты (1:20), разбавляют до 1 дм
водой и перемешивают.
Для определения массовой концентрации полученного раствора навеску двухромовокислого калия массой 0,6000 г помещают в стакан вместимостью 400 см, растворяют в 150 см
воды, прибавляют 100 см
смеси кислот и титруют раствором соли Мора на потенциометре до скачка потенциала, отмеченного максимальным отклонением стрелки прибора.
Массовую концентрацию раствора соли Мора () по хрому, выраженную в г/см
, вычисляют по формуле
![]()
где - масса навески двухромовокислого калия, г;
- коэффициент пересчета двухромовокислого калия на хром; - объем раствора соли Мора, израсходованный на титрование навески двухромовокислого калия, см
.
3. ПРОВЕДЕНИЕ АНАЛИЗА
3.1. Навеску пробы массой 0,2 г помещают в колбу вместимостью 500 см, приливают 50 см
смеси кислот и растворяют при нагревании.
После растворения навески раствор окисляют азотной кислотой, приливая ее по каплям (около 1 см), и выпаривают до выделения паров серной кислоты, которым дают выделяться 2-3 мин. Затем раствор охлаждают, приливают 200-250 см
воды, нагревают до растворения солей, прибавляют 5 капель раствора сернокислого марганца, 10 см
раствора азотнокислого серебра, нагревают до кипения, приливают 50 см
раствора надсернокислого аммония и кипятят до полного окисления хрома и разложения надсернокислого аммония.
Количественное окисление хрома замечают по появлению в растворе окраски марганцевой кислоты, которую затем восстанавливают кипячением раствора в течение 3-5 мин с 10 см раствора хлористого натрия.
Раствор охлаждают, приливают 50 см серной кислоты (1:4), количественно переносят в стакан для титрования, включают мешалку и титруют раствор двухромовой кислоты раствором соли Мора до скачка потенциала, отмеченного максимальным отклонением стрелки прибора.
4. ОБРАБОТКА РЕЗУЛЬТАТОВ
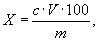
4.1. Массовую долю хрома () в процентах вычисляют по формуле
![]()
где - массовая концентрация раствора соли Мора по хрому, г/см
;
- объем раствора соли Мора, израсходованный на титрование хрома, см
;
- масса навески, г.
4.2. Абсолютные допускаемые расхождения результатов параллельных определений не должны превышать 0,40%.
Текст документа сверен по:
официальное издание
Хром металлический.
Методы химического и физико-химического анализа:
Сб. ГОСТов. - М.: Издательство стандартов, 1985
Разместите заказ
сами сделают вам предложение
