ГОСТы сталей. ГОСТ 7347-94
ГОСТ ИСО 7347-94
Группа В19
МЕЖГОСУДАРСТВЕННЫЙ СТАНДАРТ
ФЕРРОСПЛАВЫ
Экспериментальные методы контроля систематической погрешности отбора и подготовки проб
Ferroalloys. Experimental methods for checking the bias of sampling and sample preparation
ОКС 77.100
ОКСТУ 0809
Дата введения 1996-01-01
Предисловие
1 РАЗРАБОТАН Российской Федерацией - Техническим комитетом ТК8 "Ферросплавы"
ВНЕСЕН Госстандартом России
2 ПРИНЯТ Межгосударственным Советом по стандартизации, метрологии и сертификации 21 октября 1994 г. (протокол N 6)
За принятие проголосовали:
Наименование государства | Наименование национального органа стандартизации |
Азербайджанская Республика | Азгосстандарт |
Республика Армения | Армгосстандарт |
Республика Беларусь | Белстандарт |
Республика Грузия | Грузстандарт |
Республика Казахстан | Госстандарт Республики Казахстан |
Кыргызская Республика | Кыргызстандарт |
Республика Молдова | Молдовастандарт |
Российская Федерация | Госстандарт России |
Украина | Госстандарт Украины |
3 Постановлением Комитета Российской Федерации по стандартизации, метрологии и сертификации от 21.06.95 N 311 межгосударственный стандарт ГОСТ ИСО 7347-94 введен в действие непосредственно в качестве государственного стандарта Российской Федерации с 1 января 1996 г.
Настоящий стандарт представляет собой полный аутентичный текст международного стандарта ИСО 7347-87 "Ферросплавы. Экспериментальные методы контроля систематической погрешности отбора и подготовки проб"
4 ВВЕДЕН ВПЕРВЫЕ
1 НАЗНАЧЕНИЕ И ОБЛАСТЬ ПРИМЕНЕНИЯ
1 НАЗНАЧЕНИЕ И ОБЛАСТЬ ПРИМЕНЕНИЯ
Настоящий стандарт устанавливает экспериментальные методы контроля систематической погрешности методик отбора и подготовки проб ферросплавов, установленных в соответствующих стандартах, а также вновь разрабатываемых
2 НОРМАТИВНЫЕ ССЫЛКИ
В настоящем стандарте использованы ссылки на следующие стандарты:
ГОСТ 17260-87 Ферросплавы. Отбор и подготовка проб. Общие требования.
ГОСТ 28782-90 Ферросплавы. Экспериментальные методы оценки вариации качества и контроля точности сокращения проб
3 ОБЩИЕ ТРЕБОВАНИЯ
3.1 Методы отбора, подготовки проб и химического анализа
Отбор и подготовку проб для эксперимента проводят методами, установленными в соответствующих стандартах, или другими методами, подлежащими проверке. Химический анализ экспериментальных проб проводят по соответствующим стандартам.
3.2 Сущность метода
В процессе исследования результаты, полученные по проверяемому методу (метод Б), сравнивают с результатами заданного контрольного метода (метод А) который с технической и практической точек зрения рассматривается как метод, не дающий систематической погрешности. Сравнение следует проводить, применяя статистический метод проверки значимости различия при уровне значимости 0,05 (двусторонний критерий).
3.3 Показатель качества
Показатель качества, по которому проверяется систематическая погрешность отбора проб, указывается в соответствующем стандарте на методы опробования ферросплавов. По взаимной договоренности заинтересованных сторон показателем качества может быть выбран любой другой элемент.
3.4 Число экспериментов
Эксперимент повторяют не менее десяти раз (например на десяти партиях или на десяти частях партий либо на десяти объединенных пробах или на десяти подпробах).
3.5 Выбор метода анализа данных
Если отдельные точечные пробы, отобранные по методам А и Б, правильно взяты парами, то применяют метод анализа для парных данных. Если отдельные точечные пробы, взятые по методам А и Б, парами не отбираются, то применяют метод анализа для непарных данных.
Если число экспериментов одинаково, то при определении значимости различия метод анализа парных данных в статистическом смысле более точен, чем метод анализа непарных данных. Чтобы применить метод анализа парных данных, необходимо подготовить и провести эксперимент таким образом, чтобы отбор пар точечных проб, одна из которых взята по методу А, а другая - по методу Б, был технически осуществим.
Метод анализа непарных данных основан на условии, при котором число определений, проводимых по методам А и Б, одинаково. Следует принять меры, чтобы для обоих методов получить одинаковое число точечных проб.
Примечание - Описанные методы статистического анализа экспериментальных данных могут быть применены при проверке расхождения результатов, полученных на различных пробах одной партии, взятых в разных местах, например в местах погрузки и разгрузки (раздел 6).
4 ЭКСПЕРИМЕНТАЛЬНЫЕ МЕТОДЫ
4.1 Примеры эксперимента
Контрольные методы (метод А) различны и изменяются в зависимости от поставленной задачи, и поэтому жесткие правила трудно установить. Ниже даны примеры контрольных методов. Каждому проверяемому методу (метод Б) соответствует контрольный метод.
Пример 1 - Систематическая погрешность, возникающая из-за массы точечной пробы.
Метод А. Контрольная проба состоит из точечных проб большей массы, чем установленная при обычном отборе проб.
Метод Б. Проба состоит из точечных проб равных или меньших масс, чем установленных при обычном отборе проб, и, как считается, не вносящих систематическую погрешность.
Примечание - Колебания качества ферросплавов обычно наблюдаются по высоте дробленых слитков, что следует учитывать при отборе точечных проб контрольной пробы.
Пример 2 - Отбор проб от ферросплавов, поставляемых навалом.
Метод А. Контрольная проба состоит из точечных проб, отобранных с вновь образованных в процессе погрузки или разгрузки поверхностей ферросплавов.
Метод Б. Проба состоит из точечных проб, взятых от неподвижного материала.
Пример 3 - Отбор проб от ферросплавов, упакованных в контейнеры.
Метод А. Контрольная проба состоит из всего материала, находящегося в упаковочных единицах, которые отобраны на первой стадии пробоотбора.
Метод Б. Проба состоит из точечных проб, отобранных произвольно из нескольких мест внутри упаковочных единиц.
Пример 4 - Проба, полученная сверлением.
Метод А. Контрольная проба состоит из точечных проб, взятых сверлением от верхней до нижней поверхности кусков ферросплава, отколотых по всей высоте слитка.
Метод Б. Проба состоит из точечных проб, взятых сверлением произвольно из нескольких точек кусков ферросплава, не имеющих четко выраженных верхней и нижней поверхностей.
Пример 5 - Отбор проб из ковша.
Метод А. Контрольная проба состоит из заданного количества точечных проб заданной массы, отобранных от партии, составленной поплавочным методом.
Метод Б. Проба состоит из ковшевых проб, взятых от соответствующих плавок партии.
Пример 6 - Механическое устройство для сокращения проб.
Метод А. Контрольная проба - это остаток пробы, полученный после взятия сокращенной пробы.
Метод Б. Проба - это сокращенная проба, получаемая обычным методом.
4.2 Отбор проб
4.2.1 Из одной рассматриваемой партии или одной части этой партии отбирают две объединенные пробы; одну из двух - методом А, другую - методом Б. Объединенную пробу, отобранную методом А, обозначают как объединенную пробу А, а отобранную методом Б - как объединенную пробу Б.
Примечание - Для оценивания различия результатов, полученных на разных пробах, взятых от одной партии (примечание к 3.5), любая из двух проб считается объединенной пробой А, а другая - объединенной пробой Б.
4.2.2 Каждая пара точечных проб для составления объединенных проб А и Б берется из одной и той же точки партии ферросплава.
4.2.3 Если взятие точечных проб парами не предусмотрено, то объединенная проба А - это проба, полученная по методу А, и объединенная проба Б, полученная методом Б.
4.3 Подготовка проб
4.3.1 Для примеров 1-5 в 4.1 (контроль систематической погрешности пробоотбора) две объединенные пробы А и Б подготавливают по отдельности одним и тем же методом для получения соответствующих лабораторных проб А и Б.
4.3.2 Для примера 6 (контроль систематической погрешности подготовки проб) две разные лабораторные пробы А и Б готовят по отдельности из одной объединенной пробы или одной подпробы.
4.4 Определение и запись результатов
Показатель качества определяют на лабораторных пробах А и Б одним и тем же методом и в тех же условиях. Результаты химического анализа записывают по форме, указанной в виде примера в таблице 1 и 2. Таблицу 1 используют для парных точечных проб, таблицу 2 - для непарных.
Таблица 1 - Пример записи результатов при испытании парных данных по -критерию (пояснения символов см. в приложении А)
Обозначение эксперимента | ||||
Вид и марка ферросплава (например феррохром) | ||||
Обозначение партии (или объединенной пробы) | ||||
Дата проведения эксперимента | ||||
Точечная проба N | Показатель качества (например % Cr) | |||
|
|
| ||
1 | ||||
Итого | ||||
Вычисление | |||
| (плюс или минус) | ||
Вывод о результате испытания по | |||
Примечание - Вывод об эксперименте делают по общему результату, полученному после повторения эксперимента не менее чем на десяти партиях (или частях партий) ферросплава одного вида.
Таблица 2 - Пример записи результатов при испытании непарных данных по -критерию (пояснение символов см. в приложениях Б, В)
Обозначение эксперимента | ||||
Вид ферросплава (например феррохром) | ||||
Обозначение партии (или объединенной пробы) | ||||
Дата проведения эксперимента | ||||
Партия N | Марка ферросплава | Показатель качества (например % Cr) | |||||
Объединенная проба Б | Объединенная проба А | ||||||
|
|
|
|
| |||
1 | |||||||
Итого |
|
|
|
|
|
| |
Вычисление -критерия для десяти партий (
10)
(
, 0,025)=
Вывод о результатах испытания по | |
5. ОБРАБОТКА ДАННЫХ
5.1 Определение значимости различия
Для определения значимости различия между двумя экспериментальными результатами, то есть отклонения результатов, полученных по методу Б, от результатов, полученных по контрольному методу А, проводят испытание статистическим методом по -критерию. При анализе непарных данных перед испытанием по
-критерию проводят испытания по
-критерию.
Примечание - Необходимо отметить, что указанные дисперсии содержат в данном случае кроме дисперсий, обусловленных собственно методами опробования, дисперсии показателя качества между опробуемыми партиями.
Анализ данных в соответствии с примечанием к 3.5 производится согласно 5.3.
5.2 Парные данные
5.2.1 Определяют наблюдаемую величину -критерия, обозначаемую
. Метод вычисления приведен в приложении А.
5.2.2 Сравнивают абсолютное значение , полученное экспериментально, со значением
(
; 0,025), взятым по таблице А1 (приложение А).
Если
(; 0,025), то
- незначимая величина.
Если
(; 0,025), то
- значимая величина.
Примечание - Выводы, которые могут быть сделаны по результатам испытания, (раздел 6).
5.3 Непарные данные
5.3.1 Равенство дисперсий, полученных по результатам методов А и Б, определяют статистическим методом по -критерию, относящемуся к дисперсионному анализу. Метод вычисления приведен в приложении Б.
5.3.2 Сравнивают наблюдаемую величину , полученную экспериментальным путем, с величиной
(
; 0,05), взятой из таблицы Б1 (приложение Б).
Если
(; 0,05), то испытание считается удовлетворительным.
Если
(; 0,05), то испытание считается неудовлетворительным
.
5.3.3 Если испытание по -критерию удовлетворительно, то проводят испытание по
-критерию. Если испытание по
-критерию неудовлетворительно, то экспериментальные данные признают негодными, и, если необходимо, проводят следующий эксперимент.
5.3.4 Метод вычисления -критерия для определения значимости различия приведен в приложении В.
5.3.5 Сравнивают абсолютное значение , полученное экспериментально, с
(
; 0,025), взятым по таблице А1 (приложение А).
Если
(; 0,025), то
- незначимая величина.
Если
(; 0,025), то
- значимая величина.
Примечание - Выводы, которые могут быть сделаны по результатам испытания, - (раздел 6).
6 АНАЛИЗ РЕЗУЛЬТАТОВ ОБРАБОТКИ ЭКСПЕРИМЕНТАЛЬНЫХ ДАННЫХ
В том случае, если различие между результатами, полученными по методу Б и методу А, является незначимым при испытании по -критерию, то метод Б можно принять в качестве практического метода при условии, что между заинтересованными сторонами достигнута договоренность, если это требуется. Кроме того, следует принять во внимание следующее:
а) Отсутствие систематической погрешности означает, что величина, полученная в результате обычных операций, не отличается от истинной величины или контрольной величины этого метода на статистически значимую разницу.
б) Даже если различие статистически значимо, то с практической точки зрения она может считаться несущественным, и метод Б может быть принят в качестве практического метода при условии, что достигнута договоренность между заинтересованными сторонами, если требуется.
в) Если различие статистически не значимо, но заинтересованные стороны считают, что оно с практической точки зрения настолько велико, что не может считаться незначительным, то необходимо повторить эксперимент.
г) Если различие статистически не значимо, но величина дисперсий неприемлемо велика, то необходимо выяснить причину этого и, в случае необходимости, повторить эксперименты.
ПРИЛОЖЕНИЕ А (обязательное). МЕТОД ВЫЧИСЛЕНИЯ t-КРИТЕРИЯ ДЛЯ ПАРНЫХ ДАННЫХ
ПРИЛОЖЕНИЕ А
(обязательное)
А.1 Вычисляют отклонение между результатами парных измерений
, (A.1)
где -
-е отклонение
от
;
-
-е измерения пробы Б, отобранные по проверяемому методу Б;
-
-е измерения пробы А, отобранные по контрольному методу А;
- количество пар измерений.
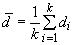
А.2 Вычисляют среднюю величину отклонения с точностью на одну десятую больше, чем та, которая использовалась при самих измерениях
, (А.2)
где - средняя величина
разниц.
А.3 Определяют несмещенную оценку дисперсии отклонений
, (А.3)
где - несмещенная оценка дисперсии отклонений;
- число степеней свободы - при данном методе
.
А.4 Вычисляют наблюдаемое значение , обозначаемое
, округляя его до одной тысячной
. (А.4)
А.5 Из таблицы А1 берут значение при уровне значимости 0,025 и степенях свободы
, обозначаемое
(
; 0,025).
Таблица А.1 - Значение (
; 0,025) (двусторонний критерий)
9 | 10 | 11 | 12 | 13 | 14 | |
2,262 | 2,228 | 2,201 | 2,179 | 2,160 | 2,145 | |
15 | 16 | 17 | 18 | 19 | 20 | |
2,131 | 2,120 | 2,110 | 2,101 | 2,093 | 2,086 |
ПРИЛОЖЕНИЕ Б (обязательное). МЕТОД ВЫЧИСЛЕНИЯ F-КРИТЕРИЯ ДЛЯ НЕПАРНЫХ ДАННЫХ
ПРИЛОЖЕНИЕ Б
(обязательное)
Б.1 Для упрощения расчетов необработанные измерения преобразуют в группы:
, 1, 2, …,
;
(Б.1)
, 1, 2, …,
;
где ;
- соответствующие
-е преобразованные измерения пробы А и пробы Б;
;
- соответствующие
-е необработанные измерения пробы А и пробы Б;
,
- соответствующие вычитаемые константы, произвольно выбираемые для преобразований;
- множительная константа, произвольно выбираемая для преобразований;
- количество измерений пробы А и пробы Б.
Б.2 Вычисляют средние значения измерений проб А и Б, обозначаемые соответственно и
, и выражают их путем инвертирования преобразования:
(Б.2)
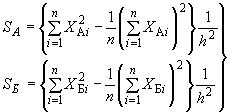
Б.3 Вычисляют суммы квадратов, обозначаемые и
соответственно:
(Б.3)
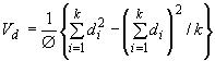
Б.4 Определяют несмещенные оценки дисперсии, обозначаемые и
соответственно:
;
(Б.4)
,
где ,
- соответствующие степени свободы проб А и Б,
,
; в данном методе
.
Б.5 Вычисляют отношение метода Б к
контрольного метода А по формуле (Б.5) округляя до одной сотой.
Примечание - Предполагается, что при данном методе дисперсия контрольного метода А меньше дисперсии метода Б
однако, если оказывается, что
, то меняют местами знаменатель и числитель таким образом, чтобы отношение было больше единицы, и используют формулу (Б.6)
;
; (Б.5)
или
;
; (Б.6)
Б.6 По таблице Б.1 находят значение при уровне значимости 0,05 для степеней свободы
и
, обозначаемое (
; 0,05).
Таблица Б.1 - Значение (
; 0,05)
9 | 10 | 12 | 15 | 20 | |
3,18 | 2,98 | 2,69 | 2,40 | 2,12 |
ПРИЛОЖЕНИЕ В (обязательное). МЕТОД ВЫЧИСЛЕНИЯ t-КРИТЕРИЯ ДЛЯ НЕПАРНЫХ ДАННЫХ
ПРИЛОЖЕНИЕ В
(обязательное)
Вычисляют наблюдаемое значение , обозначаемое
, округляя его до третьего десятичного знака
, (B.1)
откуда
, (В.2)
где
,
и
.
ПРИЛОЖЕНИЕ Г (обязательное). ПРИМЕР РАСЧЕТА ПАРНЫХ И НЕПАРНЫХ ДАННЫХ
ПРИЛОЖЕНИЕ Г
(обязательное)
Эксперимент по отбору проб проводился на 12 партиях ферросиликокальция (~15% Са). От каждой партии отбирали объединенную пробу А, состоящую из 10 точечных проб массой по 15 кг, и объединенную пробу Б, состоящую из 10 точечных проб массой по 5 кг.
Пробы массой по 15 кг и по 5 кг отбирались одновременно от дробленого и перемешанного сплава в процессе упаковки.
Пробы А и Б рассматриваются как парные данные (таблица Г.1).
Таблица Г.1 - Результаты анализов и расчет при испытании парных данных
Обозначение эксперимента: выбор массы точечной пробы.
Вид ферросплава: ферросиликокальций
Обозначение партии: проба А, состоящая из точечных проб массой по 15 кг, и проба Б, состоящая из точечных проб массой по 5 кг.
Дата проведения эксперимента: июль 1980 г.
Поставка N | Ферросплав | Массовая доля кальция, % | |||
| |||||
1 | Ферросиликокальций, примерно 15% Са | 17,2 | 17,3 | -0,1 | 0,01 |
2 | 18,7 | 18,5 | +0,2 | 0,04 | |
3 | 17,1 | 17,1 | 0,0 | 0,0 | |
4 | 16,8 | 16,7 | +0,1 | 0,01 | |
5 | 17,2 | 17,2 | 0,0 | 0,0 | |
6 | 19,2 | 19,2 | 0,0 | 0,0 | |
7 | 17,0 | 16,7 | +0,3 | 0,09 | |
8 | 18,0 | 18,5 | -0,5 | 0,25 | |
9 | 17,8 | 18,1 | -0,3 | 0,09 | |
10 | 17,0 | 16,7 | +0,3 | 0,09 | |
11 | 18,2 | 18,4 | -0,2 | 0,04 | |
12 | 17,3 | 17,3 | 0,0 | 0,0 | |
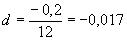
Итого | +0,9 | 0,62 | |||
Предварительно от каждой из 12 партий отбирали пробу В путем откалывания кусочков от недробленых слитков.
Таким образом, пробу Б, отобранную от дробленого сплава в процессе упаковки, и пробу В, отобранную от слитков откалыванием кусочков, можно рассматривать как непарные данные (таблица Г.2).
Таблица Г.2 - Результаты анализов и расчет при испытании непарных данных
Обозначение эксперимента: выбор метода отбора проб
Вид ферросплава: ферросиликокальций
Обозначение партии: (или объединенной пробы): проба Б, отобранная от дробленого ферросплава в процессе упаковки, и проба В, отобранная откалыванием кусков систематическим методом от недробленых слитков
Дата проведения эксперимента: июль 1980 г.
Партия N | Ферросплав | Массовая доля кальция, % | |||
Проба Б | Проба В | ||||
1 | Ферросиликокальций, примерно15% Са | 17,3 | 299,3 | 17,7 | 313,3 |
2 | 18,5 | 342,3 | 19,0 | 361,0 | |
3 | 17,1 | 292,4 | 19,3 | 372,5 | |
4 | 16,7 | 278,9 | 16,7 | 278,9 | |
5 | 17,2 | 295,8 | 19,0 | 361,0 | |
6 | 19,2 | 368,6 | 19,4 | 376,4 | |
7 | 16,7 | 278,9 | 16,8 | 282,2 | |
8 | 18,5 | 342,3 | 19,0 | 361,0 | |
9 | 18,1 | 327,6 | 18,8 | 353,4 | |
10 | 16,7 | 278,9 | 17,8 | 316,8 | |
11 | 18,4 | 338,6 | 18,7 | 349,7 | |
12 | 17,3 | 299,3 | 18,5 | 342,3 | |
Итого | 211,7 | 3742,9 | 220,7 | 4068,5 | |
Вычисление -критерия
;
;
;
;
;
.
Вывод о результате испытания по -критерию: различие не значимо.
Следовательно, массу точечной пробы выбирают 5 кг.
Вычисление -критерия для непарных данных
;
;
;

Определение несмещенных оценок дисперсии:
;
.
Определение отношения метода В к
контрольного метода Б:
;
;
.
Испытание считается удовлетворительным.
Вычисление -критерия для непарных данных
;
;
;
![]()
Хотя различие статистически незначимо, но примерно равно
это значит, что метод В может быть принят как контрольный, либо необходимо провести дополнительные эксперименты.
Электронный текст документа
подготовлен ЗАО "Кодекс" и сверен по:
официальное издание
М.: ИПК Издательство стандартов, 1995
Разместите заказ
сами сделают вам предложение
