ГОСТы сталей. ГОСТ 17293-93
ГОСТ 17293-93
(ИСО 5450-80)
Группа В12
МЕЖГОСУДАРСТВЕННЫЙ СТАНДАРТ
ФЕРРОВОЛЬФРАМ
Технические требования и условия поставки
Ferrotungsten.
Specification and conditions of delivery
ОКП 08 5300
Дата введения 1995-07-01
Предисловие
1 РАЗРАБОТАН Российской Федерацией Техническим комитетом ТК 8 "Ферросплавы"
ВНЕСЕН Техническим секретариатом Межгосударственного Совета по стандартизации, метрологии и сертификации
2 ПРИНЯТ Межгосударственным Советом по стандартизации, метрологии и сертификации 17 февраля 1993 г.
За принятие проголосовали:
Наименование государства | Наименование национального органа по стандартизации |
Республика Армения | Армгоостандарт |
Республика Беларусь | Белстандарт |
Республика Казахстан | Казстандарт |
Республика Молдова | Молдовастандарт |
Российская Федерация | Госстандарт России |
Туркменистан | Туркменгосстандарт |
Республика Узбекистан | Узгосстандарт |
Украина | Госстандарт Украины |
3 Постановлением Комитета Российской Федерации по стандартизации, метрологии и сертификации от 26.12.94 N 353 Межгосударственный стандарт ГОСТ 17293-93 введен в действие непосредственно в качестве государственного стандарта Российской Федерации с 1.07.95
4 Настоящий стандарт соответствует международному стандарту ИСО 5450-80 "Ферровольфрам. Технические требования и условия поставки" кроме пп.5.2.3, 5.3.3, 5.3.4, 5.4, разд.6, 7, 8
5 ВЗАМЕН ГОСТ 17293-82
1 НАЗНАЧЕНИЕ И ОБЛАСТЬ ПРИМЕНЕНИЯ
1 НАЗНАЧЕНИЕ И ОБЛАСТЬ ПРИМЕНЕНИЯ
Настоящий стандарт устанавливает технические требования к ферровольфраму и условия его поставки для сталеплавильной и литейной промышленности.
Требования, отряжающие потребности народного хозяйства, набраны курсивом.
2 НОРМАТИВНЫЕ ССЫЛКИ
В настоящем стандарте использованы ссылки на следующие стандарты:
ГОСТ 14638.1-81 Ферровольфрам. Методы определения вольфрама.
ГОСТ 14638.3-81 Ферровольфрам. Метод определения фосфора.
ГОСТ 14638.4-81 Ферровольфрам. Метод определения кремния.
ГОСТ 14638.5-81 Ферровольфрам. Метод определения марганца.
ГОСТ 14638.6-81* Ферровольфрам. Метод определения алюминия.
_______________
* Вероятно ошибка оригинала. Следует читать ГОСТ 14638.6-84. - Примечание "КОДЕКС".
ГОСТ 14638.8-84 Ферровольфрам. Метод определения молибдена.
ГОСТ 14638.9-84 Ферровольфрам. Методы определения меди.
ГОСТ 14638.11-84 Ферровольфрам. Метод определения свинца.
ГОСТ 14638.12-84 Ферровольфрам. Метод определения сурьмы.
ГОСТ 14638.13-84 Ферровольфрам. Методы определения олова.
ГОСТ 14638.14-84 Ферровольфрам. Методы определения висмута.
ГОСТ 14638.15-84 Ферровольфрам. Метод определения мышьяка.
ГОСТ 17260-87 Ферросплавы, хром и марганец металлический. Общие требования к отбору и подготовке проб для химического анализа.
ГОСТ 22310-84 Ферросплавы. Метод определения гранулометрического состава.
ГОСТ 25207-85 Ферровольфрам, силикокальций и ферробор. Методы отбора и подготовки проб для химического и физико-химического анализов.
ГОСТ 26590-85 Ферросплавы. Упаковка, маркировка, транспортирование и хранение.
ГОСТ 27041-86 Ферросплавы, хром и марганец металлические. Методы определения серы.
ГОСТ 27069-86 Ферросплавы, хром и марганец металлические. Методы определения углерода.
3 ОПРЕДЕЛЕНИЕ
Ферровольфрам - легирующий сплав железа и вольфрама с минимальной массовой долей вольфрама 70,0% и с максимальной массовой долей вольфрама 85,0%, полученный путем восстановления.
4 ОФОРМЛЕНИЕ ЗАКАЗА
Заказ на ферровольфрам должен содержать следующие сведения:
а) количество;
б) метод составления партии;
в) химический состав в соответствии с приведенными в таблице 1 и (или) таблице 1а;
г) диапазоны размеров частиц в соответствии с приведенными в таблице 2;
д) необходимые требования к протоколу об анализе и к упаковке.
5 ТЕХНИЧЕСКИЕ ТРЕБОВАНИЯ
5.1 Составление партии
Ферровольфрам поставляют партиями, составленными одним из следующих методов.
5.1.1 Поплавочный метод
Партия, составленная поплавочным методом, состоит из массы ферровольфрама одной плавки (или одной части непрерывной плавки).
5.1.2 Помарочный метод
Партия, составленная помарочным методом, состоит из нескольких плавок (пли частей непрерывных плавок) ферровольфрама одной марки.
Содержание вольфрама в плавках (или частях непрерывных плавок), составляющих партию, не должно отличаться друг от друга более чем на 3%.
5.1.3 Смешанный метод
Партия, составленная смешанным методом, состоит из нескольких плавок (пли частей непрерывных плавок) одной марки ферровольфрама, который измельчен до частиц менее 50 мм и тщательно перемешан.
Содержание основного элемента в плавках (или частях непрерывных плавок), составляющих партию, может колебаться между минимальным и максимальными пределами, установленными для данной марки ферровольфрама.
5.2 Химический состав
5.2.1 Химический состав ферровольфрама должен соответствовать приведенному в таблице 1 и таблице 1a.
Таблица 1
Массовая доля, % | ||||||
Марка | Вольфрам | Кремний | Углерод | Марганец | Медь | Сера |
не более | ||||||
FeW80 | 70,0-85,0 | 1,0 | 1,0 | 0,6 | 0,25 | 0,05 |
FeW80LC | 70,0-85,0 | 1,0 | 0,10 | 1,0 | 0,20 | 0,05 |
Продолжение таблицы 1
Массовая доля, % | ||||||
Марка | Фосфор | Мышьяк | Сурьма | Алюминий | Молибден | Олово |
не более | ||||||
FeW80 | 0,06 | 0,10 | 0,05 | 0,10 | 1,0 | 0,10 |
FeW80LC | 0,08 | 0,10 | 0,05 | 1,0 | 0,50 | 0,10 |
5.2.2 В таблице 1 приведена только массовая доля основных элементов н обычных примесей. По требованию покупателя при согласии поставщика устанавливают более узкие интервалы массовых долей основных элементов и (или) пределы неустановленных элементов.
5.2.3 Химический состав приведен с точностью методов опробования и анализа ферровольфрама (раздел 6).
Таблица 1а
Массовая доля, % | |||||||
Марка | вольфрама, не менее | молибдена | марганца | кремния | углерода | фосфора | серы |
не более | |||||||
ФВ80( | 80 | 6,0 | 0,2 | 0,8 | 0,10 | 0,03 | 0,02 |
ФВ75( | 75 | 7,0 | 0,2 | 1,1 | 0,15 | 0,04 | 0,04 |
ФВ70( | 70 | 7,0 | 0,3 | 2,0 | 0,2 | 0,06 | 0,06 |
ФВ72 | 72 | 1,0 | 0,4 | 0,5 | 0,3 | 0,04 | 0,08 |
ФВ70 | 70 | 2,0 | 0,5 | 0,8 | 0,5 | 0,06 | 0,10 |
ФВ65 | 65 | 6,0 | 0,6 | 1,2 | 0,7 | 0,10 | 0,15 |
Продолжение таблицы 1а
Массовая доля, % | |||||||
Марка | меди | мышьяка | олова | алюминия | свинца | висмута | сурьмы |
не более | |||||||
ФВ80( | 0,10 | 0,04 | 0,04 | 3,0 | 0,01 | 0,01 | 0,01 |
ФВ75( | 0,20 | 0,05 | 0,05 | 5,0 | - | - | - |
ФВ70( | 0,30 | 0,06 | 0,08 | 6,0 | - | - | - |
ФВ72 | 0,15 | 0,04 | 0,08 | - | 0,02 | 0,02 | 0,02 |
ФВ70 | 0,20 | 0,05 | 0,10 | - | - | - | - |
ФВ65 | 0,30 | 0,08 | 0,20 | - | - | - | - |
Примечание - | |||||||
По требованию потребителя ферровольфрам изготовляют с массовой долей молибдена не более 5,0% в марке ФВ80( | |||||||
5.3 Диапазоны размеров частиц
5.3.1 Ферровольфрам поставляют в кусках или в виде дробленых и просеянных частиц. Диапазоны размеров частиц должны соответствовать приведенным в таблице 2. Масса подрешетного продукта установлена для пункта поставки материала покупателю*.
________________
* Пункт, в котором ответственность за поставку переходит от поставщика к покупателю. Если ни поставщик, ни покупатель не несут ответственность за транспортировку, то такой пункт устанавливают по взаимной договоренности.
Таблица 2
Максимальная массовая доля, % | |||
Класс | Диапазоны размеров частиц, мм | подрешетного продукта | надрешетного продукта |
1 | 2-100 | 3 | 10 |
2 | 2-50 | 3 | Ни один кусок не должен превышать 1,15 максимального предела установленного диапазона частиц в двух или трех направлениях |
3 | 2-25 | 5 | |
4 | До 2 | - | |
5.3.2 По взаимной договоренности поставщика и покупателя устанавливаются диапазоны размеров частиц иные, чем указаны в таблице 2.
5.3.3 Ферровольфрам изготовляют дробленым в кусках, проходящих через сетку с размерами квадратных ячеек 100х100 мм.
При этом количество кусков, оставшихся на сетке, не должно превышать 5% массы партии.
Количество мелочи, проходящей через сетку с размерами квадратных ячеек 5х5 мм, не должно превышать 10% массы партии.
5.3.4 По требованию потребителя ферровольфрам изготовляют дробленым в кусках, проходящих через сетку с размерами квадратных ячеек 70x70 мм. При этом количество кусков, оставшихся на сетке, не должно превышать 10% массы партии.
_______________
* Выделение текста курсивом соответствует оригиналу. - Примечание "КОДЕКС".
5.4 Куски ферровольфрама как в изломе, так и на поверхности не должны иметь загрязнений песком, резко выраженных шлаковых и других инородных включений.
Общее количество включений в партии ферровольфрама не должно превышать 0,5% ее массы.
Допускаются следы противопригарных материалов и окисной пленки.
6 ПРАВИЛА ПРИЕМКИ
6.1 Ферровольфрам принимают партиями, состоящими из одной или нескольких плавок одной марки. Массовая доля вольфрама в отдельных плавках партии не должна отличаться более чем на 3%.
Документ о качестве должен содержать следующие сведения:
1) товарный знак предприятия-изготовителя;
2) марку ферровольфрама и класс крупности;
3) массу брутто и нетто;
4) метод составления партии;
5) химический состав;
6) количество грузовых мест;
7) номер партии;
8) дату изготовления;
9) штамп технического контроля;
10) обозначение настоящего стандарта.
6.2 Объем выборок для определения химического состава и проверки отсутствия загрязнений на поверхности кусков - по ГОСТ 25207.
6.3 Объем выборки для определения гранулометрического состава - по ГОСТ 22310.
Проверку гранулометрического состава партии ферровольфрама изготовитель проводит периодически, - не реже одного раза от 500 плавок.
6.4 В каждой партии ферровольфрама определяют содержание всех нормированных элементов.
6.5 При получении неудовлетворительных результатов испытаний от партии отбирают удвоенное количество точечных проб и испытания повторяют. При повторном получении неудовлетворительных результатов хотя бы по одному из показателей партию бракуют.
6.6 Чистоту поверхности куска оценивают визуально.
7 ИСПЫТАНИЯ
7.1 Испытания у поставщика
7.1.1 Пробоотбор для химического и ситового анализов
7.1.1.1 Пробоотбор для химического и ситового анализов проводят методами, установленными ГОСТ 25207 и ГОСТ 22310, но применяют и другие методы, дающие такую же точность.
7.1.1.2 Пробоотбор обычно проводят на складе поставщика, если нет какой-либо другой договоренности. Где бы пробоотбор ни проводился, представители поставщика и покупателя могут присутствовать.
7.1.2 Химический анализ
7.1.2.1 Химический анализ ферровольфрама проводят методами, установленными ГОСТ 14638.1; ГОСТ 14638.3 - ГОСТ 14638.6; ГОСТ 14638.8 - ГОСТ 14638.9; ГОСТ 14638.11 - ГОСТ 14638.15; ГОСТ 27069, ГОСТ 27041, но могут быть применены и другие методы, дающие такую же точность.
7.2 Испытания у потребителя
7.2.1 По требованию покупателя ферровольфрам поставляют с пробой, представляющей партию.
7.2.2 При желании покупатель проводит контрольные испытания химического и гранулометрического состава партии. При этом могут быть использованы два варианта:
1) покупатель проводит анализ пробы, представленной поставщиком вместе с партией;
2) покупатель проводит отбор проб и их анализ в соответствии с требованиями 6.1.1, 6.1.2.
7.2.3 При проведении контрольных испытаний по первому варианту должно быть выполнено условие:
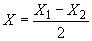
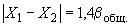
, (1)
где - значение показателя качества по данным поставщика,
- результат контрольного анализа у потребителя; допускаемое расхождение между двумя результатами
- установленное стандартами на методы анализа.
7.2.4 При проведении контрольных испытаний по второму варианту должно быть выполнено условие:
, (2)
где - общая погрешность контроля качества, установленная ГОСТ 25207.
7.2.5 Если по результатам контрольного анализа выполнены условия (1) или (2), то качество партии считается удовлетворяющим сопроводительному документу, подготовленному поставщиком, а числовое значение показателей качества () может быть уточнено по формуле
. (3)
7.2.6 Если по результатам контрольного анализа условия (1) или (2) не выполнены, то потребитель может провести повторные контрольные испытания или арбитражные испытания, если нет другой договоренности.
7.3 Арбитражные испытания
7.3.1 При необходимости арбитражный пробоотбор проводит арбитр, выбранный по взаимной договоренности поставщика и покупателя. Пробоотбор проводят методами, установленными ГОСТ 17260, ГОСТ 25207, но при взаимной договоренности поставщика, покупателя и арбитра применяют и другие методы, дающие такую же точность.
Пробу, полученную при арбитражном отборе, принимают обеими заинтересованными сторонами.
7.3.2 Арбитражный анализ проводят методами, установленными ГОСТ 14638.1; ГОСТ 14638.3 - ГОСТ 14638.6; ГОСТ 14638.8; ГОСТ 14639.9*; ГОСТ 14638.11 - ГОСТ 14638.15; ГОСТ 27041; ГОСТ 27069. При взаимной договоренности поставщика, покупателя и арбитра могут быть применены и другие методы.
_______________
* Вероятно ошибка оригинала. Следует читать ГОСТ 14638.9. - Примечание "КОДЕКС".
Результат, полученный арбитром, считается окончательным, если нет другой договоренности.
8 УПАКОВКА, МАРКИРОВКА, ТРАНСПОРТИРОВАНИЕ И ХРАНЕНИЕ
8.1 Упаковка, маркировка, транспортирование и хранение - по ГОСТ 26590 с дополнением:
ферровольфрам поставляют упакованным в деревянные ящики, металлические барабаны или специализированные контейнеры;
барабаны с ферровольфрамом, предназначенные для длительного хранения, должны быть окрашены в черный цвет.
8.2 Ферровольфрам упаковывают, транспортируют и хранят согласно международным правилам*.
________________
* Например:
РИД - Международные правила перевозки опасных грузов железнодорожным транспортом. Приложение В.
Международные правила перевозки опасных грузов морским транспортом.
Текст документа сверен по:
официальное издание
М.: Издательство стандартов, 1995
Разместите заказ
сами сделают вам предложение
