ГОСТы сталей. ГОСТ 4757-91
ГОСТ 4757-91
(ИСО 5448-81)
Группа В12
МЕЖГОСУДАРСТВЕННЫЙ СТАНДАРТ
ФЕРРОХРОМ
Технические требования и условия поставки
Ferrochromium. Specification and conditions of delivery
МКС 77.100
ОКП 08 4200
Дата введения 1993-01-01
ИНФОРМАЦИОННЫЕ ДАННЫЕ
1. РАЗРАБОТАН И ВНЕСЕН ТК N 8 "Ферросплавы"
2. УТВЕРЖДЕН И ВВЕДЕН В ДЕЙСТВИЕ Постановлением Комитета стандартизации и метрологии СССР от 29.12.91 N 2352
3. Настоящий стандарт разработан методом прямого применения международного стандарта ИСО 5448-81 "Феррохром. Технические требования и условия поставки" с дополнительными требованиями, отражающими потребности экономики страны
4. ВЗАМЕН ГОСТ 4757-89
5. ССЫЛОЧНЫЕ НОРМАТИВНО-ТЕХНИЧЕСКИЕ ДОКУМЕНТЫ
Обозначение НТД, | Номер пункта |
ГОСТ 12.1.005-88 | 5.1, 5.2, 5.5 |
ГОСТ 12.1.007-76 | 5.1, 5.4, 5.6 |
ГОСТ 17260-87 | 7.1.1.1, 7.3.1 |
ГОСТ 21600.3-83 | 7.1.2.1, 7.3.2 |
ГОСТ 21600.4-83 | 7.1.2.1, 7.3.2 |
ГОСТ 21600.6-83 | 7.1.2.1, 7.3.2 |
ГОСТ 21600.17-83 | 7.1.2.1, 7.3.2 |
ГОСТ 21600.18-83 | 7.1.2.1, 7.3.2 |
ГОСТ 22310-93 | 6.3, 7.1.1.1 |
ГОСТ 24991-81 | 6.2, 7.1.1.1, 7.2.4, 7.3.1 |
ГОСТ 25732-88 | 6.6 |
ГОСТ 26590-85 | 8.1 |
ГОСТ 27041-86 | 7.1.2.1, 7.3.2 |
ГОСТ 27069-86 | 7.1.2.1, 7.3.2 |
6. ПЕРЕИЗДАНИЕ. Май 2011 г.
1. НАЗНАЧЕНИЕ И ОБЛАСТЬ ПРИМЕНЕНИЯ
1. НАЗНАЧЕНИЕ И ОБЛАСТЬ ПРИМЕНЕНИЯ
Настоящий стандарт устанавливает технические требования и условия поставки феррохрома, поставляемого для металлургической и литейной промышленности.
Дополнительные требования, отражающие потребности экономики страны, выделены курсивом*.
_______________
* В бумажном оригинале обозначения и номера стандартов в п.п.7.2.4 и п.8.1 выделены курсивом, остальные по тексту документа приводятся обычным шрифтом. - Примечание изготовителя базы данных.
2. ОПРЕДЕЛЕНИЕ
Феррохром - легирующий сплав железа и хрома с минимальным содержанием хрома 45,0% по массе и максимальным - 95,0% по массе, полученный восстановлением соответствующих сырых материалов или их концентратов.
3. ОФОРМЛЕНИЕ ЗАКАЗА
Заказ на феррохром должен содержать:
а) количество;
б) формирование партии;
в) химический состав в соответствии с табл.2-13;
г) диапазоны размеров частиц в соответствии с табл.14 и (или) табл.15;
д) необходимые требования к отчету об анализе и к упаковке.
4. ТЕХНИЧЕСКИЕ ТРЕБОВАНИЯ
4.1. Формирование партии
Феррохром поставляется партиями, составленными одним из трех методов.
4.1.1. Поплавочный метод
Партия, составленная поплавочным методом, состоит из массы феррохрома одной плавки (или одной части непрерывной плавки).
4.1.2. Помарочный метод
Партия, составленная помарочным методом, состоит из нескольких плавок (или частей непрерывных плавок) одной марки феррохрома.
Массовая доля хрома в плавках (или частях непрерывных плавок), составляющих партию, не должна отличаться друг от друга более чем на 4%.
4.1.3*. Смешанный метод
________________
* Рекомендуемые требования.
Партия, составленная смешанным методом, состоит из нескольких плавок (или частей непрерывных плавок) одной марки феррохрома, который измельчен до частиц менее * мм и тщательно перемешан.
________________
* Величина будет установлена после дополнительных исследований.
Содержание основного элемента в плавках (или частях непрерывных плавок), составляющих партию, не должно отличаться друг от друга более чем на 10%.
4.2. Химический состав
4.2.1. Марки и химический состав феррохрома должны соответствовать приведенным в табл.2-9 или табл.10-13.
4.2.2*. Стандартные диапазоны содержания хрома, установленные в табл.1, и их обозначения распространяются на все диапазоны содержания хрома от 45,0% до 95,0%, как установлено в разд.2.
________________
* Рекомендуемые требования.
Таблица 1*
________________
* Рекомендуемые требования.
Диапазоны содержания хрома, % | Обозначение |
45,0-55,0 | FeCr50... |
55,0-65,0 | FеСr60... |
65,0-75,0 | FeCr70... |
75,0-85,0 | FeCr80... |
85,0-95,0 | FeCr90... |
Таблица 2
Высокоуглеродистый феррохром, повышенное содержание фосфора
Обозначение | Химический состав, % | |||||
Cr | С | Si | Р | S | ||
более | до и включ. | не более | ||||
(FeCr...C50) | В диапазоне от 45,0 до 75,0 включ. | Св. 4,0 | 0,05 | 0,10 | ||
(FeCr...C50LS) | По табл.1 выбирается один из установленных стандартных диапазонов содержания хрома | - | 1,5 | 0,05 | ||
(FeCr...C50Si2) | 1,5 | 3,0 | 0,10 | |||
(FeCr...C50Si2LS) | 0,05 | |||||
(FeCr...C50Si4) | 3,0 | 5,0 | 0,10 | |||
(FeCr...C50Si4LS) | 0,05 | |||||
(FeCr...C50Si7) | 5,0 | 10,0 | 0,05 | |||
(FeCr...C70) | Св. 6,0 | - | 1,5 | 0,05 | 0,10 | |
(FeCr...C70LS) | 0,05 | |||||
(FeCr...C70Si2) | 1,5 | 3,0 | 0,10 | |||
(FeCr...C70Si2LS) | 0,05 | |||||
(FeCr...C70Si4) | 3,0 | 5,0 | 0,10 | |||
(FeCr...C70Si4LS) | 0,05 | |||||
(FeCr...C70Si6) | 5,0 | 8,0 | 0,05 | |||
(FeCr...C90) | Св. 8,0 | - | 1,5 | 0,05 | 0,10 | |
(FeCr...C90LS) | 0,05 | |||||
(FeCr...C90Si2) | 1,5 | 3,0 | 0,10 | |||
(FeCr...C90Si2LS) | 0,05 | |||||
(FeCr...C90Si4) | 3,0 | 5,0 | 0,10 | |||
(FeCr...C90Si4LS) | 0,05 | |||||
________________ В обозначение марки включается показатель конкретного стандартного диапазона содержания хрома, взятый из табл.1.
Пример: Феррохром марки FeCr...C70Si2
а) при диапазоне 45,0-55,0%: FeCr50C70Si2;
б) при диапазоне 65,0-75,0%: FeCr70C70Si2. При отклонении внутри партии содержания хрома от среднего значения - см. п.4.1.
Таблица 3
Высокоуглеродистый феррохром, низкое содержание фосфора
Обозначение | Химический состав, % | |||||
Cr | С | Si | Р | S | ||
более | до и включ. | не более | ||||
FeCr...C50LP | В диапазоне от 45,0 до 75,0 включ. | Св. 4,0 | 0,03 | 0,10 | ||
FeCr...C50LSLP | По табл.1 выбирается один из установленных стандартных диапазонов содержания хрома | - | 1,5 | 0,05 | ||
FeCr...C50Si2LP | 1,5 | 3,0 | 0,10 | |||
FeCr...C50Si2LSLP | 0,05 | |||||
FeCr...C50Si4LP | 3,0 | 5,0 | 0,10 | |||
FeCr...C50Si4LSLP | 0,05 | |||||
FeCr...C50Si7LP | 5,0 | 10,0 | 0,05 | |||
FeCr...C70LP | Св. 6,0 | - | 1,5 | 0,03 | 0,10 | |
FeCr...C70LSLP | 0,05 | |||||
FeCr...C70Si2LP | 1,5 | 3,0 | 0,10 | |||
FeCr...C70Si2LSLP | 0,05 | |||||
FeCr...C70Si4LP | 3,0 | 5,0 | 0,10 | |||
FeCr...C70Si4LSLP | 0,05 | |||||
FeCr...C70Si6LP | 5,0 | 8,0 | 0,05 | |||
FeCr...C90LP | Св. 8,0 | - | 1,5 | 0,03 | 0,10 | |
FeCr...C90LSLP | 0,05 | |||||
FeCr...C90Si2LP | 1,5 | 3,0 | 0,10 | |||
FeCr...C90Si2LSLP | 0,05 | |||||
FeCr...C90Si4LP | 3,0 | 5,0 | 0,10 | |||
FeCr...C90Si4LSLP | 0,05 | |||||
________________ В обозначение марки включается показатель конкретного стандартного диапазона содержания хрома, взятый из табл.1.
Пример: Феррохром марки FeCr...C70Si2LP
а) при диапазоне 45,0-55,0%: FeCr50C70Si2LP;
б) при диапазоне 65,0-75,0%: FeCr70C70Si2LP. При отклонении внутри партии содержания хрома от среднего значения - см. п.4.1.
Таблица 4
Среднеуглеродистый феррохром, повышенное содержание фосфора
Обозначение | Химический состав, % | |||||
Cr | С | Si | Р | S | ||
более | до и включ. | не более | ||||
FeCr...C10 | В диапазоне от 45,0 до 75,0 включ. | 0,5 | 1,0 | 1,5 | 0,05 | 0,05 |
FeCr...C20 | По табл.1 выбирается один из установленных стандартных диапазонов содержания хрома | 1,0 | 2,0 | |||
FeCr...C40 | 2,0 | 4,0 | ||||
________________ В обозначение марки включается показатель конкретного стандартного диапазона содержания хрома, взятый из табл.1.
Пример: Феррохром марки FeCr...С20
а) при диапазоне 45,0-55,0%: FeCr50C20;
б) при диапазоне 65,0-75,0%: FeCr70C20.При отклонении внутри партии содержания хрома от среднего значения - см. п.4.1.
Таблица 5
Среднеуглеродистый феррохром, низкое содержание фосфора
Обозначение | Химический состав, % | |||||
Cr | С | Si | Р | S | ||
более | до и включ. | не более | ||||
FeCr...C10LP | В диапазоне от 45,0 до 75,0 включ. | 0,5 | 1,0 | 1,5 | 0,03 | 0,03 |
FeCr...C20LP | По табл.1 выбирается один из установленных стандартных диапазонов содержания хрома | 1,0 | 2,0 | |||
FeCr...C40LP | 2,0 | 4,0 | ||||
________________ В обозначение марки включается показатель конкретного стандартного диапазона содержания хрома, взятый из табл.1.
Пример: Феррохром марки FeCr...C20LP
а) при диапазоне 45,0-55,0%: FeCr50C20LP;
б) при диапазоне 65,0-75,0%: FeCr70C20LP. При отклонении внутри партии содержания хрома от среднего значения - см. п.4.1.
Таблица 6
Низкоуглеродистый феррохром, повышенное содержание фосфора
Обозначение | Химический состав, % | ||||||
Cr | С | Si | Р | S | N | ||
более | до и включ. | не более | |||||
FeCr...C01 | В диапазоне от 45,0 до 75,0 включ. | - | 0,015 | 1,5 | 0,05 | 0,03 | 0,15 |
FeCr...C03 | По табл.1 выбирается один из установленных стандартных диапазонов содержания хрома | 0,015 | 0,030 | ||||
FeCr...C05 | 0,030 | 0,050 | |||||
FeCr...C1 | 0,050 | 0,10 | |||||
FeCr...C2 | 0,10 | 0,25 | |||||
FeCr...C5 | 0,25 | 0,50 | |||||
________________ В обозначение марки включается показатель конкретного стандартного диапазона содержания хрома, взятый из табл.1.
Пример: Феррохром FeCr...С1
а) при диапазоне 45,0-55,0%: FeCr50C1;
б) при диапазоне 65,0-75,0, %: FeCr70C1. При отклонении внутри партии содержания хрома от среднего значения - см. п.4.1.
Таблица 7
Низкоуглеродистый феррохром, низкое содержание фосфора
Обозначение | Химический состав, % | ||||||
Cr | С | Si | Р | S | N | ||
более | до и включ. | не более | |||||
FeCr...C01LP | В диапазоне от 45,0 до 75,0 включ. | - | 0,015 | 1,5 | 0,03 | 0,03 | 0,15 |
FeCr...C03LP | По табл.1 выбирается один из установленных стандартных диапазонов содержания хрома | 0,015 | 0,030 | ||||
FeCr...C05LP | 0,030 | 0,050 | |||||
FeCr...C1LP | 0,050 | 0,10 | |||||
FeCr...C2LP | 0,10 | 0,25 | |||||
FeCr...C5LP | 0,25 | 0,50 | |||||
________________В обозначение марки включается показатель конкретного стандартного диапазона содержания хрома, взятый из табл.1.
Пример: Феррохром FeCr...C1LP
а) при диапазоне 45,0-55,0%: FeCr50C1LP;
б) при диапазоне 65,0-75,0%: FeCr70C1LP. При отклонении внутри партии содержания хрома от среднего значения - см. п.4.1.
Таблица 8
Низкоуглеродистый феррохром, высокое содержание хрома
Обозначение | Химический состав, % | ||||||||
Сr | С | Si | Р | S | Ni | Со | N | ||
более | до и включ. | не более | |||||||
FeCr...C01 | В диапазоне от 75,0 до 95,0 включ. | - | 0,015 | 1,5 | 0,02 | 0,03 | 0,15 | 0,02 | 0,20 |
FeCr...C03 | По табл.1 выбирается один из установленных стандартных диапазонов содержания хрома | 0,015 | 0,030 | ||||||
FeCr...C05 | 0,030 | 0,050 | |||||||
________________В обозначение марки включается показатель конкретного стандартного диапазона содержания хрома, взятый из табл.1.
Пример: Феррохром FeCr...С03
При диапазоне 75,0-85,0%: FeCr80C03. При отклонении внутри партии содержания хрома от среднего значения - см. п.4.1.
Таблица 9
Низкоуглеродистый феррохром, содержащий азот
Обозначение | Химический состав, % | ||||||
Сr | С | Si | Р | S | N | ||
не более | не более | более | до и включ. | ||||
Плавленый FeCr...C1N3 | В диапазоне от 45,0 до 75,0 включ. | 0,10 | Не более 1,5 | 0,03 | 0,025 | 2,0 | 4,0 |
Спеченный FeCr...C1N7 | По табл.1 выбирается один из установленных стандартных диапазонов содержания хрома | Не более 1,5 | 4,0 | 10,0 | |||
Спеченный FeCr...C1N7Si | Более 1,5 | ||||||
________________ В обозначение марки включается показатель конкретного стандартного диапазона содержания хрома, взятый из табл.1.
Пример: Феррохром FeCr...C1N3
а) при диапазоне 45,0-55,0%: FeCr50C1N3;
б) при диапазоне 65,0-75,0%: FeCr70C1N3. При отклонении внутри партии содержания хрома от среднего значения - см. п.4.1.
Таблица 10
Феррохром низкоуглеродистый
Марка | Массовая доля, % | |||||
хрома, не менее | углерода | кремния | фосфора | серы | алюминия | |
не более | ||||||
ФХ001А | 68 | 0,01 | 0,8 | 0,02 | 0,02 | 0,2 |
ФХ001Б | 0,03 | |||||
ФХ002А | 0,02 | 1,5 | 0,02 | |||
ФХ002Б | 0,03 | |||||
ФХ003А | 0,03 | 0,02 | ||||
ФХ003Б | 0,03 | |||||
ФХ004А | 0,04 | 0,02 | ||||
ФХ004Б | 0,03 | |||||
ФХ005А | 65 | 0,05 | 1,5 | 0,03 | ||
ФХ005Б | 0,05 | |||||
ФХ006А | 0,06 | 0,03 | ||||
ФХ006Б | 0,05 | |||||
ФХ010А | 0,10 | 0,03 | ||||
ФХ010Б | 0,05 | |||||
ФХ015А | 0,15 | 0,03 | - | |||
ФХ015Б | 0,05 | |||||
ФХ025А | 0,25 | 2,0 | 0,03 | |||
ФХ025Б | 0,05 | |||||
ФХ050А | 0,50 | 0,03 | ||||
ФХ050Б | 0,05 | |||||
Примечания:
1. В обозначении марок феррохрома буквы означают; Ф - железо, Х - хром, Н - азот. Буквы А и Б указывают на различие в массовой доле фосфора. Цифры означают максимальное содержание углерода в марках низко-, средне- и высокоуглеродистого феррохрома и минимальное содержание азота в марках азотированного феррохрома.
2. По требованию покупателя низкоуглеродистый феррохром изготовляют:
с массовой долей кремния не более 0,2; 0,3; 0,6% в марках ФХ001А, ФХ001Б; не более 0,2; 0,3; 0,6; 0,8; 1,0% в марках ФХ002А, ФХ002Б, ФХ003А, ФХ003Б, ФХ004А, ФХ004Б, ФХ005А, ФХ006А, ФХ010А, ФХ015А; не более 1,5% в марке ФХ025А;
при этом допускается феррохром марок ФХ001А, ФХ001Б, ФХ002А, ФХ002Б, ФХ003А, ФХ003Б, ФХ004А, ФХ004Б изготовлять с массовой долей хрома не менее 65%;
с массовой долей фосфора не более 0,02% в марках ФХ005А, ФХ006А, ФХ010А;
с массовой долей азота не более 0,04; 0,03; 0,02; 0,01% и алюминия не более 0,1% в марках ФХ001А, ФХ001Б, ФХ002А, ФХ002Б, ФХ003А, ФХ003Б, ФХ004А, ФХ004Б, ФХ005А, ФХ010А;
с массовой долей хрома не менее 60% и кремния 6,0-12,0% в марках ФХ005А, ФХ005Б, ФХ006А, ФХ006Б, ФХ010А, ФХ010Б, ФХ015А, ФХ015Б, ФХ025А, ФХ025Б;
с массовой долей хрома не менее 90%, фосфора не более 0,01% в марках ФХ003А и ФХ004А.
Таблица 11
Феррохром низкоуглеродистый азотированный
Марка | Массовая доля, % | ||||||
хрома, не менее | углерода | кремния | фосфора | серы | алюминия | азота, | |
не более | |||||||
ФХН100А | 65 | 0,06 | 1,0 | 0,02 | 0,02 | 0,2 | 1,0 |
ФХН100Б | 0,03 | ||||||
ФХН200А | 0,03 | 2,0 | |||||
ФХН200Б | 0,04 | ||||||
ФХН400А | 0,03 | 0,04 | 4,0 | ||||
ФХН400Б | 0,04 | ||||||
ФХН600А | 60 | 0,03 | 0,03 | 6,0 | |||
ФХН600Б | 0,04 | ||||||
Примечание. По требованию покупателя низкоуглеродистый азотированный феррохром изготовляют:
с массовой долей углерода не более 0,02% во всех марках; не более 0,03% в марках ФХН100А, ФХН100Б, ФХН200А, ФХН200Б, ФХН400А, ФХН400Б;
с массовой долей алюминия не более 0,1% во всех марках.
Таблица 12
Феррохром среднеуглеродистый
Марка | Массовая доля, % | ||||
хрома, не менее | углерода | кремния | фосфора | серы | |
не более | |||||
ФХ100А | 65 | 2,0 | 0,03 | 0,02 | |
ФХ100Б | 1,0 | 0,05 | 0,04 | ||
ФХ200А | 0,03 | 0,02 | |||
ФХ200Б | 2,0 | 0,05 | 0,04 | ||
ФХ400А | 0,03 | 0,04 | |||
ФХ400Б | 4,0 | 0,05 | 0,04 | ||
Таблица 13
Феррохром высокоуглеродистый
Марка | Массовая доля, % | ||||
хрома, не менее | углерода | кремния | фосфора | серы | |
не более | |||||
ФХ650А | 65 | 2,0 | 0,03 | 0,06 | |
ФХ650Б | 6,5 | 0,05 | 0,08 | ||
ФХ800А | 0,03 | 0,06 | |||
ФХ800Б | 8,0 | 0,05 | 0,08 | ||
ФХ850А | 0,03 | 0,05 | |||
ФХ850Б | 8,5 | 0,05 | 0,08 | ||
ФХ900А | 0,03 | 0,04 | |||
ФХ900Б | 9,0 | 0,05 | 0,06 | ||
Примечание. По требованию покупателя высокоуглеродистый феррохром изготовляют:
с массовой долей углерода не более 5,0% в марке ФХ650А;
с массовой долей кремния не более 1,5% в марках ФХ650А, ФХ800А, ФХ850А, ФХ900А;
с массовой долей кремния 5,0-10,0% и серы не более 0,03% в марках ФХ800А и ФХ800Б.
Эти значения действительны для феррохрома качества, установленного в табл.2-9, и должны входить в соответствующие обозначения марок.
Обозначения конкретных марок дополняются величиной содержания углерода и других элементов, если необходимо, в соответствии с табл.2-9.
4.2.3*. Установленные в табл.2-9 пределы соответствуют диапазонам размеров частиц классов 1-7 в соответствии с табл.14.
________________
* Рекомендуемые требования.
4.2.4*. В табл.2-9 указаны только основные элементы и обычные примеси. По требованию покупателя и при согласии поставщика устанавливаются более узкие диапазоны содержания основных элементов и (или) пределы содержания неустановленных элементов.
________________
* Рекомендуемые требования.
4.2.5*. Химический состав, указанный в табл.2-9, приведен с точностью методов опробования и анализа феррохрома.
________________
* Рекомендуемые требования.
4.3. Диапазоны размеров частиц
4.3.1. Феррохром поставляется в кусках массой не более 20 кг или в виде дробленых и просеянных частиц. Высокоуглеродистый феррохром допускается изготовлять в чушках массой не более 30 кг. Диапазоны размеров частиц и допуски должны соответствовать таблице 14* и (или) таблице 15.
Таблица 14
Размер частиц
Класс | Диапазон размеров частиц, мм | Подрешетный продукт, %, не более, по массе | Надрешетный продукт, %, не более, | |
всего | менее 3,15 | |||
1 | 100-315 | 20 | 5 | 10 |
2 | 25-200 | 15 | 7 | Ни один кусок не должен превышать более чем в 1,15 раза максимальный предел установленного диапазона размеров в двух или трех измерениях |
3 | 10-100 | 15 | 7 | |
4 | 3,15-150 | 7 | ||
5 | 3,15-50 | 7 | ||
6 | 3,15-25 | 7 | ||
7 | До 3,15 | - | ||
Таблица 15
Класс крупности | Размер кусков (частиц), мм | Массовая доля продукта в партии, %, не более | ||||
надрешетного | подрешетного | |||||
1 | Св. | 100 | до | 315 | 10 | 20 |
2 | " | 50 | " | 200 | 10 | 10 |
3 | " | 5 | " | 200 | 5 | 5 |
4 | " | 5 | " | 100 | 10 | 10 |
5 | " | 20 | " | 50 | 10 | 10 |
6 | " | 5 | " | 50 | 10 | 10 |
7 | " | 5 | " | 20 | 10 | 10 |
Примечания:
1. 1-й класс крупности - для высокоуглеродистого феррохрома в чушках.
2. Размеры кусков (частиц) соответствуют номинальным размерам сторон квадратных ячеек в свету.
3. Размер кусков (частиц) в надрешетном продукте не должен превышать более чем в 1,15 раза верхний предел установленного диапазона размеров при ручной ориентации их в наиболее благоприятное положение для прохождения через отверстия сетки.
4. По требованию покупателя феррохром 2-го класса крупности поставляют с массовой долей подрешетного продукта 5-7%.
5. Класс крупности указывают цифрой в конце обозначения марки, например ФХ001Б-4.
4.3.2*. Феррохром также поставляется в виде гранул, максимальный размер которых 50 мм. Требуемый размер гранул согласуется между поставщиком и покупателем.
________________
* Рекомендуемые требования.
4.3.3. Масса подрешетного продукта установлена для пункта поставки материала покупателю*. Установленные размеры частиц проверяются путем просеивания на сите со стальной сеткой с квадратными отверстиями.
________________
* Пункт поставки - пункт, в котором ответственность за поставку переходит от поставщика к покупателю. Если ни поставщик, ни покупатель не несут ответственности за транспортировку, то такой пункт поставки устанавливается по взаимной договоренности.
4.3.4. По взаимной договоренности поставщика и покупателя устанавливаются диапазоны размеров частиц и (или) допуски иные, чем указаны в табл.14 и (или) табл.15.
4.3.5. При изготовлении феррохрома с установленной массой куска или чушки количество мелочи, проходящей через сетку с размерами ячеек 20х20 мм, не должно превышать 10% массы партии для высокоуглеродистого феррохрома и 5% - для низкоуглеродистого азотированного и среднеуглеродистого феррохрома.
По согласованию поставщика и покупателя низкоуглеродистый феррохром поставляют с количеством мелочи не более 10%.
4.3.6. По требованию покупателя изготовляют низко- и среднеуглеродистый феррохром средней плотности не менее 7,10 г/см и высокоуглеродистый феррохром средней плотности не менее 6,8 г/см
.
4.4. Поверхностные загрязнения
Поверхность и излом кусков феррохрома не должны иметь резко выраженных включений шлака, песка и других инородных материалов. На поверхности кусков допускаются окисная пленка и следы противопригарных материалов.
5. ТРЕБОВАНИЯ БЕЗОПАСНОСТИ
5.1. Пыль феррохрома малотоксична, обладает умеренным фиброгенным действием и по степени воздействия на организм человека относится к 3-му классу опасности в соответствии с ГОСТ 12.1.007 и ГОСТ 12.1.005.
5.2. Предельно допустимая концентрация (ПДК) феррохрома металлического в воздухе рабочей зоны - 2 мг/м в соответствии с ГОСТ 12.1.005.
5.3. Контроль содержания металлического феррохрома в воздухе проводят, как для веществ 3-го класса опасности в соответствии с методикой определения вредных веществ в воздухе, утвержденной Минздравом СССР.
5.4. В состав аэрозоля конденсации феррохрома входят соединения Сr (VI), которые относятся к 1-му классу опасности, - чрезвычайно опасные вещества в соответствии с ГОСТ 12.1.007.
5.5. Предельно допустимая концентрация (ПДК) хроматов, бихроматов (в пересчете на ) в воздухе рабочей зоны - 0,1 мг/м
в соответствии с ГОСТ 12.1.005.
5.6. Контроль содержания хроматов, бихроматов (в пересчете на) в воздухе проводят, как для веществ 1-го класса опасности в соответствии с ГОСТ 12.1.007 по методике определения вредных веществ в воздухе, утвержденной Минздравом СССР.
5.7. Феррохром в кусках, гранулах и в дробленом виде негорюч, пожаро- и взрывобезопасен.
6. ПРАВИЛА ПРИЕМКИ
6.1. Феррохром принимают партиями. Партия должна быть оформлена документом о качестве, содержащим:
товарный знак или наименование и товарный знак предприятия-изготовителя;
номер партии;
марку феррохрома и класс крупности;
химический состав;
формирование партии;
массу брутто и нетто;
дату изготовления;
номер вагона;
штамп технического контроля;
обозначение настоящего стандарта;
количество грузовых мест для феррохрома, транспортируемого в упакованном виде.
6.2. Объем выборки от партии для контроля химического состава и оценки поверхности кусков - по ГОСТ 24991.
Допускается на предприятии-изготовителе для контроля химического состава отбирать пробу от жидкого металла.
6.3. Объем выборки от партии для контроля размера максимального куска и количества надрешетного и подрешетного продуктов - по ГОСТ 22310.
6.4. Определение массовой доли хрома, углерода, кремния и фосфора во всех марках феррохрома, серы в высокоуглеродистом и среднеуглеродистом феррохроме, азота в азотированном феррохроме проводят в каждой партии. Массовую долю серы в низкоуглеродистом феррохроме изготовитель определяет на каждой 400-й плавке.
6.5. Контроль размера максимального куска и количества надрешетного и подрешетного продуктов в партии феррохрома проводят на каждой 500-й плавке.
6.6. Среднюю плотность определяют по требованию покупателя по ГОСТ 25732 или другими методами, обеспечивающими требуемую точность определения.
6.7. При получении неудовлетворительных результатов испытаний хотя бы по одному из показателей по нему проводят повторные испытания на удвоенной выборке, отобранной от той же партии. При получении неудовлетворительных результатов повторных испытаний партию бракуют.
7. МЕТОДЫ ИСПЫТАНИЙ
7.1. Испытания у поставщика
7.1.1. Отбор и подготовка проб для химического и ситового анализов
7.1.1.1. Отбор и подготовка проб для химического и ситового анализов проводятся методами, установленными в ГОСТ 17260*, ГОСТ 22310, ГОСТ 24991, а также и другими методами, дающими такую же точность.
________________
* С 1 января 2011 г. действует ГОСТ 17260-2009 (ИСО 3713:1987).
7.1.1.2. Отбор проб обычно проводится на складе поставщика, если нет какой-либо другой договоренности. Где бы пробоотбор ни проводился, представители поставщика и покупателя могут присутствовать.
7.1.2. Химический анализ
7.1.2.1. Химический анализ феррохрома проводится методами, установленными в ГОСТ 27069, ГОСТ 27041, ГОСТ 21600.3, ГОСТ 21600.4, ГОСТ 21600.6, ГОСТ 21600.17, ГОСТ 21600.18, а также другими методами, дающими такую же точность.
7.2. Испытания у покупателя
7.2.1. По требованию покупателя феррохром поставляют с пробой, представляющей партию.
7.2.2. При необходимости покупатель проводит контрольные испытания химического и гранулометрического состава партии. При контроле химического состава могут быть использованы два варианта:
1) покупатель проводит анализ пробы, представленной поставщиком вместе с партией;
2) покупатель проводит отбор проб и их анализ в соответствии с пп.7.1.1, 7.1.2.
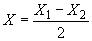
7.2.3. При проведении контрольных испытаний по первому варианту должно выполняться условие
, (1)
где - значение показателя качества по данным поставщика;
- результат контрольного анализа у потребителя;
- допускаемое расхождение двух результатов, установленное в стандартах на методы анализа.
7.2.4. При проведении контрольных испытаний по второму варианту должно выполняться условие
, (2)
где - общая погрешность контроля качества, установленная в ГОСТ 24991.
7.2.5. Если по результатам контрольного анализа подтверждается условие (1) или (2), то качество партии считается удовлетворительным, а численное значение показателя качества () может быть уточнено по формуле
. (3)
7.2.6. Если по результатам контрольного анализа условие (1) или (2) не подтверждается, то покупатель может провести повторные контрольные испытания или арбитражные испытания, если нет другой договоренности.
7.3. Арбитражные испытания
7.3.1. При необходимости арбитражный отбор проб проводит арбитр, выбранный по взаимной договоренности поставщика и покупателя. Пробоотбор проводится методами, установленными в ГОСТ 17260, ГОСТ 24991, но при взаимной договоренности поставщика, покупателя и арбитра применяются другие методы, обеспечивающие такую же точность.
Проба, полученная при арбитражном отборе, принимается обеими заинтересованными сторонами.
7.3.2. Арбитражный анализ проводится методами, установленными в ГОСТ 27069, ГОСТ 27041, ГОСТ 21600.3, ГОСТ 21600.4, ГОСТ 21600.6, ГОСТ 21600.17, ГОСТ 21600.18. При взаимной договоренности поставщика, покупателя и арбитра могут использоваться и другие методы.
Результат, полученный арбитром, считается окончательным, если нет другой договоренности.
7.4. Максимальную массу куска определяют взвешиванием.
7.5. Чистоту поверхности кусков оценивают визуально.
8. ТРАНСПОРТИРОВАНИЕ И ХРАНЕНИЕ
8.1. Упаковка, маркировка, транспортирование и хранение - по ГОСТ 26590 с дополнением.
При транспортировании нескольких партий неупакованного феррохрома одним транспортным средством должно быть предусмотрено разделение партий перегородками, исключающими возможность их перемешивания.
По требованию покупателя феррохром любой марки и класса крупности должен быть упакован.
8.2*. Феррохром упаковывают, транспортируют и хранят в соответствии с международными правилами**.
________________
* Рекомендуемые требования.
** Международные правила:
РИД - Международные правила перевозки опасных грузов железнодорожным транспортом. Приложение В;
________________
* На территории Российской Федерации документ не действует в соответствии с Федеральным законом от 17.07.2009 N 152-ФЗ. - Примечание изготовителя базы данных.
ИМКО - Международные правила перевозки опасных грузов морским транспортом;
АДР - Европейские правила перевозки опасных грузов автомобильным транспортом*.
________________
* С текстом документа можно ознакомиться на Интернет-портале "Техэксперт" www.cntd.ru/633200096.html. - Примечание изготовителя базы данных.
Электронный текст документа
подготовлен АО "Кодекс" и сверен по:
официальное издание
Сварка, пайка и термическая резка металлов.
Часть 7. Материалы для электродных покрытий:
Сборник национальных стандартов. -
М.: Стандартинформ, 2011
Разместите заказ
сами сделают вам предложение
