ГОСТы сталей. ГОСТ 30456-97
ГОСТ 30456-97
Группа В09
МЕЖГОСУДАРСТВЕННЫЙ СТАНДАРТ
Металлопродукция
ПРОКАТ ЛИСТОВОЙ И ТРУБЫ СТАЛЬНЫЕ
Методы испытания на ударный изгиб
Metal production. Rolled steel and tubes. Methods of blow bending tests
МКС 77.040.10
ОКСТУ 1309
Дата введения 2000-01-01
Предисловие
1 РАЗРАБОТАН Государственным научно-исследовательским и конструкторско-технологическим институтом трубной промышленности (ГТИ), Межгосударственным техническим комитетом по стандартизации МТК 7
ВНЕСЕН Государственным комитетом Украины по стандартизации, метрологии и сертификации
2 ПРИНЯТ Межгосударственным Советом по стандартизации, метрологии и сертификации (протокол N 11 от 23 апреля 1997 г.)
За принятие проголосовали:
Наименование государства | Наименование национального органа |
Азербайджанская Республика | Азгосстандарт |
Республика Армения | Армгосстандарт |
Республика Беларусь | Госстандарт Беларуси |
Республика Казахстан | Госстандарт Республики Казахстан |
Киргизская Республика | Киргизстандарт |
Республика Молдова | Молдовастандарт |
Российская Федерация | Госстандарт России |
Республика Таджикистан | Таджикгосстандарт |
Туркменистан | Главная государственная инспекция Туркменистана |
Республика Узбекистан | Узгосстандарт |
Украина | Госстандарт Украины |
3 Постановлением Государственного комитета Российской Федерации по стандартизации и метрологии от 28 апреля 1999 г. N 150 межгосударственный стандарт ГОСТ 30456-97 введен в действие непосредственно в качестве государственного стандарта Российской Федерации с 1 января 2000 г.
4 ВВЕДЕН ВПЕРВЫЕ
5 ИЗДАНИЕ (октябрь 2002 г.) с Поправкой (ИУС 9-2000)
1 Область применения
1 Область применения
Настоящий стандарт устанавливает методы испытания образцов из основного металла стальных труб диаметром 508 мм и более, толщиной стенки более 7,5 мм и листового проката (далее - листа) такой же толщины для их производства.
Метод основан на разрушении образца с концентратором одним ударом бойка свободно падающего груза вертикального копра (ВК) или маятника копра при комнатной и пониженной температурах, указанных в нормативных документах на металлопродукцию. В результате испытания падающим грузом (ИПГ) определяют количество вязкой составляющей в изломе образца в процентах.
2 Нормативные ссылки
В настоящем стандарте использованы ссылки на следующие стандарты:
ГОСТ 2789-73 Шероховатость поверхности. Параметры и характеристики
ГОСТ 9293-74 (ИСО 2435-73) Азот газообразный и жидкий. Технические условия
ГОСТ 12162-77 Двуокись углерода твердая. Технические условия
ГОСТ 28498-90 Термометры жидкостные стеклянные. Общие технические требования. Методы испытаний
3 Методы отбора проб и изготовления образцов
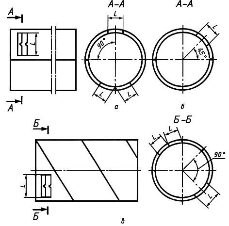
3.1 Пробу (заготовку) для изготовления образцов от трубы следует вырезать поперек продольной оси трубы в соответствии с рисунком 1.
Рисунок 1 - Схема вырезки образцов

- прямошовная труба с одним швом; б - прямошовная труба с двумя швами;
в - спирально-шовная труба; - длина образца
Рисунок 1 - Схема вырезки образцов
3.2 Пробу (заготовку) для изготовления образцов от листа следует вырезать поперек оси проката в первой четверти ширины листа.
3.3 Количество труб или листов, отбираемых для испытания, регламентируется нормативными документами на конкретную металлопродукцию.
3.4 При вырезке пробы (заготовки) огневым способом припуск от линии реза до края образца должен быть не менее толщины листа или толщины стенки трубы в целях предохранения образца от влияния нагрева, но не менее 15 мм.
3.5 На поверхностях и торцах проб не допускаются наплыв и брызги расплавленного металла.
3.6 Вырезанную пробу маркируют для идентификации образцов.
3.7 Правку пробы от труб выполняют статической нагрузкой. Стрела прогиба после правки должна быть не более 2 мм на длине пробы.
3.8 Из отобранных проб изготовляют по два образца на одну температуру испытания, если нет других указаний в нормативных документах на металлопродукцию.
3.9 Допускается применять образцы с невыпрямленной средней частью на длине 25-50 мм (невыпрямленный образец), при этом оба конца пробы рекомендуется выправлять одновременно.
При наличии расхождения в результатах, полученных при испытаниях выпрямленных и невыпрямленных образцов и при арбитражных испытаниях, невыпрямленные образцы являются предпочтительными.
3.10 Формы и размеры образцов для ИПГ должны соответствовать указанным на рисунке 2.
Рисунок 2 - Форма и размеры образца для ИПГ

- толщина стенки, мм
Рисунок 2 - Форма и размеры образца для ИПГ
3.11 Концентратор на образце выполняют методами вдавливания и резания с соблюдением размеров, указанных на рисунках 2 и 2б соответственно.
Метод нанесения концентратора выбирают по соглашению потребителя металлопродукции и изготовителя листа и труб.
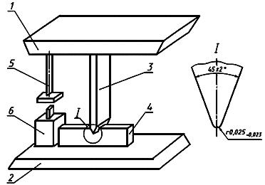
Принципиальная схема рекомендуемого приспособления для нанесения концентратора методом вдавливания и размеры рабочей части ножа приведены на рисунке 3.
Рисунок 3 - Принципиальная схема приспособления для нанесения концентратора на образец

1, 2 - подвижная и неподвижная траверсы; 3 - нож; 4 - образец;
5 - контактный стержень; 6 - конечный выключатель
Рисунок 3 - Принципиальная схема приспособления для нанесения концентратора на образец
3.12 Толщина образцов от труб и листа соответствует полной толщине металлопродукции.
3.13 По соглашению изготовителя и потребителя металлопродукции образцы от труб или листа толщиной более 19 мм могут быть изготовлены уменьшенной до 19 мм толщины путем механической обработки с одной или обеих сторон пробы.
Шероховатость обработанных поверхностей должна быть не более 20 мкм по ГОСТ 2789.
Допускается уменьшение толщины стенки до 19 мм расточкой или обточкой трубы до вырезки пробы.
4 Аппаратура и материалы
4.1 Маятниковые и вертикальные копры со свободно падающим грузом с запасом энергии, достаточным для разрушения образца одним ударом.
4.1.1 Установка образца должна обеспечивать расположение концентратора симметрично относительно опор, и его ось должна совпадать с осевой линией бойка с точностью ±2 мм.
4.1.2 Образец должен располагаться на опорах копра и поддерживаться специальными упорами так, чтобы исключить его боковое вращение во время удара при испытании.
4.1.3 Скорость бойка в момент удара образца должна составлять не менее 5 м/с.
(Поправка).
4.1.4 Основные размеры опор и бойка должны соответствовать указанным на рисунке 2.
4.2 Термостат, обеспечивающий равномерное охлаждение, отсутствие агрессивного воздействия охлаждающей среды на образцы и снабженный средствами контроля температуры.
4.3 В качестве хладагента используется смесь жидкого азота по ГОСТ 9293 или твердой углекислоты по ГОСТ 12162 с незамерзающей при температуре испытания нетоксичной жидкостью (например этиловый спирт) или пары жидкого азота.
4.4 Термометры погрешностью не более ±1 °С для измерения температуры охлаждающей среды, стеклянные жидкостные по ГОСТ 28498 или другие приборы, имеющие такую же точность.
5 Проведение испытаний
5.1 Образцы укладывают в ванну термостата с промежутком между ними и стенками ванны не менее, чем толщина образца.
Высота охлаждающей жидкости над образцом должна быть не менее толщины образца.
Для обеспечения равномерного охлаждения рекомендуется использовать перемешивание охлаждающей среды.
Соприкасающиеся с образцом части приспособлений для извлечения образцов из охлаждающей жидкости должны охлаждаться одновременно с образцами.
При извлечении образцов из ванны уровень жидкости над оставшимися образцами должен быть не менее толщины образцов.
5.2 Температура охлаждающей среды ванны должна соответствовать температуре испытания, установленной НД на металлопродукцию с погрешностью ±2 °С.
5.3 Образцы толщиной 19 мм и менее после достижения заданной температуры выдерживают в ванне не менее 15 мин. Образцы толщиной более 19 мм выдерживают не менее 30 мин.
Если образцы испытывают постоянно более чем через 10 с после извлечения из ванны, то необходимо переохлаждать их на величину температуры, устанавливаемую экспериментально.
5.4 При охлаждении образцов в парах жидкого азота их выдерживают в ванне термостата не менее 1 ч.
5.5 Образцы должны извлекаться из ванны термостата и подвергаться разрушению в течение не более 10 с. Если охлажденный образец находился вне ванны более 10 с до начала разрушения, то его следует вновь поместить в ванну с заданной температурой не менее чем на 10 мин.
5.6 Образцы уменьшенной толщины по сравнению с толщиной стенки трубы или исходной толщиной листа следует испытывать при температуре ниже заданной на величину, указанную в таблице 1.
Таблица 1
Номинальная толщина стенки трубы или листа, мм | Величина понижения температуры испытания, °С |
От 19 до 22 включ. | 6 |
Св. 22 " 29 " | 11 |
" 29 " 40 " | 17 |
5.7 Образец устанавливают на опорах так, чтобы удар бойка был нанесен со стороны, противоположной концентратору.
5.8 После разрушения образца, высыхания его частей и достижения ими комнатной температуры определяют количество вязкой составляющей.
6 Обработка результатов
6.1 При подсчете количества вязкой составляющей в изломе образцов толщиной до 19 мм включительно из рассмотрения исключают участки излома (толщина образца), примыкающие к концентратору и месту удара бойка (рисунок 4).
Рисунок 4 - Схема определения процента вязкой составляющей в изломе образца





Рисунок 4 - Схема определения процента вязкой составляющей в изломе образца
Для образцов толщиной более 19 мм исключают из рассмотрения участки длиной не , а 19 мм с каждой стороны.
(Поправка).
6.2 Количество вязкой составляющей в изломе , %, вычисляют по формуле
, (1)
где - доля хрупкой составляющей в рассматриваемой площади излома.
6.3 Поверхность вязкого излома характеризуется тусклым серым видом с характерными "волокнами" и обычно располагается под углом к боковой поверхности образца.
Поверхность хрупкого излома на вид кристаллическая, без видимых следов пластической деформации на поверхности разрушения. Участки хрупкого излома обычно примыкают к основанию концентратора и месту удара.
6.4 Площадь хрупкой составляющей определяют следующими способами:
6.4.1 Измерением площади хрупкого излома с помощью планиметра по фотографии или по оптической проекции поверхности излома.
6.4.2 Визуальным сравнением поверхности излома с эталонными образцами или их фотографиями, на которых доля хрупкой составляющей заранее определена.
6.4.3 Измерением размеров участков хрупкого излома и вычислением их суммарной площади.
6.5 Измерение геометрических параметров участков излома, занимаемых хрупкой составляющей, производят с погрешностью до ±0,1 мм.
6.6 При применении метода по 6.4.3 в зависимости от вида излома могут применяться несколько способов определения количества вязкой составляющей (см. рисунок 4).
6.6.1 Если излом полностью вязкий, за исключением возможных пятен хрупкого излома в зонах длиной или 19 мм, прилегающих к надрезу и к месту удара бойка, то его определяют на 100% вязким (рисунок 4
).
6.6.2 Если излом полностью хрупкий (кристаллический с губами среза менее 0,5 мм), то он считается имеющим ноль процентов вязкой составляющей (рисунок 4б).
6.6.3 В случае смешанного излома, когда середина излома по толщине хрупкая, а примыкающие к боковым поверхностям образца губы среза более 0,5 мм, количество вязкой составляющей подсчитывают после определения трех размеров по ширине хрупкой зоны излома
(рисунок 4в).
Количество вязкой составляющей в изломе, %, вычисляют по формуле
. (2)
(Поправка).
6.6.4 Смешанный излом, имеющий хрупкую составляющую в форму языка с основанием в месте удара или на дне концентратора.
Измеряют ширину хрупкой зоны
в трех сечениях на равных расстояниях от вершины языка (рисунок 4г).
Количество вязкой составляющей в изломе, %, вычисляют по формуле
, (3)
где - высота языка, мм;
- расчетная высота образца, мм.
6.6.5 При смешанном изломе (рисунок 4д), имеющем отдельные хрупкие пятна по всему вязкому сечению расчетной части образца, количество вязкой составляющей в изломе, %, вычисляют по формуле
, (4)
где - площадь отдельного пятна, мм
.
Площадь каждого хрупкого пятна определяют как полусумму площадей вписанных и описанных элементарных геометрических фигур (круга, прямоугольника или треугольника).
(Поправка).
6.7 Погрешность определения доли вязкой составляющей в изломе по настоящему стандарту находится в интервале ±3% с доверительной вероятностью =95%.
6.8 Округление вычисленного количества вязкой составляющей производят до 5%.
6.9 Если в процессе испытания обнаружится несоблюдение температурного режима, неправильность центровки образца на опорах копра, несоосность приложения нагрузки по отношению к оси концентратора и другие нарушения работы копра, а также если образец имеет дефекты металла или некачественно подготовлен, независимо от того, обнаружено это до или после разрушения образца, результаты испытаний признают недействительными и проводят повторные испытания на таком же количестве образцов.
6.10 Исходные данные образца, все расчеты по количеству вязкой составляющей в изломе образца записывают в рабочий журнал и хранят его в течение трех лет. Результаты испытаний записывают в протокол, форма которого приведена в приложении А.
ПРИЛОЖЕНИЕ А (рекомендуемое). Форма протокола испытания
ПРИЛОЖЕНИЕ А
(рекомендуемое)
ПРОТОКОЛ N
Испытания образцов на ударный изгиб свободно падающим грузом
Тип копра
Максимальный запас энергии удара при испытании
Высота подъема груза (бабы)
Скорость маятника (бабы) в момент удара
Вид и размеры испытываемой металлопродукции, номер и наименование нормативного документа на нее
Марка испытываемого материала
Дата проведения испытания
Наименование организации, проводившей испытания
Маркировка образца | Номер плавки | Номер партии | Толщина образца, мм | Температура испытания, °С | Количество вязкой составляющей, % | |
в каждом | среднее по двум образцам | |||||
Руководитель лаборатории
Исполнитель
Текст документа сверен по:
официальное издание
М.: ИПК Издательство стандартов, 2003
Разместите заказ
сами сделают вам предложение
