ГОСТы сталей. ГОСТ 25948-83
ГОСТ 25948-83
(СТ СЭВ 3910-82)
Группа В09
ГОСУДАРСТВЕННЫЙ СТАНДАРТ СОЮЗА ССР
АРСЕНИД ГАЛЛИЯ И ФОСФИД ГАЛЛИЯ МОНОКРИСТАЛЛИЧЕСКИЕ
Измерение удельного электрического сопротивления и коэффициента Холла
Monocrystal gallium arsenide and gallium phosphide. Measurement of specific electric resistance and Hall-coefficient
ОКСТУ 1772
Срок действия с 01.01.85
до 01.01.90*
________________________________
* Ограничение срока действия снято
по протоколу N 4-93 Межгосударственного Совета
по стандартизации, метрологии и сертификации
(ИУС N 4, 1994 год). - Примечание изготовителя базы данных.
РАЗРАБОТАН Министерством цветной металлургии СССР
ИСПОЛНИТЕЛИ
А.В.Елютин, Н.Н.Соловьев, Н.И.Сучкова, В.М.Михайлов
ВНЕСЕН Министерством цветной металлургии СССР
Член Коллегии А.П.Снурников
УТВЕРЖДЕН И ВВЕДЕН В ДЕЙСТВИЕ Постановлением Государственного комитета СССР по стандартам от 28 октября 1983 г. N 5178
ВНЕСЕНО Изменение N 1, утвержденное и введенное в действие с 01.01.90 постановлением Госстандарта СССР от 22.03.89 N 606
Изменение N 1 внесено изготовителем базы данных по тексту ИУС N 6, 1989 год
Настоящий стандарт устанавливает метод измерения удельного электрического сопротивления, коэффициента Холла и определения типа электропроводности, концентрации и холловской подвижности основных носителей заряда для полупроводниковых материалов с удельным электрическим сопротивлением от 10 до 10
Ом·см монокристаллических арсенида галлия и фосфида галлия.
Стандарт полностью соответствует СТ СЭВ 3910-82.
(Измененная редакция, Изм. N 1).
1. СУЩНОСТЬ МЕТОДА
1. СУЩНОСТЬ МЕТОДА
1.1. Определение удельного электрического сопротивления основано на измерении продольного электрического поля и плотности тока
, вызываемого этим полем.
1.2. Определение коэффициента Холла основано на измерении поперечного электрического поля
, возникающего в полупроводнике, помещенном в магнитное поле индукций при протекании через него тока плотностью
в направлении, перпендикулярном магнитному полю.
1.3. Тип электропроводности полупроводникового материала устанавливают по знаку ЭДС Холла в соответствии с черт.1.
(Измененная редакция, Изм. N 1).

Черт.1*
_______________
* Чертеж 1. (Измененная редакция, Изм. N 1).
1.4. Концентрацию и подвижность основных носителей заряда определяют расчетным путем на основании данных по измерению удельного электрического сопротивления и коэффициента Холла.
2. АППАРАТУРА
2.1. Структурная схема установки для измерения удельного электрического сопротивления и коэффициента Холла представлена на черт.2.

1 - измеряемый образец; 2 - магнит; 3 - источник постоянного тока; 4 - измерительное устройство; 5 - коммутирующее устройство
Черт.2
2.1.1. Измерительная установка должна быть аттестована. Основная относительная погрешность установки при контроле образцов с удельным электрическим сопротивлением
Ом·см не должна превышать при измерении удельного электрического сопротивления ±5% и коэффициента Холла ±8%; при контроле образцов с удельным электрическим сопротивлением
Ом·см не должна превышать соответственно ±12% и ±15%.
2.1.2. Допускается проведение измерений и обработка результатов с использованием средств автоматизации по алгоритмам, изложенным в настоящем стандарте, в частности использование установок типа "Холл-100", "Холл-200" при условии соблюдения требований п.2.1.1.
2.1.1, 2.1.2. (Введены дополнительно, Изм. N 1).
2.2. Требования к элементам структурной схемы в зависимости от параметров измеряемого материала приведены в табл.1-2.
2.2.1. Магнит, обеспечивающий создание магнитных полей изменяемой полярности, должен удовлетворять требованиям табл.1.
Таблица 1
Наименование материала | Подвижность основных носителей заряда | Магнитная индукция в зазоре магнита В, Тл, не более | Допустимая неоднородность магнитного поля в области измерения, %, не более |
Арсенид галлия | 3·10 | 1,0 | ±3 |
7·10 | 0,7 | ||
1·10 | 0,5 | ||
Фосфид галлия | 2·10 | 1,0 | ±3 |
Примечание. Измерение коэффициента Холла в арсениде галлия -типа электропроводности с концентрацией основных носителей заряда более 1·10
см
выполняют при значении В не менее 0,7 Тл.
2.2.2. Источник постоянного тока, обеспечивающий создание в измерительной цепи электрического тока изменяемой полярности, должен удовлетворять требованиям табл.2. Погрешность регистрации электрического тока не должна превышать 1% при измерении материала с удельным электрическим сопротивлением
Ом·см и 3% при измерении полуизолирующего материала с удельным электрическим сопротивлением
Ом·см.
Таблица 2
Удельное электрическое сопротивление | Значение электрического тока | Допустимая нестабильность электрического тока за время измерения, %, не более | Входное электрическое сопротивление измерительного прибора | Чувствительность измерительного прибора, |
5·10 | 5·10 | ±1 | 10 | 10 |
3·10 | 2·10 | ±1 | 10 | 10 |
1·10 | 1·10 | ±1 | 10 | 10 |
1·10 | 1·10 | ±1 | 10 | 10 |
1·10 | 1·10 | ±1 | 10 | 10 |
1·10 | 1·10 | ±1 | 10 | 10 |
1·10 | 1·10 | ±1 | 10 | 10 |
1·10 | 1·10 | ±1 | 10 | 10 |
1·10 | 5·10 | ±5 | 10 | 10 |
1·10 | 5·10 | ±5 | 10 | 10 |
1·10 | 5·10 | ±5 | 10 | 10 |
1·10 | 5·10 | ±5 | 10 | 10 |
2.2.1, 2.2.2. (Измененная редакция, Изм. N 1).
2.2.3. Прибор для измерения электрического напряжения должен удовлетворять требованиям табл.2.
Погрешность измерения электрического напряжения не должна превышать 1% при контроле материала с удельным электрическим сопротивлением
Ом·см и 2,5% - при контроле полуизолирующего материала с удельным электрическим сопротивлением
Ом·см.
2.2.4. Коммутирующее устройство должно обеспечивать при контроле одного образца проведение измерительных операций с использованием одного измерительного прибора. Значение величины электрического сопротивления изоляции контактов коммутирующего устройства не должно быть менее входного электрического сопротивления измерительного устройства.
2.2.3, 2.2.4. (Измененная редакция, Изм. N 1).
2.3. Вспомогательные средства
2.3.1. Держатель образца должен обеспечивать:
перпендикулярность плоскости образца направлению магнитного поля с отклонением от перпендикулярности не более ±3°;
возможность проведения измерений при затемнении образца;
соответствие электроизоляционных свойств конструкционных материалов сопротивлению измерительного прибора.
2.3.2 Микрометр или другой инструмент для измерения толщины образца с погрешностью не более 1·10 см и с погрешностью не более 3·10
см для измерения толщины
0,06 см.
2.3.3. (Исключен, Изм. N 1).
2.3.4. Прибор для измерения абсолютного значения, магнитной индукции с погрешностью не более 2%.
2.3.5. Термометр с погрешностью измерения не более 0,5 К.
3. МЕТОДЫ ОТБОРА ОБРАЗЦОВ
3.1. Измерения проводят на образцах в виде плоскопараллельных пластин в форме квадрата (черт.3) или произвольной формы, либо на образцах крестообразной формы (черт.4).

Черт.3

Черт.4
(Измененная редакция, Изм. N 1).
3.1.1. Допускается проводить измерения на образцах в форме параллелепипеда, удовлетворяющих требованиям к образцам крестообразной формы (табл.3).
(Введен дополнительно, Изм. N 1).
3.2. Измерения полуизолирующего материала с удельным электрическим сопротивлением >10
Ом·см проводят на образцах крестообразной формы (либо в форме параллелепипеда).
3.3. Требования к характеристикам образцов приведены в табл.3.
Таблица 3
Форма образца | Длина образца | Ширина образца | Толщина образца | Допускаемое отклонение от средней толщины образца, %, | Расстояние между контактами | Отношение линейных размеров контактов к минимальному расстоянию между ними, не более |
Пластина | не менее 0,5 | не менее 0,5 | 0,02-0,1 | ±5 | - | 0,1 |
>0,1-0,2 | ±2,5 | - | 0,1 | |||
Крест |
|
| 0,02-0,1 | ±5 |
| - |
>0,1-0,2 | ±2,5 |
Для пластин произвольной формы поперечный размер образца должен быть не менее 0,7 см.
3.2, 3.3. (Измененная редакция, Изм. N 1).
4. ПОДГОТОВКА К ИЗМЕРЕНИЯМ
4.1. На образец крестообразной формы наносят шесть электрических контактов.
4.2. На образец в виде плоскопараллельной пластины наносят четыре электрических контакта, располагая их на торцовой поверхности или периферии пластины.
(Измененная редакция, Изм. N 1).
4.3. Электрические контакты должны обладать:
линейной вольт-амперной характеристикой (результаты измерения не должны зависеть от конкретных режимов измерений);
малым переходным сопротивлением (рекомендуемые методы оценки устанавливаются в зависимости от вида полупроводниковых монокристаллических материалов).
4.4. Перед выполнением измерений электрофизических параметров измеряют геометрические размеры образца.
4.4.1. Толщину образца в виде плоскопараллельной пластины измеряют в трех точках: одной в центре и двух на периферии пластины. Если поперечный линейный размер образца превышает 5 см, толщину образца измеряют в 5 точках: одной в центре и четырех на периферии образца. За результат измерения толщины принимают среднее арифметическое полученных значений.
4.4.2. Геометрические размеры образцов крестообразной формы измеряют два раза в противоположных концах образца. За результат измерений принимают среднее арифметическое полученных значений.
4.4, 4.4.1, 4.4.2. (Введены дополнительно, Изм. N 1).
5. ПРОВЕДЕНИЕ ИЗМЕРЕНИЙ
5.1. Измерения проводят при фиксированной температуре. Допускаемое отклонение температуры за время измерения не более 0,5 К.
5.2. Проведение измерений на образцах в виде плоскопараллельных пластин.
5.2.1. Образец устанавливают в держатель и пропускают через него электрический ток, используя соседнюю по периметру образца пару контактов. Фиксируют значение тока и разности потенциалов
, возникающей на второй паре контактов, в следующем порядке:
,
;
,
;
,
;
,
.
(Измененная редакция, Изм. N 1).
5.2.2. Вводят магнитное поле, фиксируют значения тока , магнитной индукции
и разности потенциалов
в следующем порядке:
,
;
,
;
,
;
, ![]()
Цифровые индексы соответствуют контактам образца (черт.3). Значения токов при измерениях в пределах одного пункта (5.2.1 или 5.2.2) должны быть одинаковыми; значения токов при выполнении измерений по разным пунктам могут различаться в пределах требования табл.2.
5.3. Проведение измерений на образцах крестообразной формы
5.3.1. Образец устанавливают в держатель и пропускают через него электрический ток. Фиксируют значения электрического тока в двух направлениях ,
и разности потенциалов
:
;
;
;
.
5.3.2. Вводят магнитное поле, фиксируют значения магнитной индукции В, электрического тока в двух направлениях ,
и разности потенциалов
:
,
;
,
;
,
;
,
.
Цифровые индексы соответствуют контактам образца (черт.4).
6. ОБРАБОТКА РЕЗУЛЬТАТОВ
6.1. Обработка результатов измерений на образце в форме плоскопараллельной пластины
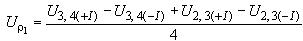
6.1.1. Значения напряжений ,
,
,
и коэффициенты
,
вычисляют по формулам:
; (1)
; (2)
; (3)
. (4)
При вычислении значений напряжений ,
и коэффициентов
,
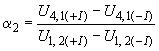
алгебраически учитывают знаки величин, полученных при измерениях.
При определении коэффициентов и
делят большую сумму на меньшую, чтобы получить результат более 1.
; (5)
. (6)
При определении значений и
алгебраически учитывают знаки величин, полученных при измерениях.
(Измененная редакция, Изм. N 1).
6.1.2. Определяют поправочные коэффициенты и
, в соответствии с обязательным приложением.
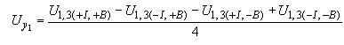
6.1.3. Средние значения напряжений и
вычисляют по формулам:
; (7)
. (8)
6.1.4. Удельное электрическое сопротивление , Ом·см, вычисляют по формуле
, (9)
где - значение электрического тока, при котором проводились измерения по п.5.2.1, А;
- толщина измеряемого образца, см;
- среднее значение напряжения при измерении удельного электрического сопротивления, В.
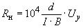
6.1.5. Коэффициент Холла , см
/Кл, вычисляют по формуле
, (10)
где - значение индукции магнитного поля, Т;
- значение электрического тока, при котором проводились измерения по п.5.2.2, А;
- среднее значение ЭДС Холла, В.
6.1.6. Концентрацию основных носителей заряда , см
, вычисляют по формуле
, (11)
где - заряд электрона;
Кл; - холловский фактор, принимаемый равным 1.
(Измененная редакция, Изм. N 1).
6.1.7. Холловскую подвижность основных носителей заряда , см
, вычисляют по формуле
. (12)
6.2. Обработка результатов измерений на образце крестообразной формы
6.2.1. Значения напряжений ,
,
вычисляют по формулам:
; (13)
; (14)
. (15)
При определении значений ,
,
- алгебраически учитывают знаки величин, полученных при измерениях.
(Измененная редакция, Изм. N 1).
6.2.2. Средние значения ,
,
вычисляют по формулам:
; (16)
; (17)
. (18)
6.2.3. Удельное электрическое сопротивление , Ом·см, и коэффициент Холла
, см
/Кл, вычисляют по формулам:
; (19)
, (20)
где ,
- значения электрического тока, вычисленные по формулам (17) и (18), А;
- площадь поперечного сечения образца, см
:
,
где - толщина образца, см;
- ширина образца, см;
,
- значения напряжений, вычисленные по формулам (13), (16), В;
- значение индукции магнитного поля в зазоре магнита, Т;
- расстояние между контактами 1 и 2, 3 и 4, см (чер
т.4).
6.2.4. Концентрацию и подвижность основных носителей заряда вычисляют по формулам (11) и (12).
6.2.5. Значения удельного электрического сопротивления и концентрации основных носителей заряда в полуизолирующих материалах (
Ом·см) могут быть приведены к температуре по формулам
; (21)
; (22)
, (23)
где - постоянная Больцмана;
эВ К;
- температура измерения, К;
- энергия активации глубокого примесного центра, определяющего полуизолирующие свойства материала, эВ.
Для GaAs -типа электропроводности
эВ.
Для GaP<Fe<р-типа электропроводности
э
В.
6.2.6. Результаты измерений представляют числом с тремя значащими цифрами с указанием порядка величины. Результаты измерений и вычислений округляют в соответствии с правилом: если первая (справа налево) из отбрасываемых цифр более или равна 5, то последнюю цифру увеличивают на 1; если менее 5, то оставшиеся цифры не изменяют.
6.2.7. Интервал, в котором находится минимальное значение суммарной погрешности измерения удельного электрического сопротивления с доверительной вероятностью
, составляет ±5% для образцов с удельным электрическим сопротивлением
Ом·см; ±12% для образцов с удельным электрическим сопротивлением
Ом·см.
6.2.8. Интервал, в котором находится минимальное значение суммарной погрешности измерения концентрации основных носителей заряда с доверительной вероятностью
, составляет ±8% для образцов с удельным электрическим сопротивлением
Ом·см; ±15% для образцов с удельным электрическим сопротивлением
Ом·см.
6.2.9. Интервал, в котором находится минимальное значение суммарной погрешности измерения подвижности основных носителей заряда с доверительной вероятностью
, составляет ±8% для образцов с удельным электрическим сопротивлением
Ом·см; ±10% для образцов с удельным электрическим сопротивлением
Ом·см.
6.2.10. Наличие в контролируемом образце посторонних включений, неоднородности распределения электрофизических параметров приводит к увеличению суммарной погрешности измерений, которую устанавливают при метрологической аттестации метода применительно к конкретной продукции.
6.2.5-6.2.10. (Введены дополнительно, Изм. N 1).
6.3-6.9. (Исключены, Изм. N 1).
Электронный текст документа
подготовлен АО "Кодекс" и сверен по:
официальное издание
М.: Издательство стандартов, 1984
Редакция документа с учетом
изменений и дополнений
подготовлена АО "Кодекс"
Разместите заказ
сами сделают вам предложение
