ГОСТы сталей. ГОСТ 24715-81
ГОСТ 24715-81
Группа В09
ГОСУДАРСТВЕННЫЙ СТАНДАРТ СОЮЗА ССР
СОЕДИНЕНИЯ ПАЯНЫЕ
Методы контроля качества
Brazed and Soldered Joints.
Methods for Inspection of Quality
Срок действия с 01.01.83
до 01.01.88*
______________________________
* Ограничение срока действия снято
постановлением Госстандарта СССР от 29.06.87 N 2304
(ИУС N 10, 1987 год). - Примечание "КОДЕКС"
Постановлением Государственного комитета СССР по стандартам от 29 апреля 1981 г. N 2182 срок действия установлен с 01.01.1983 г. до 01.01.1988 г.
Настоящий стандарт распространяется на основные типы паяных соединений, выполненных по ГОСТ 19249-73 всеми способами пайки.
Стандарт устанавливает методы контроля качества паяных соединений с целью обнаружения поверхностных, внутренних и сквозных дефектов, указанных в табл.1.
Таблица 1
Дефекты паяных соединений
Поверхностные дефекты | Внутренние дефекты | Сквозные дефекты |
Поверхностное окисление, поверхностная пора, подрез и выходящие на поверхность: непропай, неспай, общая и локальная эрозии | Непропай, неспай, трещина, внутренняя пора, усадочная раковина, шлаковое включение, флюсовое включение, металлическое включение, неметаллическое включение, общая и локальная эрозии, паяльные остаточные напряжения, дефекты структуры паяного соединения (отклонения структуры от заданной техническими условиями) | Непропай, неспай, общая и локальная эрозии, сочетание наружных и внутренних дефектов, приводящее к течи |
Примечание. Неспаи, паяльные остаточные напряжения, общая и локальная эрозии, дефекты структуры паяного соединения выявляют методами разрушающего контроля (табл.5).
Выбор метода или комплекса методов контроля (табл.2, 3, 4, 5) для обнаружения дефектов паяных соединений следует проводить в соответствии с требованиями, предъявляемыми к качеству паяных соединений стандартами, техническими условиями и чертежами, утвержденными в установленном порядке, и с учетом размеров фактически выявляемых дефектов и производительности методов контроля.
Таблица 2
Методы неразрушающего контроля для обнаружения поверхностных дефектов в паяных соединениях
Вид контроля | Метод контроля | Характеристика метода | Область применения | |
Чувствительность (минимальные размеры выявляемых дефектов) | Особенности метода | |||
Оптический | Визуальный | По ГОСТ 23479-79 | Для обнаружения мелких дефектов величиной менее 0,1 мм используют оптические приборы с увеличением до 30 | Соединения, имеющие доступные для осмотра поверхности |
Проникающими веществами - капиллярный | Цветной | По ГОСТ 18442-80 | Достоверность метода зависит от шероховатости контролируемой поверхности паяного соединения. | Соединения, имеющие поверхности, доступные для нанесения пенетрантов и осмотра |
Вихретоковый | Трансформаторный | Дефекты с раскрытием 0,0005-0,001 мм и глубиной | Параметр шероховатости поверхности контролируемых соединений - | Соединения, имеющие поверхности, доступные для преобразователей дефектоскопов |
Примечание. Размеры фактически выявляемых дефектов зависят от технических характеристик применяемых средств контроля, конструктивных особенностей изделий и технологии изготовления.
Таблица 3
Методы неразрушающего контроля для обнаружения внутренних дефектов в паяных соединениях
Вид контроля | Метод контроля | Характеристика метода | Область применения | |
Чувствительность (минимальные размеры выявляемых дефектов) | Особенности метода | |||
Радиационный | Радиографический | 2-5% от суммарной просвечиваемой толщины материала | Чувствительность зависит от толщины и марок соединяемых материалов и припоев. | По ГОСТ 20426-75* |
Радиоскопический | 3-8% от суммарной просвечиваемой толщины материала | |||
Акустический | Отраженного излучения (эхо-метод) | Дефекты площадью 1-15 мм | Выявляют дефекты типа непропаев. Определяют условные размеры дефекта, эквивалентную площадь, конфигурацию и число дефектов. | Не ограничена, за исключением соединений, не имеющих доступа для ввода и приема ультразвуковых колебаний, и соединений, обладающих повышенным затуханием ультразвуковых колебаний или имеющих толщину меньше, чем мертвая зона дефектоскопа |
Тепловой | Теплометрический | По ГОСТ 23483-79 | Выявляют дефекты типа непропаев. Необходимо создание теплового потока в направлении, перпендикулярном поверхности соединения. | Соединения, у которых толщина слоя, обращенного к приемнику излучения, не превышает 3 мм. Возможен контроль паяных соединений электронных схем и электрических цепей |
Электрический | Электрический | Определяется чувствительностью измерительной аппаратуры | Оценку качества производят по величине электрического сопротивления или электропроводности контролируемого участка. Вид и характер дефекта не определяются | Соединения, имеющие доступ для измерительных наконечников |
________________
* Действует ГОСТ 20426-82. - Примечание "КОДЕКС".
Примечания:
1. При радиографическом и радиоскопическом контроле не обеспечивается выявление дефектов:
любых дефектов, если их протяженность в направлении излучения меньше удвоенной чувствительности контроля, определенной по эталонам чувствительности, или если изображения дефектов совпадают с другими изображениями, затрудняющими расшифровку (изображениями посторонних деталей, острых углов изделия, резких перепадов толщин паяемых элементов и т.п.);
трещин с раскрытием менее 0,1 мм;
трещин, плоскость раскрытия которых не совпадает с направлением излучения;
непропаев в случае, если разница между коэффициентами ослабления излучения припоем и паяемым материалом и толщина паяного шва не обеспечивают достаточного радиационного контраста.
Радиографический и радиоскопический контроль следует применять при наличии двустороннего доступа к контролируемому паяному соединению, обеспечивающего возможность установки источника и детектора излучения в соответствии со схемами контроля.
2. Размеры фактически выявляемых дефектов зависят от технических характеристик применяемых средств контроля, конструктивных особенностей изделия и технологии изготовления.
Таблица 4
Методы неразрушающего контроля для обнаружения сквозных дефектов в паяных соединениях
Вид контроля | Метод контроля | Характеристика метода | Особенности метода | Область применения | ||
Порог чувствительности течеискателя, м | Формула для оценки порога чувствительности при индикации потока газа | |||||
Прони- | Газо- | Радио- | - | - | Порог чувствитель- | Определение герметичности изделий и (или) их элементов, а также выявление отдельных течей |
Маномет- | - | Способы компрессионный и вакуумный
Способ камерный
| ||||
Масс-спек- | Способы вакуумной камеры, накопления при атмосферном давлении, опрессовки в камере, опрессовки замкнутых оболочек, обдува | - | ||||
Галоген- | 10 | - | ||||
Пузырь- | - | Способы компрессионный и нагреванием
| ||||
Ультра- | 10 | - | ||||
Катаромет- | 10 | - | ||||
Химичес- | - | - | ||||
Инфра- | 10 | - | ||||
Жид- | Гидроста- | - | - | |||
Люминес- | - | - | ||||
Электри- | - | - | ||||
Обозначения, принятые в формулах: - объем изделия;
- продолжительность испытания;
- объем камеры;
- наименьший регистрируемый диаметр пузырька;
- коэффициент поверхностного натяжения;
- плотность индикаторной жидкости;
- ускорение свободного падения;
- высота слоя индикаторной жидкости;
- атмосферное давление;
- давление в вакуумированном пространстве над слоем индикаторной жидкости;
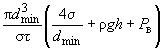
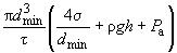
- нижний предел измерения манометра; - время от момента образования пузырька до его отрыва.
Таблица 5
Методы разрушающего контроля
Вид контроля | Метод контроля | Характеристика метода | Область применения | |
Чувствительность | Особенности метода | |||
Разрушающий контроль | Вскрытие | Выявляют макроскопические и микроскопические дефекты | Качество паяного соединения после вскрытия участка определяют внешним осмотром разрезанной части и по результатам металлографических, рентгеноструктурных, химических и других исследований | Обнаружение, установление вида, характера и места расположения внутренних дефектов в паяных соединениях, если для этого не применимы другие методы контроля |
Технологическая проба | Выявляют макроскопические и микроскопические дефекты | Образцы паяют по действующей технологии пайки | Не ограничена | |
Допускается использование других методов контроля качества паяных соединений при условии обеспечения чувствительности, гарантирующей выявление дефектов, недопустимых по требованиям технической документации на данное изделие, утвержденной в установленном порядке.
Методы контроля конкретных паяных соединений должны быть указаны в технической документации на изготовление, приемку и эксплуатацию изделий.
Для проверки механических свойств образцы паяных соединений подвергают испытаниям на удар по ГОСТ 23046-78, на растяжение по ГОСТ 23047-78 и на изгиб по ГОСТ 24167-80.
Технология контроля паяных соединений должна быть установлена технической документацией, разработанной в соответствии с ГОСТ 3.1102-74* и ГОСТ 3.1502-74*".
________________
* Действует ГОСТ 3.1102-81
** Действует ГОСТ 3.1502-85. - Примечание "КОДЕКС".
Текст документа сверен по:
официальное издание
М.: Издательство стандартов, 1981
Разместите заказ
сами сделают вам предложение
