ГОСТы сталей. ГОСТ 22536.6-88
ГОСТ 22536.6-88
Группа В09
ГОСУДАРСТВЕННЫЙ СТАНДАРТ СОЮЗА ССР
СТАЛЬ УГЛЕРОДИСТАЯ И ЧУГУН НЕЛЕГИРОВАННЫЙ
Методы определения мышьяка
Carbon steel and unalloyed cast iron.
Methods for determination of arsenic
ОКСТУ 0809
Срок действия с 01.01.90
до 01.07.95*
______________________________
* Ограничение срока действия снято
по протоколу N 4-93 Межгосударственного Совета
по стандартизации, метрологии и сертификации.
(ИУС N 4, 1994 год). - Примечание "КОДЕКС".
ИНФОРМАЦИОННЫЕ ДАННЫЕ
1. РАЗРАБОТАН И ВНЕСЕН Министерством черной металлургии СССР
ИСПОЛНИТЕЛИ
Д. К. Нестеров, канд. техн. наук; С. И. Рудюк, канд. техн. наук; С. В. Спирина, канд. хим. наук. (руководитель темы); В. Ф. Коваленко, канд. техн. наук; Н. Н. Гриценко, канд. хим. наук; Л. И. Березовая; О. М. Киржнер
2. УТВЕРЖДЕН И ВВЕДЕН В ДЕЙСТВИЕ постановлением Государственного комитета СССР по стандартам от 25.08.88 № 3018
3. ВЗАМЕН ГОСТ 22536.6-77
4. ССЫЛОЧНЫЕ НОРМАТИВНО-ТЕХНИЧЕСКИЕ ДОКУМЕНТЫ
Обозначение НТД, на который дана ссылка | Номер пункта, подпункта |
ГОСТ 1973-77 | 2.2 |
ГОСТ 3118-77 | 2.2, 3.2 |
ГОСТ 3760-70 | 2.2 |
ГОСТ 3765-78 | 2.2 |
ГОСТ 4160-74 | 2.2, 3.2 |
ГОСТ 4204-77 | 2.2, 3.2 |
ГОСТ 4328-77 | 2.2 |
ГОСТ 4457-74 | 3.2 |
ГОСТ 4461-77 | 2.2, 3.2 |
ГОСТ 5456-79 | 2.2 |
ГОСТ 5817-77 | 2.2 |
ГОСТ 5841-74 | 2.2, 3.2 |
ГОСТ 5962-67 | 2.2 |
ГОСТ 9949-76 | 2.2 |
ГОСТ 11125-84 | 2.2, 3.2 |
ГОСТ 13610-79 | 2.2 |
ГОСТ 14204-69 | 2.2, 3.2 |
ГОСТ 14261-77 | 2.2, 3.2 |
ГОСТ 18300-87 | 2.2 |
ГОСТ 19522-74 | 2.2 |
ГОСТ 20490-75 | 2.2 |
ГОСТ 22536.0-87 | 1.1 |
ГОСТ 24147-80 | 2.2 |
Настоящий стандарт устанавливает фотометрический (при массовой доле мышьяка от 0,01 до 0,20%) и потенциометрический (при массовой доле мышьяка от 0,02 до 0,20%) методы определения мышьяка.
1. ОБЩИЕ ТРЕБОВАНИЯ
1. ОБЩИЕ ТРЕБОВАНИЯ
1.1. Общие требования к методам анализа - по ГОСТ 22536.0-87.
1.2. Погрешность результатов анализа (при доверительной вероятности 0,95) не превышает предела , приведенного в табл.1, при выполнении условий:
расхождение результатов двух (трех) параллельных измерений не должно превышать (при доверительной вероятности =0,95) значения
, приведенного в табл.1;
воспроизведенное в стандартном образце значение массовой доли мышьяка не должно отличаться от аттестованного более чем на допускаемое (при доверительной вероятности =0,85) значение
, приведенное в табл.1.
При невыполнении одного из вышеуказанных условий проводят повторные измерения массовой доли мышьяка. Если и при повторных измерениях требования к точности результатов не выполняются, результаты анализа признают неверными, измерения прекращают до выявления и устранения причин, вызвавших нарушение нормального хода анализа.
Расхождение двух средних результатов анализа, выполненных в различных условиях (например, при внутрилабораторном контроле воспроизводимости), не должно превышать (при доверительной вероятности 0,95) значения , приведенного в табл.1.
Таблица 1
|
| Допускаемые расхождения, % |
| ||||||
|
|
| |||||||
От | 0,01 | до | 0,02 | включ. | 0,004 | 0,005 | 0,004 | 0,005 | 0,003 |
Св. | 0,02 | " | 0,05 | " | 0006 | 0,007 | 0,006 | 0,007 | 0,004 |
" | 0,05 | " | 0,1 | " | 0,010 | 0,012 | 0,010 | 0,012 | 0,006 |
" | 0,1 | " | 0,2 | " | 0,016 | 0,020 | 0,017 | 0,020 | 0,010 |
2. ФОТОМЕТРИЧЕСКИЙ МЕТОД ОПРЕДЕЛЕНИЯ МЫШЬЯКА
2.1. Сущность метода
Метод основан на образовании синего мышьяково-молибденового комплекса в результате взаимодействия мышьяка () с молибденовокислым аммонием в присутствии восстановителя - сернокислого гидразина. Мышьяк предварительно отделяют от сопутствующих элементов отгонкой в виде треххлористого мышьяка или осаждением тиоацетамидом в виде сульфида.
2.2. Аппаратура и реактивы
Спектрофотометр или фотоэлектроколориметр.
Аппарат для дистилляции мышьяка по ГОСТ 14204-69 или другой конструкции.
Кислота соляная по ГОСТ 3118-77 или по ГОСТ 14261-77 и разбавленная 1:1.
Кислота азотная по ГОСТ 4461-77 или по ГОСТ 11125-84.
Кислота серная по ГОСТ 4204-77, разбавленная 1:1, 1:4 и раствор с молярной концентрацией эквивалента 6 моль/дм.
Аммиак водный по ГОСТ 3760-79 или по ГОСТ 24147-80.
Кислота хлорная, ч.д.а. или х. ч.
Смесь соляной и азотной кислот (3:1) свежеприготовленная: к 150 см соляной кислоты приливают 50 см
азотной кислоты и перемешивают.
Калий бромистый по ГОСТ 4160-74.
Натрия гидроксид по ГОСТ 4328-77, раствор с массовой концентрацией 50 г/дм и 400 г/дм
.
Фенолфталеин, спиртовой раствор с массовой концентрацией 10 г/дм.
Гидразин сернокислый по ГОСТ 5841-74, раствор с массовой концентрацией 1,5 г/дм.
Аммоний молибденовокислый по ГОСТ 3765-78, перекристаллизованный из спирта, раствор с массовой концентрацией 10 г/дм в растворе серной кислоты с молярной концентрацией эквивалента 6 моль/дм
. Раствор устойчив в течение 2 мес.
Спирт этиловый ректификованный по ГОСТ 5962-67 или ГОСТ 18300-87.
Перекристаллизация молибденовокислого аммония: 250 г молибденовокислого аммония растворяют в 400 см воды при 70-80 °С. Горячий раствор фильтруют через фильтр "синяя лента" в стакан, содержащий 300 см
этилового спирта. Раствор охлаждают и выдерживают в проточной воде в течение 1 ч. Выпавшие кристаллы отфильтровывают на воронку Бюхнера с фильтром "белая лента". Кристаллы промывают 2-3 раза этиловым спиртом порциями по 20-30 см
и высушивают на воздухе.
Молибдатно-гидразиновый раствор (реакционная смесь): в мерную колбу вместимостью 1 дм помещают 100 см
раствора молибденовокислого аммония, разбавляют водой до 900 см
, прибавляют 10 см
раствора сернокислого гидразина, доливают до метки водой и перемешивают.
Готовят непосредственно перед использованием.
Калий марганцовокислый по ГОСТ 20490-75, раствор с массовой концентрацией 1 г/дм.
Бумага индикаторная универсальная рН.
Ксилол по ГОСТ 9949-76.
Кислота аскорбиновая, раствор с массовой концентрацией 5 г/дм.
Кислота винная по ГОСТ 5817-77, раствор с массовой концентрацией 50 г/дм.
Тиоацетамид, перекристаллизованный из ксилола, раствор с массовой концентрацией 20 г/дм.
Перекристаллизация тиоацетамида: 30 г тиоацетамида растворяют в 100 см ксилола при 85-90 °С при перемешивании. Верхний слой раствора осторожно сливают в сухой стакан вместимостью 600-800см
. В стакан с остатком прибавляют 100 см
ксилола и снова растворяют при 85-90 °С. Верхний слой сливают в тот же стакан вместимостью 600-800 см
. Эту операцию повторяют 3-4 раза. Полученный раствор охлаждают в проточной воде. Выпавшие кристаллы тиоацетамида отфильтровывают на воронку Бюхнера с двумя фильтрами "белая лента". Кристаллы промывают 2-3 раза ксилолом и высушивают на воздухе.
Медь азотнокислая, раствор с массовой концентрацией 10 г/дм.
Гидроксиламин гидрохлорид по ГОСТ 5456-79.
Аммония роданистый по ГОСТ 19522-74, раствор с массовой концентрацией 50 г/дм.
Железо карбонильное радиотехническое по ГОСТ 13610-79.
Ангидрид мышьяковистый по ГОСТ 1973-77.
Натрий мышьяковистокислый орто.
Стандартные растворы мышьяка.
Раствор А: 0,1320 г трехоксида мышьяка растворяют в 5 см раствора гидроксида натрия (50 г/дм
), прибавляют 30 см
воды и серную кислоту (1:1) до нейтральной реакции по индикаторной бумаге. Переводят раствор в мерную колбу вместимостью 1 дм
, доливают до метки водой и перемешивают.
Допускается приготовление стандартного раствора из мышьяковистокислого натрия орто: 0,2601 г мышьяковистокислого натрия растворяют в воде в мерной колбе вместимостью 1 дм, доливают до метки водой и перемешивают.
1 см стандартного раствора А содержит 0,0001 г мышьяка.
Раствор Б: 10 см стандартного раствора А помещают в мерную колбу вместимостью 100 см
, доливают до метки водой и перемешивают.
1 см стандартного раствора Б содержит 0,00001 г мышьяка.
Раствор Б готовят непос
редственно перед применением.
2.3. Проведение анализа
2.3.1. Навеску стали или чугуна в зависимости от массовой доли мышьяка (см. табл.2) помещают в стакан или коническую колбу вместимостью 250-300 см, накрывают часовым стеклом и растворяют в 10 см
смеси соляной и азотной кислот (3:1) при умеренном нагревании.
Таблица 2
Мaccовая доля мышьяка, % | Навеска стали или чугуна, г | ||||
От | 0,01 | до | 0,02 | включ. | 1,0 |
Св. | 0,02 | " | 0,05 | " | 0,5 |
" | 0,05 | " | 0,10 | " | 0,2 |
" | 0,10 | " | 0,20 | " | 0,1 |
2.3.2. Предварительное отделение мышьяка отгонкой в виде хлорида.
После растворения навески часовое стекло омывают небольшим количеством воды, прибавляют к раствору 10 см серной кислоты (1:1) и выпаривают до начала выделения паров серной кислоты. Содержимое стакана или колбы охлаждают, осторожно добавляют 30 см
соляной кислоты (1:1) и количественно переносят в колбу для дистилляции вместимостью 250 см
вместе с нерастворившимися солями, обмывая стенки стакана 15 см
воды. В колбу прибавляют 0,5 г сернокислого гидразина, 0,5 г бромистого калия и медленно отгоняют треххлористый мышьяк, нагревая раствор не выше 120 °С. Отгонку продолжают до тех пор, пока в приемник не перейдет 2/3 первоначального объема раствора. Дистиллят собирают в стакан вместимостью 100 см
, в который предварительно помещают 10 см
воды. Дистиллят переводят в мерную колбу вместимостью 100 см
, доводят водой до метки и перемешивают. Отбирают 20 см
раствора, помещают в стакан вместимостью 100 см
, приливают 10 см
азотной кислоты, раствор выпаривают досуха и выдерживают сухой остаток 40-60 мин при 120-130 °С. После охлаждения к содержимому стакана приливают 20 см
молибдатно-гидразинового раствора. Стакан накрывают стеклом и помещают на кипящую водяную баню на 10 мин. Раствор охлаждают до 20 °С, переливают в мерную колбу вместимостью 50 см
, доливают до метки тем же молибдатно-гидразиновым раствором и перемешивают.
Оптическую плотность растворов измеряют через 30 мин на спектрофотометре при длине волны 840 нм или на фотоэлектроколориметре со светофильтром, имеющем максимум пропускания в интервале длин волн 650-710 нм или 710-900 нм. В качестве раствора сравнения используют воду. Одновременно с выполнением анализа проводят контрольный опыт на загрязнение реактивов.
Окисление мышьяка можно проводить перманганатом калия. Для этого дистиллят переводят в мерную колбу вместимостью 100 см, прибавляют две капли фенолфталеина и нейтрализуют раствором гидроксида натрия с массовой концентрацией 400 г/дм
до появления устойчивой малиновой окраски. Затем приливают по каплям серную кислоту (1:4) до исчезновения окраски и три капли в избыток. Раствор охлаждают, доливают водой до метки и перемешивают.
В мерную колбу вместимостью 50 см помещают аликвотную часть раствора 20 см
, прибавляют по каплям при перемешивании раствор марганцовокислого калия до появления устойчивой в течение 1 мин окраски. Приливают 15 см
воды, 5 см
раствора молибденовокислого аммония в серной кислоте, 2 см
раствора аскорбиновой кислоты или раствора гидразина. Содержимое колбы перемешивают и нагревают на кипящей водяной бане в течение 15 мин.
Раствор охлаждают, доливают до метки водой и перемешивают.
Оптическую плотность раствора измеряют как приведено выше. Из значения оптической плотности анализируемого раствора вычитают значение оптической плотности раствора контрольного опыта.
Массу мышьяка находят по градуировочному графику или методом сравнения со стандартным образцом, близким по составу к анализируемой пробе и проведенным через все ст
адии анализа.
2.3.3. Предварительное отделение мышьяка осаждением в виде сульфида.
После растворения навески часовое стекло обмывают небольшим количеством воды, приливают 20 см серной кислоты (1:1) и выпаривают до начала выделения паров серной кислоты. Содержимое стакана или колбы охлаждают, добавляют 40-50 см
воды, растворяют соли при нагревании, приливают 10 см
раствора винной кислоты и нагревают 5-10 мин. Затем приливают аммиак до рН 8-9 по индикаторной бумаге и нагревают в течение 15-20 мин при 90-95 °С до полного растворения осадка. После охлаждения к раствору прибавляют серную кислоту (1:1), до рН 2 по индикаторной бумаге и 10 см
в избыток, доливают раствор водой до 180 см
и нагревают до кипения. Осторожно добавляют 2-5 г гидроксиламина гидрохлорида и кипятят раствор до полного восстановления железа (по реакции с роданистым аммонием). Прибавляют 10 см
раствора тиоацетамида, 1 см
раствора азотнокислой меди, выдерживают раствор с выпавшим осадком сульфидов в течение 10-15 мин на теплой плите, затем прибавляют еще 10 см
раствора тиоацетамида, выдерживают 30-40 мин при 85-90 °С и охлаждают.
Через 4 ч осадок сульфидов отфильтровывают на два фильтра "белая лента", промывают 6-7 раз водой, растворяют сульфиды на фильтре в 30-40 см горячей смеси соляной и азотной кислот (1:1) порциями по 10 см
и промывают остаток на фильтре 3-4 раза горячей водой, собирая фильтрат и промывные воды в стакан, в котором проводилось осаждение. Фильтр отбрасывают.
Раствор упаривают до объема 80-90 см, переносят в мерную колбу вместимостью 100 см
, доводят водой до метки и перемешивают. Отбирают аликвотную часть раствора 20 см
и помещают в стакан вместимостью 100 см
, раствор упаривают до объема 3-5 см
, добавляют 2 см
хлорной кислоты и выпаривают до появления паров хлорной кислоты. Стакан с раствором охлаждают, обмывают стенки стакана водой и повторяют выпаривание до появления паров хлорной кислоты.
После охлаждения к содержимому стакана прибавляют 20 см молибдатно-гидразинового раствора и далее поступают как приведено
в п.2.3.2.
2.3.4. Построение градуировочного графика
В шесть стаканов вместимостью 100 см (при проведении окисления мышьяка азотной кислотой) или в шесть мерных колб вместимостью 50 см
(при проведении окисления мышьяка перманганатом калия или при проведении анализа по п.2.3.3) помещают 1; 2; 3; 4; 5; 6 см
стандартного раствора Б, что соответствует: 0,00001; 0,00002; 0,00003; 0,00004; 0,00005; 0,00006 г мышьяка. Седьмой стакан (или мерная колба), в который добавляют все реактивы, кроме стандартного раствора мышьяка, служит для проведения контрольного опыта.
При проведении окисления мышьяка азотной кислотой во все стаканы приливают 10 см азотной кислоты, раствор выпаривают досуха и выдерживают сухой остаток 40-60 мин при 120-130 °С.
После охлаждения к содержимому стакана приливают 20 см молибдатно-гидразинового раствора. Стакан накрывают стеклом и помещают на кипящую водяную баню на 10 мин. Раствор охлаждают до 20 °С, переливают в мерную колбу вместимостью 50 см
, доливают до метки тем же молибдатно-гидразиновым раствором и перемешивают.
При проведении окисления мышьяка перманганатом калия в каждую мерную колбу вместимостью 50 см прибавляют по каплям раствор марганцовокислого калия до появления устойчивой в течение 1 мин окраски, приливают воду до объема 40 см
, 5 см
раствора молибденовокислого аммония в серной кислоте, 2 см
раствора аскорбиновой кислоты или раствора гидразина, перемешивая раствор после прибавления каждого реактива. Содержимое колбы перемешивают и нагревают на кипящей водяной бане в течение 15 мин, охлаждают, доливают до метки водой и перемешивают. При проведении анализа по п.2.3.3 во все стаканы приливают 2 см
хлорной кислоты и выпаривают до появления паров хлорной кислоты. Стакан с раствором охлаждают, обливают стенки стакана водой и повторяют выпаривание до появления паров хлорной кислоты. После охлаждения к содержимому стакана прибавляют 20 см
молибдато-гидразинового раствора. Стакан накрывают стеклом и помещают на кипящую водяную баню на 10 мин. Раствор охлаждают до 20 °С, переливают в мерную колбу вместимостью 50 см
, доливают до метки тем же молибдатно-гидразиновым раствором и перемешивают.
Оптическую плотность раствора измеряют как приведено в п.2.3.2.
По найденным значениям оптической плотности и соответствующим им значениям массы мышьяка строят градуировочный график. Допускается построение градуировочного графика в координатах: оптическая плотность - массовая доля м
ышьяка.
2.4. Обработка результатов
2.4.1. Массовую долю мышьяка () в процентах вычисляют по формуле
,
где - масса мышьяка в анализируемой пробе, найденная по градуировочному графику, г;
- масса навески пробы, соответствующая аликвотной части, г.
2.4.2. Нормы точности и нормативы контроля точности определения массовой доли мышьяка приведены в табл.1.
2.4.3. Метод применяют при разногласиях в оценке качества углеродистой стали и нелегированного чугуна.
3. ПОТЕНЦИОМЕТРИЧЕСКИЙ МЕТОД ОПРЕДЕЛЕНИЯ МЫШЬЯКА
3.1. Сущность метода
Метод основан на потенциометрическом титровании мышьяка (III) раствором бромноватокислого калия до получения скачка потенциала. Мышьяк предварительно отделяют от сопутствующих элементов отгонкой в виде треххлористого мышьяка из солянокислого раствора в присутствии бромистого калия и сернокислого гидразина.
3.2. Аппаратура и реактивы
Аппарат для дистилляции мышьяка по ГОСТ 14204-69 или другой конструкции.
Установка для потенциометрического титрования:
пара электродов: индикаторный платиновый и электрод сравнения - каломельный;
магнитная или механическая мешалка;
милливольтметр постоянного тока или рН-метр, позволяющие четко фиксировать скачок потенциала в конечной точке.
При необходимости к прибору последовательно подключают переменное сопротивление, позволяющее проводить измерение в пределах шкалы прибора.
Кислота соляная по ГОСТ 3118-77 или по ГОСТ 14261-77 и разбавленная 1:1.
Кислота азотная по ГОСТ 4461-77 или по ГОСТ 11125-84.
Смесь соляной и азотной кислот (3:1), готовят перед применением.
Кислота серная по ГОСТ 4204-77.
Калий бромистый по ГОСТ 4160-74.
Гидразин сернокислый по ГОСТ 5841-74.
Калий бромноватокислый по ГОСТ 4457-74, раствор с молярной концентрацией эквивалента 0,01 моль/дм, готовят следующим образом: 0,2783 г предварительно перекристаллизованного из водного раствора и высушенного при 150-180 °С бромноватокислого калия растворяют в 100-120 см
воды, переливают в мерную колбу вместимостью 1 дм
, доливают до метки водой и перемешивают. Допускается приготовление раствора из фиксанала. Массовая концентрация (
) раствора бромноватокислого калия, выраженная в г мышьяка на 1 см
раствора, составляет 0,0003746. Массовую концентрацию раствора бромноватокислого калия (
) проверяют по раствору тиосульфата натрия, мышьяковистому ангидриду или стандартному образцу, близкому по составу и массовой доле мышьяка к анализируемой пробе.
3.3. Проведение анализа
Навеску стали или чугуна массой 3 г помещают в стакан или колбу вместимостью 600 см, приливают 60 см
смеси соляной и азотной кислот и 25-30 см
серной кислоты. Стакан или колбу накрывают часовым стеклом и проводят растворение вначале при комнатной температуре, а затем при умеренном нагревании до полного растворения навески.
Часовое стекло ополаскивают небольшим количеством воды и выпаривают раствор до начала выделения паров серной кислоты. Содержимое стакана охлаждают, осторожно приливают 100 см соляной кислоты (1:1), и количественно переносят раствор в колбу для дистилляции вместимостью 250 см
. При повышенном содержании графита следует применять колбу вместимостью 500 см
, так как при дистилляции происходит вспенивание раствора.
В колбу добавляют 1 г бромистого калия, 3 г сернокислого гидразина и медленно отгоняют треххлористый мышьяк, нагревая раствор не выше 120 °С.
Дистиллят собирают в стакан вместимостью 400 см, в который предварительно помещают 40 см
воды. Отгонку продолжают до тех пор, пока в приемник не перейдет 2/3 первоначального объема раствора.
Стакан с дистиллятом помещают в прибор для потенциометрического титрования, опускают мешалку и электроды и, включив мешалку, перемешивают раствор в течение 0,5-1 мин. Затем, не выключая мешалку, титруют раствор, добавляя по каплям из микробюретки бромноватокислый калий до получения скачка потенциал
а.
3.4. Обработка результатов
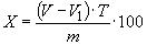
3.4.1. Массовую долю мышьяка () в процентах вычисляют по формуле
,
где - объем раствора бромноватокислого калия, израсходованный на титрование анализируемого раствора, см
;
- объем раствора бромноватокислого калия, израсходованный на титрование раствора контрольного опыта, см
;
- массовая концентрация раствора бромноватокислого калия с молярной концентрацией эквивалента 0,01 моль/дм
, выраженная в г мышьяка на 1 см
раствора;
- масса навеск
и.
3.4.2. Нормы точности и нормативы контроля точности определения массовой доли мышьяка приведены в табл.1.
Текст документа сверен по:
официальное издание
Сталь углеродистая и чугун нелегированный.
Методы анализа: Сб. ГОСТов. -
М.: Издательство стандартов, 1989
Разместите заказ
сами сделают вам предложение
