ГОСТы сталей. ГОСТ 22536.5-87
ГОСТ 22536.5-87
(СТ СЭВ 486-88,
ИСО 629-82)*
_______________
* Измененная редакция, Изм. N 1.
Группа В09
ГОСУДАРСТВЕННЫЙ СТАНДАРТ СОЮ3А ССР
СТАЛЬ УГЛЕРОДИСТАЯ И ЧУГУН НЕЛЕГИРОВАННЫЙ
Методы определения марганца
Carbon steel and unalloyed cast iron.
Methods for determination of manganese
ОКСТУ 0809
Срок действия с 01.01.88
до 01.01.98*
______________________________
* Ограничение срока действия снято
по протоколу N 7-95 Межгосударственного Совета
по стандартизации, метрологии и сертификации.
(ИУС N 11 1995 год). - Примечание "КОДЕКС".
ИНФОРМАЦИОННЫЕ ДАННЫЕ
1. РАЗРАБОТАН И ВНЕСЕН Министерством черной металлургии СССР
ИСПОЛНИТЕЛИ
Д.К.Нестеров, канд. техн. наук; С.И.Рудюк, канд. техн. наук; Н.Н.Гриценко, канд. хим. наук (руководитель темы); В.Ф.Коваленко, канд. техн. наук; С.В.Спирина, канд. хим. наук (руководитель темы); О.М.Киржнер
2. УТВЕРЖДЕН И ВВЕДЕН В ДЕЙСТВИЕ постановлением Государственного комитета СССР по стандартам от 20.02.87 N 301
3. ВЗАМЕН ГОСТ 22536.5-77
4. ССЫЛОЧНЫЕ НОРМАТИВНО-ТЕХНИЧЕСКИЕ ДОКУМЕНТЫ
Обозначение НТД, на которые дана ссылка | Номер пункта, подпункта, перечисления, |
|
|
ГОСТ 4461-77 | 2.2, 3.2, 4.2, 5.2 |
ГОСТ 4204-77 | 2.2, 3.2 |
ГОСТ 6552-80 | 2.2, 4.2 |
ГОСТ 20478-75 | 2.2 |
ГОСТ 1277-75 | 2.2 |
ГОСТ 4233-77 | 2.2 |
ГОСТ 1973-77 | 2.2 |
ГОСТ 4201-79 | 2.2 |
ГОСТ 83-79 | 2.2 |
ГОСТ 4328-77 | 2.2 |
ГОСТ 4197-74 | 2.2, 4.2 |
ГОСТ 3118-77 | 3.2 |
ГОСТ 3760-79 | 3.2 |
ГОСТ 342-77 | 3.2 |
ГОСТ 6691-77 | 3.2 |
ГОСТ 20490-75 | 3.2, 4.2 |
ГОСТ 10929-76 | 4.2 |
ГОСТ 5457-75 | 5.2 |
ГОСТ 3118-77 | 5.2 |
ГОСТ 6008-82 | 5.2 |
5. Переиздание. Декабрь 1987 г.
ВНЕСЕНО Изменение N 1, утвержденное постановлением Госстандарта СССР от 09.10.89 N 3041, введенное в действие с 01.01.90 и опубликованное в ИУС N 1, 1990 г.
Изменение N 1 внесено юридическим бюро "Кодекс" по тексту ИУС N 1, 1990 г.
ВНЕСЕНО Изменение N 2, утвержденное постановлением Госстандарта СССР от 28.03.90 N 659, введенное в действие с 01.10.90 и опубликованное в ИУС N 6, 1990 г.
Изменение N 2 внесено юридическим бюро "Кодекс" по тексту ИУС N 6, 1990 г.
Настоящий стандарт устанавливает титриметрический (при массовой доле марганца 0,3-3,0%), потенциометрический (при массовой доле марганца 0,5-3,0%), фотометрический (при массовой доле марганца 0,005-3,0%), атомно-абсорбционный (при массовой доле марганца 0,1-3,0%) методы определения марганца в углеродистой стали и нелегированном чугуне.
Стандарт соответствует СТ СЭВ 486-88 в части фотометрического метода и полностью ИСО 629-82.
(Измененная редакция, Изм. N 1).
1. ОБЩИЕ ТРЕБОВАНИЯ
1. ОБЩИЕ ТРЕБОВАНИЯ
1.1. Общие требования к методам анализа - по ГОСТ 22536.0-87.
2. ТИТРИМЕТРИЧЕСКИЙ МЕТОД
2.1. Сущность метода
Метод основан на окислении двухвалентного марганца в сернокислом растворе до семивалентного надсернокислым аммонием в присутствии азотнокислого серебра. Полученную марганцевую кислоту оттитровывают раствором арсенит нитрита натрия или раствором серноватистокислого натрия (тиосульфата натрия).
2.2. Реактивы и растворы
Кислота азотная по ГОСТ 4461-77.
Кислота серная по ГОСТ 4204-77 и разбавленная 1:4.
Кислота ортофосфорная по ГОСТ 6552-80.
Смесь кислот: к 550 см воды осторожно, при непрерывном перемешивании, приливают 90 см
серной кислоты, охлаждают, приливают 100 см
ортофосфорной кислоты, перемешивают и приливают 260 см
азотной кислоты.
Аммоний надсернокислый по ГОСТ 20478-75, свежеприготовленный раствор с массовой концентрацией 200 г/дм.
Серебро азотнокислое по ГОСТ 1277-75, раствор с массовой концентрацией 2,0 г/дм.
Индикатор универсальный, бумага.
Натрий хлористый по ГОСТ 4233-77, раствор с массовой концентрацией 5 г/дм.
Ангидрид мышьяковистый по ГОСТ 1973-77.
Натрий двууглекислый по ГОСТ 4201-79.
Натрий углекислый по ГОСТ 83-79.
Натрий гидроокись по ГОСТ 4328-77, раствор с массовой концентрацией 150 г/дм.
Натрий азотнокислый по ГОСТ 4197-74.
Натрий мышьяковистокислый орто (NaAsO
) по нормативно-технической документации.
Натрий серноватистокислый (тиосульфат) по нормативно-технической документации, стандартный раствор; 0,65 г тиосульфата натрия растворяют в 1 дм свежепрокипяченной и охлажденной воды, добавляют 0,1 г углекислого натрия и перемешивают. Раствор оставляют на 2-3 сут.
Натрия арсенит-нитрит, стандартный раствор: 1,5 г мышьяковистого ангидрида растворяют в стакане вместимостью 400-600 см в 25 см
горячего раствора гидроокиси натрия (150 г/дм
), разбавляют до 120 см
водой, охлаждают, нейтрализуют серной кислотой, разбавленной 1:4, до рН 7 по универсальному индикатору и добавляют 2-3 см
в избыток. Избыток серной кислоты нейтрализуют двууглекислым натрием до рН 7 по универсальному индикатору. К полученному раствору прибавляют 0,85 г азотнокислого натрия и перемешивают до растворения соды. Содержимое стакана переливают в мерную колбу вместимостью 1 дм
, доливают водой до метки, тщательно перемешивают и устанавливают массовую концентрацию стандартного раствора.
Раствор арсенит-нитрита можно также приготовить из мышьяковистокислого натрия орто; 1,0 г мышьяковистокислого натрия орто помещают в стакан вместимостью 400-600 см, приливают 120-150 см
теплой воды, добавляют 0,5 г углекислого натрия, 0,75 г азотистокислого натрия, перемешивают и разбавляют водой до 1 дм
.
При содержании в соли кристаллизационной воды ее учитывают при расчете навески, необходимой для приготовления стандартного раствора. Массовую концентрацию арсенит-нитрита натрия и тиосульфата натрия устанавливают по стандартному образцу, близкому по химическому составу и содержанию марганца к анализируемой пробе и проведенному через все стадии анализа, как указано в п.2.3. Массовую концентрацию раствора арсенит-нитрита натрия или тиосульфата натрия , выраженную в граммах марганца на 1 см
раствора, вычисляют по формуле
,
где - массовая доля марганца в стандартном образце, %;
- масса навески стандартного образца, г;
- объем раствора арсенит-нитрита натрия или тиосульфата натрия, израсходованный на титрование, см
.
2.3. Проведение анализа
Навеску стали или чугуна в зависимости от массовой доли марганца (см. табл. 1) помещают в коническую колбу вместимостью 250 см, приливают 30 см
смеси кислот и растворяют при нагревании. Раствор кипятят до удаления окислов азота. При анализе чугуна осадок графита и кремниевой кислоты отфильтровывают и промывают шесть-семь раз горячей дистиллированной водой. Фильтр с осадком отбрасывают.
Таблица 1
Массовая доля марганца, % | Масса навески стали или чугуна, г | |||
От | 0,3 | до | 0,5 | 0,5 |
Св. | 0,5 | " | 1,5 | 0,2 |
" | 1,5 | " | 3,0 | 0,1 |
Раствор разбавляют водой до 130-150 см, прибавляют 10 см
раствора азотнокислого серебра, 15 см
свежеприготовленного раствора надсернокислого аммония, нагревают до кипения и выдерживают на теплом месте до прекращения выделения пузырьков кислорода. Затем раствор охлаждают в проточной воде до комнатной температуры (20-22 °С), приливают 10 см
раствора хлористого натрия и немедленно титруют раствором арсенит-нитрита натрия до слабо-розовой окраски, после чего прибавляют его по каплям до полного исчезновения розовой окраски.
Вместо арсенит-нитрита натрия для титрования можно применять раствор тиосульфата натрия.
2.4. Обработка результатов
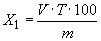
2.4.1. Массовую долю марганца в процентах вычисляют по формуле
,
где - массовая концентрация раствора арсенит-нитрита натрия или тиосульфата натрия, выраженная в г/см
марганца;
- объем раствора арсенит-нитрита натрия или тиосульфата натрия, израсходованный на титрование, см
;
- масса навески, г.
2.4.2. Нормы точности и нормативы контроля точности определения массовой доли марганца приведены в табл. 2.
Таблица 2
Допускаемые расхождения, % | |||||||||
Массовая доля марганца, % | Погрешность результатов анализа | двух средних результатов анализа, выполненных в различных условиях | двух параллельных определений | трех параллельных определений | результатов анализа стандартного образца от аттестованного значения | ||||
От | 0,05 | до | 0,1 | включ. | 0,008 | 0,010 | 0,008 | 0,010 | 0,005 |
Св. | 0,1 | " | 0,2 | " | 0,012 | 0,015 | 0,012 | 0,015 | 0,008 |
" | 0,2 | " | 0,5 | " | 0,019 | 0,024 | 0,020 | 0,024 | 0,012 |
" | 0,5 | " | 1,0 | " | 0,03 | 0,03 | 0,03 | 0,03 | 0,02 |
" | 1,0 | " | 2,0 | " | 0,04 | 0,05 | 0,04 | 0,05 | 0,02 |
" | 2,0 | " | 3,0 | " | 0,06 | 0,07 | 0,06 | 0,08 | 0,04 |
(Измененная редакция, Изм. N 2).
3. ПОТЕНЦИОМЕТРИЧЕСКИЙ МЕТОД
3.1. Сущность метода
Метод основан на окислении двухвалентного марганца марганцовокислым калием до трехвалентного в нейтральном (рН 7) или слабощелочном растворе в присутствии пирофосфорнокислого натрия и потенциометрическом определении конца титрования.
3.2. Аппаратура и реактивы
Установка для потенциометрического титрования:
пара электродов: индикаторный платиновый электрод и электрод сравнения - каломельный, хлорсеребряный или вольфрамовый;
магнитная или механическая мешалка;
милливольтметр постоянного тока или рН-метр, позволяющий четко фиксировать изменение потенциала в точке эквивалентности при титровании с выбранной парой электродов. При необходимости к прибору последовательно подключают переменное сопротивление, которое позволяет производить измерения в пределах шкалы прибора.
Кислота соляная по ГОСТ 3118-77 или ГОСТ 14261-77 и разбавленная 1:1.
Кислота серная по ГОСТ 4204-77 или ГОСТ 14262-78 и разбавленная 1:4, 1:10.
Кислота азотная по ГОСТ 4461-77 или ГОСТ 11125-84.
Аммиак водный по ГОСТ 3760-79 и разбавленный 1:1.
Натрий пирофосфорнокислый по ГОСТ 342-77, раствор с массовой концентрацией 100 г/дм.
Индикатор универсальный, бумага.
Мочевина по ГОСТ 6691-77.
Калий марганцовокислый по ГОСТ 20490-75, стандартный раствор с молярной концентрацией эквивалента 0,02 моль/дм: 0,64 г марганцовокислого калия растворяют в 1 дм
воды. Раствор переливают в склянку из темного стекла и оставляют на 8-10 сут, затем его декантируют или фильтруют через асбестовый фильтр в склянку из темного стекла.
Массовую концентрацию раствора марганцовокислого калия устанавливают не ранее следующего дня после его фильтрования по стандартному раствору марганца или по стандартному образцу, близкому по составу и содержанию марганца к анализируемой пробе.
Навеску марганцовокислого калия (перекристаллизованного) массой 0,15 г растворяют в 30 см воды, прибавляют 10 см
соляной кислоты и выпаривают досуха. Последнюю операцию повторяют еще дважды. Соли растворяют в 10 см
соляной кислоты, переносят в мерную колбу вместимостью 250 см
, разбавляют до метки водой и перемешивают.
Отбирают аликвотную часть раствора 25 см в стакан вместимостью 400 см
, содержащий 100 см
насыщенного раствора пирофосфорнокислого натрия и 0,5 г мочевины. Операцию выполняют при непрерывном перемешивании раствора. Далее поступают, как указано в п.3.3.
Массовую концентрацию раствора марганцовокислого калия , выраженную в граммах марганца на 1 см
раствора, вычисляют по формуле
,
где - масса навески марганцовокислого калия, соответствующая аликвотной части раствора, г;
- объем раствора марганцовокислого калия, израсходованный на титрование, см
;
0,3476 - коэффициент пересчета марганцовокислого калия на марганец.
3.3. Проведение анализа
Навеску стали или чугуна массой 0,2 г помещают в стакан вместимостью 250-300 см и растворяют при умеренном нагревании в 20-30 см
соляной кислоты, разбавленной 1:1, или серной кислоты, разбавленной 1:4, окисляют прибавляя по каплям азотную кислоту до прекращения вспенивания. Раствор выпаривают до 3-5 см
, добавляют 50-100 см
воды и нейтрализуют раствором аммиака, разбавленным 1:1, до начала выпадения осадка гидроокисей железа. Если появится осадок гидроокисей металлов, то его растворяют, прибавляя по каплям соляную кислоту, разбавленную 1:1. Затем приливают 100 см
раствора пирофосфата натрия и проверяют по универсальному индикатору среду раствора. Если среда раствора кислая, приливают раствор пирофосфорнокислого натрия до рН 7, если щелочная - по каплям соляную кислоту, разбавленную 1:1.
В стакан с испытуемым раствором помещают электроды, включают магнитную мешалку, перемешивают раствор 0,5-1 мин, и, не выключая мешалку, титруют марганец раствором марганцовокислого калия. Вначале раствор марганцовокислого калия приливают быстро, а вблизи точки эквивалентности - по каплям, записывая объем раствора в бюретке и показания прибора после прибавления каждой капли или титруя до резкого отклонения стрелки прибора. Объем раствора марганцовокислого калия, соответствующий максимальному изменению показания прибора, принимают за объем, израсходованный на титрование.
После титрования электроды промывают серной кислотой, разбавленной 1:10, и водой. По окончании работы электроды оставляют погруженными в стакан с водой.
3.4. Обработка результатов
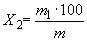
3.4.1. Массовую долю марганца () в процентах вычисляют по формуле
,
где - объем раствора марганцовокислого калия, израсходованный на титрование, см
;
- массовая концентрация раствора марганцовокислого калия, выраженная в граммах марганца на 1 см
раствора;
- масса навески, г.
3.4.2. Нормы точности и нормативы контроля точности определения массовой доли марганца приведены в табл. 2.
(Измененная редакция, Изм. N 2).
4. ФОТОМЕТРИЧЕСКИЙ МЕТОД
4.1. Сущность метода
Метод основан на окислении марганца (II) до марганца (VII) йоднокислым калием или натрием и измерении оптической плотности окрашенного раствора при длине волны 530-545 мм.
(Измененная редакция. Изм. N 1).
4.2. Аппаратура и реактивы
Спектрофотометр или фотоэлектроколориметр.
Кислота серная по ГОСТ 4204-77 или ГОСТ 14262-78 и разбавленная 1:1 и 1:4.
Кислота ортофосфорная по ГОСТ 6552-80.
Кислота азотная по ГОСТ 4461-77 или ГОСТ 11125-84 и разбавленная 1:1.
Калий марганцовокислый по ГОСТ 20490-75.
Перекись водорода по ГОСТ 10929-76.
Калий йоднокислый по нормативно-технической документации.
Натрий азотистокислый по ГОСТ 4197-74, раствор с массовой концентрацией 50 г/дм.
Смесь кислот для растворения: к 550 см воды приливают 90 см
серной кислоты при перемешивании, охлаждают и приливают 260 см
азотной кислоты.
Кислота хлорная плотностью 1,54 г/см или 1,67 г/см
и раствор (1:500).
Натрий йоднокислый по нормативно-технической документации, раствор: 50 г йоднокислого калия или натрия растворяют в 200 см азотной кислоты и 500 см
воды, разбавляют водой до объема 100 см
и перемешивают.
Стандартные растворы марганца
Раствор А: 0,5754 г марганцовокислого калия (перекристаллизованного) помещают в стакан вместимостью 600 см и растворяют в 300 см
воды. К раствору прибавляют 20 см
серной кислоты, разбавленной 1:4, и осторожно, по каплям, при перемешивании добавляют перекись водорода до обесцвечивания раствора. Раствор выпаривают до образования солей. Соли растворяют в 20-30 см
воды, раствор охлаждают, переносят в мерную колбу вместимостью 1 дм
, доливают водой до метки и перемешивают. 1 см
раствора содержит 0,0002 г марганца.
Раствор Б: 50 см стандартного раствора А помещают в мерную колбу вместимостью 100 см
, доливают до метки водой и перемешивают. 1 см
раствора Б содержит 0,0001 г марганца.
Раствор В: 25 см раствора Б переносят в мерную колбу вместимостью 100 см
, доливают водой до метки и перемешивают. Раствор В готовят перед применением.
1 см раствора В содержит 0,000025 г марганца.
Вода, не содержащая восстановителей. В колбу вместимостью 1,5-2 дм наливают 1 дм
воды, приливают по каплям серную кислоту до рН 3 по универсальной индикаторной бумаге, нагревают до кипения, прибавляют несколько кристаллов йоднокислого калия, кипятят 5-7 мин и охлаждают. Вода, не содержащая восстановителей, применяется для разбавления окисленных растворов, подготовленных для фотометрирования.
(Измененная ред
акция, Изм. N 1).
4.3. Проведение анализа
4.3.1. Определение марганца при массовой доле 0,05-2,0% с йоднокислым калием.
Навеску стали или чугуна в зависимости от массовой доли марганца (табл. 3) помещают в стакан вместимостью 250-300 см и растворяют при умеренном нагревании в 30-50 см
смеси кислот.
Таблица 3
Массовая доля марганца, % | Масса навески стали, г | Аликвотная часть, см | |||
От | 0,05 | до | 0,25 | 0,3 | - |
Св. | 0,25 | " | 0,5 | 0,5 | 20 |
" | 0,5 | " | 1,0 | 0,2 | 20 |
" | 1,0 | " | 2,0 | 0,2 | 10 |
Раствор кипятят до удаления окислов азота и охлаждают. Если есть осадок (графит, кремниевая кислота), его отфильтровывают и промывают шесть-семь раз горячей водой. Фильтр с осадком отбрасывают, а фильтрат выпаривают до объема менее 100 см. При массовой доле марганца от 0,05 до 0,25% раствор переводят в коническую колбу вместимостью 100 см
и продолжают анализ из раствора полной навески пробы. Если в пробе содержится более 0,25% марганца, раствор переводят в мерную колбу вместимостью 100 см
, доливают до метки водой, перемешивают и отбирают аликвотную часть в соответствии с табл. 3 в коническую колбу вместимостью 100 см
и добавляют 6 см
серной кислоты, разбавленной 1:1.
В полученный раствор прибавляют 2-2,5 см ортофосфорной кислоты и 0,3 г периодата калия. Раствор разбавляют водой до 80 см
, нагревают до кипения, кипятят 1 мин и оставляют на водяной бане при температуре около 90 °С в течение 40-50 мин. Раствор охлаждают, переносят в мерную колбу вместимостью 100 см
, доливают до метки водой, не содержащей восстановителей, и перемешивают.
Оптическую плотность раствора измеряют на спектрофотометре при длине волны 545 нм или на фотоэлектроколориметре со светофильтром, имеющим область пропускания в интервале длин волн 530-545 нм.
Раствором сравнения служит оставшаяся часть окрашенного раствора каждой навески пробы, в которой восстанавливают марганцевую кислоту добавлением нескольких капель раствора азотистокислого натрия.
Результаты анализа вычисляют по градуировочному графику или методом сравнения со стандартным образцом, близким по составу к анализируемой пробе и проведенным через все стадии анализа.
(Измененная редакция, Изм. N 1, 2
).
4.3.2. Построение градуировочного графика
2,5 г карбонильного железа помещают в стакан вместимостью 250-300 см, приливают 50 см
смеси кислот. Раствор кипятят до удаления окислов азота, охлаждают, переводят в мерную колбу вместимостью 250 см
, доливают до метки водой и перемешивают. В восемь конических колб вместимостью 100 см
помещают по 10 см
полученного раствора, в семь из них последовательно добавляют 1; 2; 3; 4; 5; 6; 7 см
стандартного раствора Б марганцовокислого калия, что соответствует 1·10
; 2·10
; 3·10
; 4·10
; 5·10
; 6·10
; 7·10
г марганца. В восьмой колбе проводят контрольный опыт на содержание марганца в реактивах.
К растворам в колбах прибавляют 6 см серной кислоты, разбавленной 1:1, 2 см
ортофосфорной кислоты и 0,3 г периодата калия. Растворы разбавляют водой до 80 см
, нагревают до кипения, кипятят 1 мин и оставляют на водяной бане при температуре около 90 °С в течение 40-50 мин. Растворы охлаждают, переносят в мерную колбу вместимостью 100 см
, доливают до метки водой, не содержащей восстановителей, и перемешивают.
Оптическую плотность растворов измеряют на спектрофотометре при длине волны 545 нм или на фотоэлектроколориметре со светофильтром, имеющим область пропускания в интервале длин волн 530-545 нм. В качестве раствора сравнения используют раствор контрольного опыта.
По найденным величинам оптической плотности и соответствующим им массам марганца строят градуировочный график. Допускается построение градуировочного графика в координатах: оптическая плотность - массовая дол
я марганца.
4.3.3. Определение массовой доли марганца 0,005-3,0% в присутствии хлорной кислоты.
Навеску пробы массой, установленной в зависимости от содержания марганца, согласно табл. 3а помещают в стакан вместимостью 250 см.
Таблица 3а
Массовая доля марганца, % | Масса навески пробы, г | ||||
От | 0,005 | до | 0,05 | включ. | 2 |
Св. | 0,05 | " | 2,0 | " | 1 |
" | 2,0 | " | 4,0 | " | 0,5 |
Пробу растворяют в 50 см смеси кислот при умеренном нагревании и после растворения добавляют по каплям 2 см
азотной кислоты и выпаривают до небольшого объема, не допуская выделения сернокислых солей. Затем добавляют 20 см
хлорной кислоты и осторожно выпаривают до появления паров хлорной кислоты, после чего выдерживают в этом состоянии в течение 10 мин.
Содержимое стакана охлаждают, разбавляют водой до объема 50-60 см и кипятят. При необходимости раствор фильтруют, а фильтр с осадком промывают горячим раствором хлорной кислоты (1:500) и отбрасывают. Раствор или фильтрат охлаждают, переносят в мерную колбу вместимостью 100 см
, доливают водой до метки и перемешивают (основной раствор).
В зависимости от массовой доли марганца в коническую колбу вместимостью 250 см отбирают аликвотную часть основного раствора и добавляют смесь кислот и воды в количестве, указанном в табл. 3б.
Таблица 3б
Macсовая доля марганца, % | Аликвотная часть основного раствopa, см | Объем смеси кислот, см | Объем воды, см | ||||
От | 0,005 | до | 0,5 | включ. | 40,0 | 6 | 10 |
Св. | 0,5 | до | 1,0 | " | 20,0 | 15 | 20 |
" | 1,0 | " | 4,0 | " | 10,0 | 20 | 25 |
Содержимое колбы кипятят, доливают 10 см раствора йоднокислого калия или натрия и продолжают кипятить раствор в течение 2 мин, после чего раствор оставляют на 10 мин при температуре 90 °С. Раствор охлаждают до комнатной температуры, переносят в мерную колбу вместимостью 100 см
, предварительно промытую водой, не содержащей восстановителей, доливают этой же водой до метки и перемешивают.
Измеряют оптическую плотность раствора на спектрофотометре при длине волны 535-545 нм. Раствором сравнения служит вода. Раствор в колбе обесцвечивают, добавляя несколько капель раствора азотистокислого натрия, затем, промыв кювету этим раствором, определяют его оптическую плотность в этой же кювете. Значение оптической плотности обесцвеченного раствора вычитают из значения оптической плотности раствора пробы.
Одновременно с анализом пробы проводят контрольный опыт. Значение оптической плотности контрольного опыта вычитают из оптической плотности раствора пробы.
Массу марганца определяют по градуировочному графику.
4.3.4. Для построения градуировочного графика при массовой доле марганца от 0,005 до 0,05% в семь стаканов вместимостью 250 см помещают по 2,00 г железа, добавляют по 50 см
смеси кислот и осторожно нагревают до растворения железа. Затем растворы окисляют, прибавляя по каплям 2 см
азотной кислоты, добавляют по 20 см
хлорной кислоты, выпаривают раствор до появления паров хлорной кислоты, после чего выдерживают в этом состоянии в течение 10 мин.
Затем растворы охлаждают, разбавляют водой до объема 50-60 см и кипятят.
В случае необходимости растворы фильтруют, фильтр с осадком промывают горячим раствором хлорной кислоты (1:500). Растворы или фильтрат охлаждают, переносят в мерные колбы вместимостью 100 см, доливают водой до метки и перемешивают.
В семь стаканов вместимостью 250 см помещают по 40 см
полученного раствора железа, отобранного из семи мерных колб, и добавляют 0; 1,0; 2,0; 5,0; 10,0; 15,0 и 20,0 см
стандартного раствора В, что соответствует: 0; 0,025; 0,050; 0,125; 0,250; 0,375 и 0,500 мг марганца, растворы разбавляют водой до 60 см
, затем добавляют по 5 см
смеси кислот, растворы кипятят, добавляют до 10 см
раствора йоднокислого калия или натрия и кипятят в течение 2 мин. Растворы оставляют стоять при температуре 90 °С в течение 10 мин, затем охлаждают до комнатной температуры, переносят в мерные колбы вместимостью 100 см
, предварительно промытые водой, не содержащей восстановителей, доливают этой же водой до метки и перемешивают.
Измеряют оптическую плотность окрашенных растворов на спектрофотометре при длине волны 535-545 нм.
Раствором сравнения служит раствор, не содержащий стандартного раствора марганца. Пo полученным значениям оптических плотностей растворов и соответствующим им содержаниям марганца строят градуировочный
график.
4.3.5. Для построения градуировочного графика при массовой доле марганца свыше 0,05% в стакан вместимостью 250 см помещают 1,00 г железа и далее поступают, как при приготовлении растворов железа по п.4.3.4.
Затем в шесть стаканов вместимостью 250 смотбирают по 10 см
раствора железа и отмеряют: 0; 2,0; 5,0; 10,0; 15,0 и 20,0 см
стандартного раствора Б, что соответствует 0,0; 0,2; 0,5; 1,0; 1,5 и 2,0 мг марганца, растворы разбавляют водой до объема 35 см
и прибавляют по 20 см
смеси кислот. Растворы кипятят, добавляют по 10 см
раствора йоднокислого калия или натрия и далее поступают, как указано в п.4.3.4
.
4.3.3-.4.3.5. (Введены дополнительно. Изм. N 1).
4.4. Обработка результатов
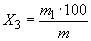
4.4.1. Массовую долю марганца () в процентах вычисляют по формуле
,
где - масса марганца, найденная по градуировочному графику, г;
- масса навески пробы, соответствующая аликвотной части раствора, г.
4.4.2. Нормы точности и нормативы контроля точности определения массовой доли марганца приведены в табл. 2.
(Измененная редакция, Изм. N 2).
5. АТОМНО-АБСОРБЦИОННЫЙ МЕТОД
5.1. Сущность метода
Метод основан на измерении степени поглощения резонансного излучения свободными атомами марганца, образующимися в результате распыления анализируемого раствора в пламени воздух-ацетилен.
Навеску образца растворяют в смеси соляной и азотной кислот, выпаривают раствор досуха и сухой остаток растворяют в соляной кислоте. После соответствующего разбавления часть раствора используют для определения марганца атомно-абсорбционным методом.
5.2. Аппаратура и реактивы
Атомно-абсорбционный пламенный спектрофотометр.
Лампа с полым катодом для определения марганца.
Ацетилен по ГОСТ 5457-75.
Компрессор, обеспечивающий подачу сжатого воздуха, или баллон со сжатым воздухом.
Кислота соляная по ГОСТ 3118-77 или ГОСТ 14261-77.
Кислота азотная по ГОСТ 4461-77 или ГОСТ 11125-84.
Марганец металлический марки Мр 00 по ГОСТ 6008-82.
Стандартные растворы солянокислого марганца
Раствор А: 1 г металлического марганца растворяют при нагревании в 20 см соляной кислоты, осторожно, по каплям, прибавляют 1-2 см
азотной кислоты и кипятят до удаления окислов азота. Раствор переносят в мерную колбу вместимостью 1 дм
, охлаждают, доливают водой до метки и перемешивают.
1 см стандартного раствора А содержит 0,001 г марганца.
Раствор Б: 10 см раствора А помещают в мерную колбу вместимостью 100 см
, доливают до метки водой и перемешивают.
1 см стандартного раствора Б содержит 0,0001 г марганца
.
5.3. Подготовка к анализу
Прибор готовят в соответствии с прилагаемой инструкцией. Настраивают спектрофотометр на резонансную линию 279,5 нм при массовой доле марганца менее 0,5% или 403,0 нм при массовой доле марганца более 0,5%. После включения подачи газа и зажигания горелки распыляют воду и устанавливают нулевое показание прибора.
5.4. Проведение анализа
5.4.1. Навеску стали или чугуна в зависимости от массовой доли марганца (табл. 4) помещают в стакан вместимостью 100 см и растворяют в смеси 10 см
соляной и 3-5 см
азотной кислот. Раствор выпаривают досуха. Сухой остаток растворяют в 4 см
соляной кислоты, раствор переносят в мерную колбу вместимостью 100 см
, доливают до метки водой и перемешивают. Часть раствора фильтруют через сухой фильтр "белая лента" в коническую колбу, ополоснув ее первыми порциями фильтрата.
Для приготовления контрольного раствора в мерную колбу вместимостью 100 см помещают 4 см
соляной кислоты, доливают до метки водой и перемешивают.
Распыляют контрольный и испытуемые растворы в порядке увеличения абсорбции до получения стабильных показаний для каждого раствора. Перед всасыванием измеряемого раствора распыляют воду для промывания системы и проверки нулевой точки.
Таблица 4
|
|
| |||
От | 0,1 | до | 0,2 | 0,2 | 279,5 |
Св. | 0,2 | " | 0,5 | 0,1 | 279,5 |
" | 0,5 | " | 1,5 | 0,2 | 403,0 |
" | 1,5 | " | 3,0 | 0,1 | 403,0 |
5.4.2. Построение градуировочных графиков
5.4.2.1. Построение градуировочного графика для массовой доли марганца от 0,1 до 0,5%.
В мерные колбы вместимостью по 100 см помещают 1; 2; 3; 4; 5 и 6 см
стандартного раствора Б солянокислого марганца, что соответствует 1·10
; 2·10
; 3·10
; 4·10
; 5·10
и 6·10
г марганца. Прибавляют по 4 см
соляной кислоты, доливают до метки водой и перемешивают.
Для приготовления контрольного раствора в мерную колбу вместимостью 100 см помещают 4 см
соляной кислоты, доливают до метки водой и перемешивают.
Настраивают прибор на резонансную линию 279,5 нм.
Растворы распыляют в порядке увеличения абсорбции, начиная с контрольного раствора. Перед распылением каждого раствора распыляют воду. Из среднего значения оптической плотности каждого раствора вычитают среднее значение оптической плотности контрольного раствора. По найденным значениям оптической плотности и соответствующим им массам марганца строят градуировочный гр
афик.
5.4.2.2. Построение градуировочного графика для массовой доли марганца от 0,5 до 3,0%.
В мерные колбы вместимостью по 100 см помещают 1,0; 1,5; 2,0; 2,5; 3,0 и 3,5 см
стандартного раствора А, что соответствует 1·10
; 1,5·10
; 2·10
; 2,5·10
; 3·10
; 3,5·10
г марганца, прибавляют по 4 см
соляной кислоты, разбавляют до метки водой и перемешивают. Для приготовления контрольного раствора в мерную колбу вместимостью 100 см
помещают 4 см
соляной кислоты, доливают до метки водой и перемешивают.
Настраивают прибор на резонансную линию 403,0 нм.
Далее поступают, как указано в п.5.4
.2.1.
5.5. Обработка результатов
5.5.1. Вычисляют среднее значение оптической плотности контрольного раствора и вычитают это значение из среднего значения оптической плотности испытуемых растворов.
По градуировочному графику находят массу марганца в испытуемом растворе в граммах.
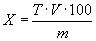
5.5.2. Массовую долю марганца () в процентах вычисляют по формуле
,
где - масса марганца, найденная по градуировочному графику, г;
- масса навески стали, г.
5.5.3. Нормы точности и нормативы контроля точности определения массовой доли марганца приведены в табл. 2.
(Измененная редакция, Изм. N 2).
Текст документа сверен по:
официальное издание
М.: Издательство стандартов, 1988
Редакция документа с учетом
изменений и дополнений подготовлена
АО "Кодекс"
Разместите заказ
сами сделают вам предложение
