ГОСТы сталей. ГОСТ 22536.4-88
ГОСТ 22536.4-88
Группа В09
ГОСУДАРСТВЕННЫЙ СТАНДАРТ СОЮЗА ССР
СТАЛЬ УГЛЕРОДИСТАЯ И ЧУГУН НЕЛЕГИРОВАННЫЙ
Методы определения кремния
Carbon steel and unalloyed cast iron.
Methods for determination of silicon
ОКСТУ 0809
Срок действия с 01.01.90
до 01.07.95*
______________________________
* Ограничение срока действия снято
по протоколу N 4-93 Межгосударственного Совета
по стандартизации, метрологии и сертификации.
(ИУС N 4, 1994 год). - Примечание "КОДЕКС".
ИНФОРМАЦИОННЫЕ ДАННЫЕ
1. РАЗРАБОТАН И ВНЕСЕН Министерством черной металлургии СССР
ИСПОЛНИТЕЛИ
Д. К. Нестеров, канд. техн. наук; С. И. Рудюк, канд. техн. наук; С. В. Спирина, канд. хим. наук (руководитель темы); В. Ф. Коваленко, канд. техн. наук; Н. Н. Гриценко, канд. хим. наук; Л. И. Березовая; О. М. Киржнер
2. УТВЕРЖДЕН И ВВЕДЕН В ДЕЙСТВИЕ Постановлением Государственного комитета СССР по стандартам от 25.08.88 N 3018
3. ВЗАМЕН ГОСТ 22536.4-77
4. ССЫЛОЧНЫЕ НОРМАТИВНО-ТЕХНИЧЕСКИЕ ДОКУМЕНТЫ
Обозначение НТД, на который дана ссылка | Номер пункта, подпункта |
ГОСТ 83-79 | 3.2 |
ГОСТ 3118-77 | 2.2, 3.2 |
ГОСТ 3765-78 | 3.2 |
ГОСТ 4165-78 | 3.2 |
ГОСТ 4204-77 | 2.2, 3.2, 4.2 |
ГОСТ 4328-77 | 3.2 |
ГОСТ 4461-77 | 2.2 |
ГОСТ 5962-67 | 3.2 |
ГОСТ 6344-73 | 3.2 |
ГОСТ 6563-75 | 2.2 |
ГОСТ 9428-73 | 3.2 |
ГОСТ 10484-78 | 2.2 |
ГОСТ 11125-84 | 2.2 |
ГОСТ 11293-78 | 3.2 |
ГОСТ 13610-79 | 3.2 |
ГОСТ 14261-77 | 2.2 |
ГОСТ 18300-87 | 3.2 |
ГОСТ 19522-74 | 2.2 |
ГОСТ 22180-76 | 3.2 |
ГОСТ 22536.0-87 | 1.1 |
Настоящий стандарт устанавливает гравиметрический (при массовой доле кремния от 0,1 до 4,0%) и фотометрический (при массовой доле кремния от 0,005 до 1,0%) методы определения кремния.
1. ОБЩИЕ ТРЕБОВАНИЯ
1. ОБЩИЕ ТРЕБОВАНИЯ
1.1. Общие требования к методам анализа - по ГОСТ 22536.0-87.
1.2. Погрешность результата анализа (при доверительной вероятности =0,95) не превышает предела
, приведенного в табл. 1 при выполнении условий:
расхождение между результатами двух (трех) параллельных измерений не должно превышать (при доверительной вероятности =0,95) значения
, приведенного в табл. 1;
воспроизведенное в стандартном образце значение массовой доли кремния не должно отличаться от аттестованного более чем на допускаемое (при доверительной вероятности =0,85) значение
, приведенное в табл. 1.
При невыполнении одного из вышеуказанных условий проводят повторные измерения массовой доли кремния. Если и при повторных измерениях требования к точности результатов не выполняются, результаты анализа признают неверными, измерения прекращают до выявления и устранения причин, вызвавших нарушение нормального хода анализа.
Расхождение двух средних результатов анализа, выполненных в различных условиях (например, при внутрилабораторном контроле воспроизводимости), не должно превышать (при доверительной вероятности =0,95) значения
, приведенного в табл. 1.
Таблица 1
|
|
|
| ||||||
|
|
| |||||||
От | 0,005 | до | 0,010 | включ. | 0,0022 | 0,0028 | 0,0023 | 0,0028 | 0,0014 |
Св. | 0,010 | " | 0,020 | " | 0,003 | 0,004 | 0,003 | 0,004 | 0,002 |
" | 0,020 | " | 0,050 | " | 0,005 | 0,006 | 0,005 | 0,006 | 0,003 |
" | 0,050 | " | 0,10 | " | 0,008 | 0,010 | 0,008 | 0,010 | 0,005 |
" | 0,10 | " | 0,2 | " | 0,014 | 0,018 | 0,014 | 0,018 | 0,009 |
" | 0,2 | " | 0,5 | " | 0,022 | 0,028 | 0,022 | 0,028 | 0,014 |
" | 0,5 | " | 1,0 | " | 0,03 | 0,04 | 0,03 | 0,04 | 0,02 |
" | 1,0 | " | 2,0 | " | 0,05 | 0,06 | 0,05 | 0,06 | 0,03 |
" | 2,0 | " | 4,0 | " | 0,07 | 0,08 | 0,07 | 0,08 | 0,04 |
2. ГРАВИМЕТРИЧЕСКИЙ МЕТОД ОПРЕДЕЛЕНИЯ КРЕМНИЯ
2.1. Сущность метода
Метод основан на выделении кремния в виде полимеризованной кремниевой кислоты из кислого раствора, ее дегидратации и взвешивании полученного диоксида кремния.
2.2. Аппаратура и реактивы
Электропечь сопротивления лабораторная.
Кислота соляная по ГОСТ 3118-77 или по ГОСТ 14261-77 и разбавленная 1:1 и 1:50.
Кислота серная по ГОСТ 4204-77 и разбавленная 1:1, 1:2 и 1:4.
Кислота азотная по ГОСТ 4461-77 или по ГОСТ 11125-84 и разбавленная 1:2.
Кислота хлорная, ч. д. а. или х. ч.
Кислота фтористоводородная по ГОСТ 10484-78.
Аммоний роданистый по ГОСТ 19522-74, раствор с массовой концентрацией 50 г/дм.
Изделия технические из благородных металлов и сплавов по ГОСТ 6563-75.
2.3. Проведение анализа
2.3.1. Навеску стали или чугуна в зависимости от массовой доли кремния (см. табл. 2) помещают в стакан вместимостью 250-300 см и проводят растворение навески и выделение кремниевой кислоты по одному из описанных ниже методов.
Таблица 2
Массовая доля кремния, % | Навеска стали или чугуна, г | |||
От | 0,1 | до 0,5 | включ. | 2,0 |
Св. | 0,5 | " 2,0 | " | 1,0 |
" | 2,0 | " 4,0 | " | 0,5 |
2.3.2. Сернокислотный метод
В стакан с навеской приливают 15-25 см серной кислоты (1:4), и нагревают до полного растворения пробы. Добавляют азотную кислоту до прекращения вспенивания раствора и 20 см
серной кислоты (1:1). Содержимое стакана выпаривают до появления белых паров серной кислоты, которым дают выделиться 5-8 мин. Затем стакан снимают с плиты, охлаждают и осторожно по стенкам стакана приливают 10 см
соляной кислоты, слегка перемешивая содержимое. Через 4-5 мин приливают 50-70 см
горячей воды, накрывают стакан часовым стеклом и нагревают при перемешивании до растворения солей. Осадок сразу же отфильтровывают на фильтр "белая лента" с добавлением небольшого количества фильтробумажной массы и промывают горячей соляной кислотой (1:50) до отрицательной реакции промывных вод на железо (проба с раствором роданистого аммония), а затем 3-5 раз горячей водой. Фильтр с осадком сохраняют.
Фильтрат вместе с промывными водами переносят в стакан, в котором проводилось растворение, и дополнительно выделяют кремниевую кислоту, проводя операции выпаривания раствора и фильтрования осадка как приведено выше.
Фильтры с основными и дополнительно выделенными осадками помещают в платиновый тигель, высушивают, озоляют и прокаливают при температуре 1000-1100 °С до постоянной массы.
Тигель с осадком охлаждают в эксикаторе и взвешивают. Затем осадок смачивают 3-5 каплями воды, приливая ее по стенкам тигля, прибавляют 3-5 капель серной кислоты (1:2) и 3-5 см фтористоводородной кислоты. Содержимое тигля осторожно, не давая кипеть, выпаривают до прекращения выделения белых паров серной кислоты. Затем тигель прокаливают при температуре 1000-1100 °С до постоянной массы, охлаждают в эксикаторе и взвешивают. Одновременно с выполнением анализа проводят контрольный опыт на загрязнение реактивов.
2.3.3. Серносолянокислотный метод
В стакан с навеской приливают 30-50 см соляной кислоты (1:1) и нагревают до растворения пробы, затем добавляют по каплям небольшое количество азотной кислоты до прекращения вспенивания раствора и выпаривают раствор досуха.
Охлажденный сухой остаток смачивают 20 см серной кислоты (1:1) и нагревают до появления белых паров серной кислоты, которым дают выделяться в течение 3-5 мин. Стакан снимают с плиты, охлаждают, осторожно приливают по стенкам стакана 15 см
соляной кислоты, слегка перемешивая содержимое стакана. Спустя 1-2 мин приливают 120-130 см
горячей воды и нагревают до растворения солей. Далее проводят анализ как приведено в п.2.3.2.
2.3.4. Хлорнокислотный метод
В стакан с навеской приливают 15-20 см азотной кислоты (1:2), накрывают стакан стеклом и нагревают до растворения пробы. Если навеска растворяется плохо, следует прибавить 10-15см
соляной кислоты. После растворения навески прибавляют 20-40 см
хлорной кислоты, снова накрывают стакан стеклом и выпаривают до появления белых паров хлорной кислоты, которым дают выделяться в течение 15-20 мин. Затем стакан охлаждают, осторожно приливают 15-20 см
соляной кислоты, 50-70 см
горячей воды, слегка перемешивая содержимое стакана, и нагревают до растворения солей при 60-70 °С (не более 4-6 мин). Далее проводят анализ как указано в п.2.3.2.
2.4. Обработка результатов
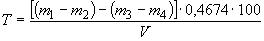
2.4.1. Массовую долю кремния () в процентах вычисляют по формуле
,
где - масса тигля с осадком диоксида кремния, г;
- масса тигля с остатком после обработки фтористоводородной кислотой, г;
- масса тигля с осадком, полученным в контрольном опыте, г,
- масса тигля с остатком, полученным в контрольном опыте после обработки фтористоводородной кислотой, г;
- масса навески пробы, г;
0,4674 - коэффициент пересчета диоксида кремния на кремний.
2.4.2. Нормы точности и нормативы контроля точности определения массовой доли кремния приведены в табл. 1.
3. ФОТОМЕТРИЧЕСКИЙ МЕТОД ОПРЕДЕЛЕНИЯ КРЕМНИЯ
(при массовой доле кремния от 0,01 до 0,05%)
3.1. Сущность метода
Метод основан на образовании кремнемолибденового комплекса в слабокислой среде, восстановлении его аскорбиновой кислотой или тиомочевиной в присутствии сернокислой меди до кремнемолибденовой сини и измерении оптической плотности окрашенного раствора при длине волны 810 нм.
3.2. Аппаратура и реактивы
Фотоэлектроколориметр или спектрофотометр.
Кислота серная по ГОСТ 4204-77, разбавленная 1:3, 1:8.
Натрий углекислый ГОСТ 83-79.
Кислота щавелевая по ГОСТ 22180-76, раствор с массовой концентрацией 80 г/дм.
Кислота соляная по ГОСТ 3118-77 и разбавленная 1:3.
Аммоний молибденовокислый по ГОСТ 3765-78, перекристаллизованный из спирта, раствор с массовой концентрацией 50 г/дм.
Перекристаллизация молибденовокислого аммония: 250 г молибденовокислого аммония растворяют в 400 см воды при 70-80 °С. Горячий раствор фильтруют через фильтр "синяя лента" в стакан, содержащий 300 см
этилового спирта. Раствор охлаждают и выдерживают в проточной воде в течение 1 ч. Выпавшие кристаллы отфильтровывают на воронку Бюхнера с фильтром "белая лента". Кристаллы промывают 2-3 раза этиловым спиртом порциями по 20-30 см
и высушивают на воздухе.
Спирт этиловый ректификованный по ГОСТ 5962-67 или ГОСТ 18300-87.
Железо карбонильное радиотехническое по ГОСТ 13610-79.
Кислота аскорбиновая, раствор с массовой концентрацией 50 г/дм, свежеприготовленный.
Тиомочевина по ГОСТ 6344-73, раствор с массовой концентрацией 100 г/дм.
Медь сернокислая (II) пятиводная по ГОСТ 4165-78, раствор с массовой концентрацией 4 г/дм в серной кислоте, разбавленной 1:3.
Натрия гидроксид по ГОСТ 4328-77, раствор с массовой концентрацией 100 г/дм.
Желатин по ГОСТ 11293-78, раствор с массовой концентрацией 5-10 г/дм.
Диоксид кремния по ГОСТ 9428-73, прокаленный при 1000-1100 °С.
Остальная аппаратура и реактивы по п.2.2.
Стандартные растворы кремния
Раствор А: навеску диоксида кремния массой 0,2140 г сплавляют в платиновом тигле с 2 г безводного углекислого натрия. Плав выщелачивают в горячей воде, добавляют 40 см раствора гидроксида натрия с массовой концентрацией 100 г/дм
, переводят раствор в мерную колбу вместимостью 1 дм
, доливают до метки водой и перемешивают.
1 см раствора содержит 0,0001 г кремния.
Раствор Б: 50 см раствора А помещают в мерную колбу вместимостью 250 см
, доливают до метки водой и перемешивают.
1 см раствора Б содержит 0,000020 г кремния.
Растворы хранят в полиэтиленовой посуде.
Установление массовой концентрации стандартного раствора кремния А: 50 см стандартного раствора помещают в стакан вместимостью 200 см
, приливают 30 см
соляной кислоты, выпаривают до влажных солей, добавляют 10 см
соляной кислоты и вновь выпаривают до влажных солей. Стакан с осадком охлаждают до 50 °С, добавляют 10 см
соляной кислоты и 1-2 см
раствора желатина. Через 1 мин добавляют еще 2 см
желатина, перемешивают и дают отстояться 10 мин. Затем добавляют 50 см
горячей воды, перемешивают, через 10 мин добавляют еще столько же горячей воды и снова перемешивают, после чего фильтруют через фильтр "белая лента" с фильтробумажной массой, промывают 8-10 раз соляной кислотой (1:50), и 4-5 раз горячей водой.
Фильтр с осадком помещают в платиновый тигель и затем поступают, как указано в п.2.3.2, включая обработку полученного осадка диоксида кремния фтористоводородной кислотой.
Массовую концентрацию стандартного раствора кремния (), выраженную в г/см
, рассчитывают по формуле
,
где - объем стандартного раствора кремния, взятый для анализа, см
;
- масса тигля с осадком диоксида кремния, г;
- масса тигля с остатком после обработки фтористоводородной кислотой, г;
- масса тигля с осадком, полученным в контрольном опыте, г;
- масса тигля с остатком, полученным в контрольном опыте, после обработки фтористоводородной кислотой, г;
- масса навески пробы, г;
0,4674 - коэффициент пересчета диоксида кремния на кремний
3.3. Проведение анализа
3.3.1. Навеску стали или чугуна в зависимости от массовой доли кремния (см. табл. 3) помещают в коническую колбу вместимостью 100 см, приливают 10-15 см
серной кислоты (1:8), и нагревают на водяной бане, не допуская кипения раствора.
Таблица 3
Массовая доля кремния, % | Навеска стали или чугуна, г | Аликвотная часть | ||||
От | 0,01 | до | 0,05 | включ. | 0,5 | 10 |
Св. | 0,05 | " | 0,10 | " | 0,3 | 10 |
" | 0,10 | " | 0,5 | " | 0,2 | 5 |
" | 0,5 | " | 1,0 | " | 0,1 | 5 |
После растворения навески прибавляют по каплям азотную кислоту до прекращения вспенивания раствора и в избыток 1-2 капли. Стенки колбы обмывают небольшим количеством воды и раствор продолжают нагревать 3-5 мин, не допуская кипения, до удаления оксидов азота. Раствор фильтруют через фильтр "белая лента" в мерную колбу вместимостью 100 см и промывают осадок на фильтре 3-4 раза небольшими порциями горячей воды, доливают до метки водой и перемешивают.
Две аликвотные части раствора (см. табл. 3) помещают в мерные колбы вместимостью 50 см (при массовой доле кремния от 0,01 до 0,05%) или 100 см
(при массовой доле кремния более 0,05%), в одну из них приливают 10 см
раствора молибденовокислого аммония, перемешивают и выдерживают 15 мин для образования желтой молибденовокремниевой гетерополикислоты. Затем в колбы приливают строго в указанном порядке, перемешивая после добавления каждого реактива: 10 см
серной кислоты (1:3), 5 см
раствора щавелевой кислоты, 5 см
раствора аскорбиновой кислоты, доливают до метки водой и перемешивают. Через 30 мин измеряют величину оптической плотности окрашенного раствора на спектрофотометре при длине волны 810 нм или на фотоэлектроколориметре со светофильтром, имеющим максимум пропускания в интервале длин волн 600-650 нм. В качестве раствора сравнения применяют вторую аликвотную часть раствора анализируемой пробы, в которую добавлены все реактивы за исключением молибденовокислого аммония.
Для восстановления желтой формы молибденовокремниевой гетерополикислоты можно использовать тиомочевину в присутствии сернокислой меди. В этом случае после выдержки раствора в течение 15 мин в колбы приливают 10 см раствора сернокислой меди, перемешивают, приливают 5 см
раствора тиомочевины, доливают до метки водой и перемешивают. Через 3-5 мин измеряют величину оптической плотности как приведено выше. В качестве раствора сравнения применяют вторую аликвотную часть раствора анализируемой пробы, в которую добавлены все реактивы за исключением молибденовокислого аммония.
Одновременно с выполнением анализа проводят контрольный опыт на загрязнение реактивов.
Из значения оптической плотности анализируемого раствора вычитают значение оптической плотности раствора контрольного опыта.
Массу кремния находят по градуировочному графику или методом сравнения со стандартным образцом, близким по составу к анализируемой пробе и проведенным через все стадии анали
за.
3.3.2. Построение градуировочного графика
При массовой доле кремния от 0,01 до 0,05%
В семь конических колб вместимостью 100 см помещают 0,5 г карбонильного железа. В шесть из них добавляют последовательно 2; 4; 6; 9; 12; 15 см
стандартного раствора Б, что соответствует 0,000040; 0,000080; 0,000120; 0,000180; 0,000240; 0,000300 г кремния. Седьмая колба служит для проведения контрольного опыта.
В колбы приливают 10-15 см раствора серной кислоты (1:8), и далее проводят анализ по п.3.3.1.
При массовой доле кремния от 0,05 до 1%
В семь конических колб вместимостью 100 см помещают 0,1-0,3 г карбонильного железа в зависимости от навески анализируемой пробы. В шесть из них добавляют последовательно 1; 3; 5; 7; 10; 12 см
стандартного раствора А, что соответствует 0,00010; 0,00030; 0,00050; 0,00070; 0,00100; 0,00120 г кремния. Седьмая колба служит для проведения контрольного опыта.
В колбы приливают 10-15 см раствора серной кислоты (1:8) и далее проводят анализ по п.3.3.1.
По найденным значениям оптической плотности и соответствующим им значениям массы кремния строят градуировочный график. Допускается построение градуировочного графика в координатах: оптическая плотность - массовая доля кремния.
3.4. Обработка результатов
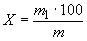
3.4.1. Массовую долю кремния () в процентах вычисляют по формуле
,
где - масса кремния в анализируемой пробе, найденная по градуировочному графику, г;
- масса навески,г.
3.4.2. Нормы и нормативы контроля точности определения массовой доли кремния приведены в табл. 1.
4. ФОТОМЕТРИЧЕСКИЙ МЕТОД ОПРЕДЕЛЕНИЯ КРЕМНИЯ В ВИДЕ КРЕМНЕМОЛИБДЕНОВОГО КОМПЛЕКСА (ПРИ МАССОВОЙ ДОЛЕ КРЕМНИЯ 0,005-0,1%)
4.1. Сущность метода
Метод основан на образовании кремнемолибденового комплекса и восстановлении его до молибденовой сини железом (II), образовавшимся при растворении навески пробы в слабокислой среде и измерении оптической плотности окрашенного раствора при длине волны 810 нм.
4.2. Аппаратура и реактивы
Кислота серная по ГОСТ 4204-77, разбавленная 1:20.
Остальные реактивы - по пп.2.2 и 3.2.
4.3. Проведение анализа
4.3.1. Навеску стали или чугуна в зависимости от массовой доли кремния (см. табл. 4) помещают в коническую колбу вместимостью 100 см, накрывают часовым стеклом и растворяют в 15-20 см
серной кислоты (1:20) при умеренном нагревании на водяной бане.
Таблица 4
Массовая доля кремния, % | Навеска стали или чугуна, г | Аликвотная часть, см |
|
|
|
Св. 0,03 " 0,10 " | 0,25 | 10 |
Во избежании возможного окисления железа до трехвалентного при растворении пробы не следует допускать контакта с окисляющими веществами. После полного растворения навески раствор быстро фильтруют через фильтр "белая лента" в мерную колбу вместимостью 100 см, охлаждают, доливают до метки водой и перемешивают. Аликвотную часть 10-20 см
(см. табл. 4) помещают в мерную колбу вместимостью 50 см
, медленно приливают 10 см
раствора молибденовокислого аммония и перемешивают. Через 3-5 мин осторожно по стенке колбы приливают 10 см
серной кислоты (1:4), сразу же доливают до метки водой и перемешивают.
Через 15-20 мин измеряют величину оптической плотности раствора на спектрофотометре при длине волны 810 нм или на фотоэлектроколориметре со светофильтром, имеющим максимум пропускания в интервале 600-650 нм. В качестве раствора сравнения применяют воду. Одновременно с выполнением анализа проводят контрольный опыт на загрязнение реактивов.
Из значения оптической плотности анализируемого раствора вычитают значение оптической плотности раствора контрольного опыта.
Массу кремния находят по градуировочному графику или методом сравнения со стандартным образцом, близким по составу к анализируемой пробе и проведенным через все стадии анализа.
4.3.2. Построение градуировочного графика
В семь конических колб вместимостью 100 см помещают по 0,25-0,5 г карбонильного железа в зависимости от навески анализируемой пробы. В шесть из них приливают последовательно 1; 3; 6; 9; 12; 15 см
стандартного раствора Б, что соответствует 0,000020; 0,000060; 0,000120; 0,000180; 0,000240; 0,000300 г кремния. В колбы приливают по 15-20 см
серной кислоты (1:20) и далее ведут анализ как приведено в п.4.3.1. Седьмая колба служит для приготовления раствора контрольного опыта.
По найденным значениям оптической плотности и соответствующим им значениям массы кремния строят градуировочный график. Допускается построение градуировочного графика в координатах оптическая плотность - массовая доля кремния.
4.4. Обработка результатов
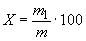
4.4.1. Массовую долю () кремния в процентах вычисляют по формуле
,
где - масса кремния в анализируемой пробе, найденная по градуировочному графику;
- масса навески,г.
4.4.2. Нормы точности и нормативы контроля точности определения массовой доли кремния приведены в табл. 1.
Текст документа сверен по:
официальное издание
Сталь углеродистая и чугун нелегированный.
Методы анализа: Сб. ГОСТов. -
М.: Издательство стандартов, 1989
Разместите заказ
сами сделают вам предложение
