ГОСТы сталей. ГОСТ 22536.12-88
ГОСТ 22536.12-88
Группа В09
ГОСУДАРСТВЕННЫЙ СТАНДАРТ СОЮЗА ССР
СТАЛЬ УГЛЕРОДИСТАЯ И ЧУГУН НЕЛЕГИРОВАННЫЙ
Методы определения ванадия
Carbon steel and unalloyed cast iron. Methods for determination of vanadium
ОКСТУ 0809
Срок действия с 01.01.90
до 01.07.95*
______________________________
* Ограничение срока действия снято
по протоколу N 4-93 Межгосударственного Совета
по стандартизации, метрологии и сертификации.
(ИУС N 4, 1994 год). - Примечание "КОДЕКС".
ИНФОРМАЦИОННЫЕ ДАННЫЕ
1. РАЗРАБОТАН И ВНЕСЕН Министерством черной металлургии СССР
ИСПОЛНИТЕЛИ
Д. К. Нестеров, канд. техн. наук; С. И. Рудюк, канд. техн. наук; С. В. Спирина, канд. хим. наук (руководитель темы); В. Ф. Коваленко, канд.техн. наук; Н. Н. Гриценко, канд.техн. наук; Е. В. Подпружникова; Л. И. Березовая
2. УТВЕРЖДЕН И ВВЕДЕН В ДЕЙСТВИЕ Постановлением Государственного комитета СССР по стандартам от 25.08.88 N 3018
3. ВЗАМЕН ГОСТ 22536.12-77
4. ССЫЛОЧНЫЕ НОРМАТИВНО-ТЕХНИЧЕСКИЕ ДОКУМЕНТЫ
Обозначение НТД, на который дана ссылка | Номер пункта, подпункта, приложения |
ГОСТ 83-79 | 3.2 |
ГОСТ 3118-77 | Приложение |
ГОСТ 3760-79 | 2.2, приложение |
ГОСТ 4148-78 | 3.2 |
ГОСТ 4197-74 | 2.2, 3.2 |
ГОСТ 4204-77 | 2.2, 3.2, 4.2, приложение |
ГОСТ 4205-77 | 4.2 |
ГОСТ 4208-72 | 3.2, 4.2 |
ГОСТ 4461-77 | 2.2, 3.2, приложение |
ГОСТ 5072-79 | 4.2 |
ГОСТ 6552-80 | 2.2, 3.2, приложение |
ГОСТ 6691-77 | 3.2 |
ГОСТ 9336-75 | 2.2, приложение |
ГОСТ 11125-84 | 2.2, 3.2, приложение |
ГОСТ 13610-79 | 2.2, приложение |
ГОСТ 14261-77 | Приложение |
ГОСТ 14262-78 | 2.2, 3.2, 4.2, приложение |
ГОСТ 18289-78 | 2.2 |
ГОСТ 20015-75 | Приложение |
ГОСТ 20490-75 | 2.2, 3.2, приложение |
ГОСТ 22536.0-87 | 1.1 |
Настоящий стандарт устанавливает фотометрический (при массовой доле ванадия от 0,05 до 0,25%), титриметрический (при массовой доле ванадия 0,02-0,25%) и кулонометрический (при массовой доле ванадия 0,005-0,25%) методы определения ванадия.
Экстракционно-фотометрический метод определения ванадия приведен в приложении.
1. ОБЩИЕ ТРЕБОВАНИЯ
1. ОБЩИЕ ТРЕБОВАНИЯ
1.1. Общие требования к методам анализа - по ГОСТ 22536.0-87.
1.2. Погрешность результата анализа (при доверительной вероятности =0,95) не превышает предела
, приведенного в табл. 1, при выполнении условий:
расхождение результатов двух (трех) параллельных измерений не должно превышать (при доверительной вероятности =0,95) значения
(
), приведенного в табл. 1;
воспроизведенное в стандартном образце значение массовой доли ванадия не должно отличаться от аттестованного более чем на допускаемое (при доверительной вероятности =0,85) значение
, приведенное в табл.1.
При невыполнении одного из вышеуказанных условий проводят повторные измерения массовой доли ванадия. Если и при повторных измерениях требования к точности результатов не выполняются, результаты анализа признают неверными, измерения прекращают до выявления и устранения причин, вызвавших нарушение нормального хода анализа.
Расхождение двух средних результатов анализа, выполненных в различных условиях (например, при внутрилабораторном контроле воспроизводимости), не должно превышать (при доверительной вероятности 0,95) значения , приведенного в табл. 1.
Таблица 1
Допускаемые расхождения, % |
| ||||||||
Массовая доля ванадия, % |
|
|
|
| |||||
От | 0,005 | до | 0,01 | включ. | 0,0024 | 0,0030 | 0,0025 | 0,0031 | 0,0016 |
Св. | 0,01 | " | 0,02 | " | 0,003 | 0,004 | 0,003 | 0,004 | 0,002 |
" | 0,02 | " | 0,05 | " | 0,006 | 0,007 | 0,006 | 0,007 | 0,004 |
" | 0,05 | " | 0,10 | " | 0,010 | 0,012 | 0,010 | 0,012 | 0,006 |
" | 0,10 | " | 0,25 | " | 0,017 | 0,021 | 0,017 | 0,021 | 0,011 |
2. ФОТОМЕТРИЧЕСКИЙ МЕТОД
2.1. Сущность метода
Метод основан на образовании окрашенной в желтый цвет ванадиевофосфорновольфрамовой гетерополикислоты в кислой среде при взаимодействии ванадия (V) с фосфорной кислотой и вольфраматом натрия и измерении оптической плотности окрашенного раствора при =400 нм.
Мешающее влияние железа устраняют прибавлением ортофосфорной кислоты.
2.2. Аппаратура и реактивы
Спектрофотометр или фотоэлектроколориметр.
Кислота серная по ГОСТ 4204-77 или по ГОСТ 14262-78, разбавленная 1:4.
Кислота ортофосфорная по ГОСТ 6552-80.
Кислота азотная по ГОСТ 4461-77 или по ГОСТ 11125-84.
Аммиак водный по ГОСТ 3760-79.
Калий марганцовокислый по ГОСТ 20490-75, раствор с массовой концентрацией 40 г/дм.
Натрий азотистокислый по ГОСТ 4197-74, раствор с массовой концентрацией 100 г/дм.
Аммоний ванадиевокислый мета по ГОСТ 9336-75.
Натрий вольфрамовокислый 2-водный по ГОСТ 18289-78, раствор с массовой концентрацией 50 г/дм.
Железо карбонильное радиотехническое по ГОСТ 13610-79.
Стандартные растворы ванадия.
Раствор А: 2,296 г ванадиевокислого аммония растворяют в 100 см воды, добавляют 2-4 капли аммиака, переводят раствор в мерную колбу вместимостью 1 дм
, разбавляют водой до метки и перемешивают.
1 см раствора А содержит 0,001 г ванадия.
Раствор Б: 10 см раствора А помещают в мерную колбу вместимостью 100 см
, доводят до метки водой и тщательно перемешивают.
1 см раствора Б содержит 0,0001 г ванад
ия.
2.3. Проведение анализа
2.3.1. Навеску стали или чугуна массой 0,5 г (при массовой доле ванадия 0,05-0,10%) или 0,3 г (при массовой доле ванадия 0,10-0,25%) помещают в коническую колбу вместимостью 100 см и растворяют в 15 см
серной кислоты (1:4), при умеренном нагревании.
После полного растворения навески приливают по каплям азотную кислоту до прекращения вспенивания раствора. Раствор выпаривают до появления паров серной кислоты. Содержимое колбы охлаждают, приливают 30 см воды и нагревают до растворения солей. Если есть осадок (графит, кремниевая кислота), его отфильтровывают и промывают пять-шесть раз горячей водой. Фильтр с осадком отбрасывают, а фильтрат выпаривают до объема 30- 50 см
. Раствор переводят в мерную колбу вместимостью 100 см
.
К охлажденному раствору прибавляют раствор марганцовокислого калия до образования устойчивой окраски. Через 3-5 мин избыток марганцовокислого калия восстанавливают раствором азотистокислого натрия, прибавляя его медленно по одной капле до обесцвечивания раствора при непрерывном перемешивании.
Затем приливают 5 см фосфорной кислоты, нагревают раствор до кипения, прибавляют 10 см
раствора вольфрамовокислого натрия, выдерживают раствор при 80-90 °С в течение 2-3 мин, охлаждают, доливают до метки водой и перемешивают.
Оптическую плотность раствора измеряют на спектрофотометре при длине волны 400 нм или фотоэлектроколориметре со светофильтром, имеющим область пропускания в интервале длин волн 400-450 нм. В качестве раствора сравнения применяют раствор испытуемой пробы, приготовленный без добавления вольфрамовокислого натрия.
Результаты анализа вычисляют по градуировочному графику или методом сравнения со стандартным образцом, близким по составу к анализируемой пробе и проведенным через все стадии анализа
.
2.3.2. Построение градуировочноого графика
В шесть конических колб вместимостью 100 см помещают 0,3-0,5 г карбонильного железа в зависимости от навески пробы, в пять из них последовательно приливают стандартный раствор Б в количестве 2,0; 4,0; 5,0; 6,0; 8,0 см
, что соответствует 0,0002; 0,0004; 0,0005; 0,0006; 0,0008 г ванадия. Шестая навеска служит для проведения контрольного опыта.
В колбы приливают по 15 см серной кислоты и растворяют железо при умеренном нагревании. Далее анализ проводят, как указано в п.2.3.
В качестве раствора сравнения используют раствор контрольного опыта.
По найденным величинам оптической плотности и соответствующим значениям массы ванадия строят градуировочный график. Допускается построение градуировочного графика в координатах: оптическая плотность - массовая доля ванадия.
2.4. Обработка результатов
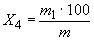
2.4.1. Массовую долю ванадия () в процентах вычисляют по формуле
,
где - масса ванадия, найденная по градуировочному графику, г;
- масса навески пробы, г.
2.4.2. Нормы точности и нормативы контроля точности определения массовой доли ванадия приведены в табл. 1.
3. ТИТРИМЕТРИЧЕСКИЙ МЕТОД
3.1. Сущность метода
Метод основан на окислении ванадия (IV) марганцовокислым калием в сернокислой среде и титровании ванадия (V) раствором соли аммоний-железа (II) сернокислого. Конечную точку титрования определяют амперометрически, потенциометрически или визуально.
3.2. Аппаратура и реактивы
Установка для потенциометрического или амперометрического титрования ванадия, обеспечивающая заданные метрологические характеристики точности определения.
Кислота серная по ГОСТ 4204-77 или по ГОСТ 14262-78, разбавленная 1:1, 1:4 и 1:50.
Кислота азотная по ГОСТ 4461-77 или по ГОСТ 11125-84.
Кислота ортофосфорная по ГОСТ 6552-80.
Калий марганцовокислый по ГОСТ 20490-75, раствор с массовой концентрацией 25 г/дм.
Железо (II) сернокислое 7-водное по ГОСТ 4148-78, свежеприготовленный раствор: 2 г сернокислого железа (II) растворяют в воде, прибавляют 5 см серной кислоты, разбавляют раствор до 100 см
и перемешивают.
Натрий азотистокислый по ГОСТ 4197-74, свежеприготовленный раствор с массовой концентрацией 20 г/дм.
Мочевина по ГОСТ 6691-77, свежеприготовленный раствор с массовой концентрацией 200 г/дм.
Натрий углекислый по ГОСТ 83-79, раствор с массовой концентрацией 2 г/дм.
Кислота фенилантраниловая, раствор с массовой концентрацией 2 г/дм: 0,2 г фенилантраниловой кислоты растворяют в 100 см
горячего раствора углекислого натрия с массовой концентрацией 2 г/дм
.
Стандартные растворы ванадия - по п.2.2.
Аммоний-железо (II) сернокислый (соль Мора) по ГОСТ 4208-72, стандартные растворы с молярной концентрацией эквивалента 0,01 моль/дм (раствор А) и 0,002 моль/дм
(раствор Б).
Раствор А: 4 г соли Мора растворяют в 1 дм серной кислоты (1:50).
Раствор Б: 200 см раствора А помещают в мерную колбу вместимостью 1 дм
, разбавляют до метки водой и перемешивают.
Массовую концентрацию раствора соли Мора устанавливают по стандартному раствору ванадия. Для этого 5-10 см стандартного раствора ванадия А или 10-20 см
раствора Б помещают в стакан вместимостью 250 см
, прибавляют 50-70 см
серной кислоты (1:4), 10 см
раствора сернокислого железа и проводят через все стадии анализа, как приведено в п.3.3. Полученный раствор титруют соответствующим раствором соли Мора, устанавливая конечную точку титрования амперометрическим или потенциометрическим методом или визуально, как приведено в разд. 3.3.
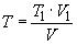
Массовую концентрацию раствора соли Мора (), выраженную в граммах ванадия на один кубический сантиметр раствора вычисляют по формуле
,
где - массовая концентрация стандартного раствора ванадия А или Б, г/см
;
- объем стандартного раствора ванадия А или Б, взятый для установления массовой концентрации раствора соли Мора, см
;
- объем раствора соли Мора, израсходованный на титрование, см
.
3.3. Проведение анализа
3.3.1. Навеску стали или чугуна массой 2 г (при массовой доле ванадия 0,02-0,05%) или 1 г (при массовой доле ванадия 0,05-0,25%) помещают в стакан вместимостью 250 см, приливают 50-70 см
серной кислоты (1:4) и нагревают до полного растворения. К раствору прибавляют по каплям азотную кислоту до прекращения вспенивания и дополнительно 2-3 см
. Раствор выпаривают до появления паров серной кислоты, охлаждают. Обмывают стенки стакана водой и вновь выпаривают до начала выделения паров серной кислоты. Содержимое стакана охлаждают, приливают 50-60 см
воды и нагревают до растворения солей.
Если образовался нерастворимый осадок, содержащий кремниевую кислоту и графит, то его отфильтровывают на фильтр "белая лента" и промывают 5-6 раз горячей водой, собирая фильтрат и промывные воды в стакан вместимостью 400 см. Фильтр с осадком отбрасывают. К раствору в стакане добавляют 50 см
серной кислоты (1:4), охлаждают, добавляют 5-10 см
раствора сернокислого закисного железа, разбавляют водой до 150 см
и снова охлаждают до 17-20 °С.
К охлажденному раствору при постоянном перемешивании прибавляют по каплям раствор марганцовокислого калия до устойчивой розовой окраски. Через 1-2 мин прибавляют по каплям раствор азотистокислого натрия до полного исчезновения розовой окраски и немедленно прибавляют 10 см мочевины.
Через 3 мин в раствор погружают выбранную пару электродов (устанавливают при амперометрическом титровании необходимое напряжение), включают милливольтметр-микроамперметр, магнитную мешалку и титруют амперометрически или потенциометрически раствором соли Мора А или Б (в зависимости от массовой доли ванадия), прибавляя его небольшими порциями из микробюретки и отмечая показания прибора после каждого добавления титранта (при амперометрическом титровании или до резкого отклонения стрелки прибора (при потенциометрическом титровании).
При визуальном определении конечной точки титрования к раствору, подготовленному для титрования, прибавляют 5-6 капель раствора фенилантраниловой кислоты и титруют раствором соли Мора до перехода вишневой окраски раствора в желто-зеленую.
Во всех случаях прибавление раствора соли Мора производят из микробюретки небольшими порциями, а в конце титрования - по капл
ям.
3.4. Обработка результатов
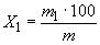
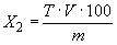
3.4.1. Массовую долю ванадия () в процентах вычисляют по формуле
,
где - массовая концентрация раствора соли Мора, выраженная в г/см
ванадия;
- объем раствора соли Мора, соответствующий конечной точке титрования, см
;
- масса навески пробы, г.
3.4.2. Нормы точности и нормативы контроля точности определения массовой доли ванадия приведены в табл. 1.
4. КУЛОНОМЕТРИЧЕСКИЙ МЕТОД
4.1. Сущность метода
Метод основан на взаимодействии ванадия (V) с электрохимически генерированными ионами железа (II). Конечную точку титрования устанавливают биамперометрически с двумя поляризованными платиновыми электродами.
4.2. Аппаратура и реактивы
Потенциостат П-5827, П-5848 или любой другой, работающий в режиме заданного тока.
Установка для амперометрического титрования с двумя поляризованными индикаторными электродами.
Рабочий генераторный электрод - вольфрамовый с площадью видимой поверхности 1,0-2,0 см.
Электрод вспомогательный платиновый, площадью 0,5-1,0 см.
Индикаторная система: два одинаковых платиновых электрода площадью 1 см.
Источник напряжения, обеспечивающий подачу напряжения на электроды не менее 100 мВ.
Секундомер по ГОСТ 5072-79.
Вольфрам металлический для генераторного электрода (чистота не менее 99%).
Квасцы железоаммонийные по ГОСТ 4205-77, раствор с молярной концентрацией 0,5 моль/дм: 240 г железоаммонийных квасцов растворяют в 500 см
воды, осторожно приливают 100 см
серной кислоты и нагревают до полного растворения солей. Раствор охлаждают, доливают водой до 1 дм
, тщательно перемешивают и фильтруют через фильтр средней плотности.
Аммоний-железо (II) сернокислый (соль Мора) по ГОСТ 4208-72, раствор с массовой концентрацией 12 г/дм: 12 г соли Мора растворяют и 400-500см
воды, осторожно приливают 50 см
серной кислоты, охлаждают, доливают водой до 1 дм
, перемешивают и фильтруют через сухой фильтр средней плотности.
Кислота серная по ГОСТ 4204-77 или ГОСТ 14262-78, раствор с молярной концентрацией эквивалента 0,1 моль/дм.
Остальные реактивы и растворы по
п.3.2.
4.3. Проведение анализа
Навеску стали или чугуна в зависимости от массовой доли ванадия (см. табл. 2) растворяют и подготавливают раствор к титрованию до момента его охлаждения согласно п.3.3.1.
Таблица 2
Массовая доля ванадия, % | Масса навески, г | Сила генераторного тока, мА | ||||
От | 0,005 | до | 0,02 | включ. | 1,0-0,5 | 0,5-2,5 |
Св. | 0,02 | " | 0,05 | " | 0,5-0,3 | 1,5-4,0 |
" | 0,05 | " | 0,25 | " | 0,2-0,1 | 2,5-5,0 |
К полученному раствору приливают 1-2 см соли Мора.
Стакан с анализируемым раствором устанавливают на мешалку, включают перемешивание, прибавляют 10 см раствора железоаммонийных квасцов, по каплям прибавляют раствор марганцовокислого калия до устойчивой в течение 1 мин розовой окраски раствора. Через 1-2 мин прибавляют по каплям раствор азотистокислого натрия до полного исчезновения розовой окраски и немедленно 1-2 г мочевины.
В стакан опускают генераторный и индикаторные электроды, накладывают на индикаторные электроды напряжение поляризации 50-100 мВ. В другой стакан, заполненный раствором серной кислоты с молярной концентрацией эквивалента 0,1 моль/дм, опускают платиновый электрод и замыкают цепь солевым мостиком, заполненным раствором серной кислоты той же концентрации.
Отмечают начальное положение индикатора измерительного прибора (микроамперметра), включенного в систему индикации конечной точки титрования, включают одновременно генераторный ток и секундомер. Электролиз ведут до тех пор, пока индикатор измерительного прибора не начнет отклоняться от первоначального положения. В этот момент выключают генераторный ток, одновременно останавливают секундомер и записывают показания индикатора (микроамперметра) и времени. В ходе титрования контролируют еще 2-3 раза показания индикаторной системы, включая генераторный ток и секундомер на 3-10 сек и записывая каждый раз показания.
Строят график зависимости показаний индикаторной системы от времени и находят время, соответствующее конечной точке титрования. Оно будет соответствовать точке пересечения прямолинейных участков обеих ветвей кривой.
4.4. Обработка результатов
4.4.1. Массовую долю ванадия () в процентах вычисляют по формуле Фарадея:
;
;
где - число Фарадея (
=96500 Кл);
- атомная масса ванадия (
=50,95 г);
- число электронов, участвующих в восстановлении ванадия (
=1);
- сила генераторного тока, А;
- время, соответствующее конечной точке титрования, с;
- масса навески пробы,
г.
4.4.2. Нормы точности и нормативы контроля точности определения массовой доли ванадия приведены в табл. 1.
ПРИЛОЖЕНИЕ (рекомендуемое). ЭКСТРАКЦИОННО-ФОТОМЕТРИЧЕСКИЙ МЕТОД ОПРЕДЕЛЕНИЯ ВАНАДИЯ С БФГА ПРИ МАССОВОЙ ДОЛЕ 0,02-0,25%
ПРИЛОЖЕНИЕ
Рекомендуемое
1. Сущность метода
Метод основан на образовании окрашенного в фиолетовый цвет комплексного соединения ванадия (V) с -фенилбензогидроксамовой кислотой в растворе соляной кислоты с молярной концентрацией эквивалента 6 моль/дм
, экстрагировании его хлороформом и измерении оптической плотности окрашенного раствора при длине волны 530 нм.
2. Аппаратура и реактивы
Аппаратура и реактивы - по п.2.2 настоящего стандарта с дополнениями.
Спектрофотометр или фотоэлектроколориметр.
Кислота соляная по ГОСТ 3118-77 или по ГОСТ 14261-77.
Кислота серная по ГОСТ 4204-77 или по ГОСТ 14262-78, разбавленная 1:4.
Кислота азотная по ГОСТ 4461-77 или по ГОСТ 11125-84.
Кислота ортофосфорная по ГОСТ 6552-80.-фенилбензогидроксамовая кислота (БФГА), раствор с массовой концентрацией 2 г/дм
в хлороформе.
Аммиак водный по ГОСТ 3760-79.
Хлороформ по ГОСТ 20015-84.
Калий марганцовокислый по ГОСТ 20490-75, раствор с массовой концентрацией 0,3 г/дм.
Аммоний ванадиевокислый мета по ГОСТ 9336-75.
Стандартные растворы ванадия А и Б готовят, как приведено в п.2.2 настоящего стандарта.
Железо карбонильное радиотехническое по ГОСТ 13610-79.
3. Проведение анализа
3.1. Навеску стали или чугуна массой 0,5 г (при массовой доле ванадия 0,02-0,1%) или 0,25 г (при массовой доле ванадия 0,1-0,25%) помещают в стакан вместимостью 200 см, прибавляют 30 см
серной кислоты (1:4), 5 см
ортофосфорной кислоты и растворяют при умеренном нагревании.
После полного растворения навески приливают по каплям азотную кислоту до прекращения вспенивания раствора. Раствор выпаривают до появления паров серной кислоты. Обмывают стенки стакана водой и вновь выпаривают до появления паров серной кислоты. Соли растворяют в 20 см воды при нагревании, охлаждают и переводят в мерную колбу вместимостью 100 см
, доливают до метки водой и перемешивают. В случае анализа чугуна раствор фильтруют на фильтр средней плотности и промывают осадок 5-6 раз горячей водой, собирая фильтрат и промывные воды в мерную колбу вместимостью 100 см
. Фильтр с осадком отбрасывают.
Аликвотную часть раствора 15 см помещают в делительную воронку вместимостью 100 см
, последовательно при перемешивании прибавляют раствор марганцовокислого калия до появления устойчивой розовой окраски и 3-4 капли в избыток, выдерживают в течение 1 мин, прибавляют 15 см
раствора соляной кислоты, 10 см
раствора БФГА в хлороформе и встряхивают в течение 1 мин.
Хлороформенный экстракт сливают в мерную колбу вместимостью 25 см. К раствору в делительной воронке прибавляют 5 см
раствора БФГА в хлороформе и встряхивают в течение 30 с. Полученные экстракты объединяют, доливают хлороформом до метки, перемешивают и через 1 час измеряют оптическую плотность растворов на спектрофотометре при длине волны 530 нм или на фотоэлектроколориметре со светофильтром, имеющим область пропускания в интервале длин волн 500-560 нм. В качестве раствора сравнения используют хлороформ.
Результаты анализа вычисляют по градуировочному графику или методом сравнения со стандартным образцом, близким по составу к анализируемой пробе и проведенным через все стадии анализа.
Из значения оптической плотности каждого анализируемого раствора вычитают значение оптической плотности контрольного
опыта.
3.2. Построение градуировочного графика
В шесть стаканов вместимостью 200 см помещают 0,5 или 0,25 г карбонильного железа (в зависимости от навески пробы). В пять из них приливают 0,5; 1,0; 3,0; 5,0 и 7,0 см
стандартного раствора Б, что соответствует 0,00005; 0,00010; 0,00030; 0,00050; 0,00070 г ванадия. Шестой стакан служит для проведения контрольного опыта. Во все стаканы приливают по 30 см
серной кислоты (1:4), 5 см
ортофосфорной кислоты и растворяют железо при умеренном нагревании. Далее поступают, как приведено в п.3.
По найденным значениям оптической плотности и соответствующим им значениям массы ванадия строят градуировочный график. Допускается построение градуировочного графика в координатах: оптическая плотность - массовая доля ванадия.
4. Обработка результатов
4.1. Массовую долю ванадия () в процентах вычисляют по формуле
,
где -масса ванадия в анализируемой пробе, найденная по градуировочному графику, г;
- масса навески пробы, г.
4.2. Нормы точности и нормативы контроля точности определения массовой доли ванадия приведены в табл. 1.
Текст документа сверен по:
официальное издание
Сталь углеродистая и чугун нелегированный.
Методы анализа: Сб. ГОСТов. -
М.: Издательство стандартов, 1989
Разместите заказ
сами сделают вам предложение
