ГОСТы сталей. ГОСТ 21639.8-93
ГОСТ 21639.8-93
Группа В09
МЕЖГОСУДАРСТВЕННЫЙ СТАНДАРТ
Флюсы для электрошлакового переплава
МЕТОДЫ ОПРЕДЕЛЕНИЯ ДВУОКИСИ КРЕМНИЯ
Fluxes for electroslag remelting.
Methods for determination of silicon dioxide
ОКС 71.040.040*
ОКСТУ 0709
________________
* В указателе "Национальные стандарты" 2006 год ОКС 25.160.20. -
Примечание "КОДЕКС".
Дата введения 1996-01-01
Предисловие
1 ПОДГОТОВЛЕН Российской Федерацией - Техническим комитетом ТК 145 "Методы контроля металлопродукции"
ВНЕСЕН Техническим секретариатом Межгосударственного Совета по стандартизации, метрологии и сертификации
2 ПРИНЯТ Межгосударственным Советом по стандартизации, метрологии и сертификации 17 февраля 1993 г.
За принятие проголосовали:
Наименование государства | Наименование национального органа по стандартизации |
Республика Армения | Армгосстандарт |
Республика Беларусь | Белстандарт |
Республика Казахстан | Госстандарт Республики Казахстан |
Республика Молдова | Молдовастандарт |
Российская Федерация | Госстандарт России |
Туркменистан | Туркменгосстандарт |
Республика Узбекистан | Узгосстандарт |
Украина | Госстандарт Украины |
3 Постановлением Комитета Российской Федерации по стандартизации, метрологии и сертификации от 14.06.95 N 303 межгосударственный стандарт ГОСТ 21639.8-93 введен в действие непосредственно в качестве государственного стандарта Российской Федерации с 1 января 1996 г.
4 ВЗАМЕН ГОСТ 21639.8-93*
________________
* Вероятно, ошибка оригинала. Следует читать: ГОСТ 21639.8-76. - Примечание изготовителя базы данных.
1 ОБЛАСТЬ ПРИМЕНЕНИЯ
1 ОБЛАСТЬ ПРИМЕНЕНИЯ
Настоящий стандарт устанавливает фотометрический (при массовой доле двуокиси кремния от 0,5 до 10%) и дифференциальной фотометрии (при массовой доле двуокиси кремния от 10 до 25%) методы определения двуокиси кремния в флюсах для электрошлакового переплава.
2 НОРМАТИВНЫЕ ССЫЛКИ
ГОСТ 83-79 Натрий углекислый. Технические условия
ГОСТ 3118-77 Кислота соляная. Технические условия
ГОСТ 3652-69 Кислота лимонная моногидрат и безводная. Технические условия
ГОСТ 3765-78 Аммоний фосфорнокислый двузамещенный. Технические условия
ГОСТ 4332-76 Калий углекислый - натрий углекислый. Технические условия
ГОСТ 9428-73 Кремний (IV) оксид. Технические условия
ГОСТ 9656-75 Кислота борная. Технические условия
ГОСТ 10652-73 Соль динатриевая этилендиамин-N, N, N', N'-тетрауксусной кислоты, 2-водная (трилон Б)
ГОСТ 21639.0-93 Флюсы для электрошлакового переплава. Общие требования к методам анализа
ГОСТ 21639.6-93 Флюсы для электрошлакового переплава. Метод определения фосфора
3 ОБЩИЕ ТРЕБОВАНИЯ
Общие требования к методам анализа - по ГОСТ 21639.0.
4 ФОТОМЕТРИЧЕСКИЙ МЕТОД
4.1 Сущность метода
Метод основан на образовании желтой кремнемолибденовой гетерополикислоты с последующим восстановлением ее смесью аскорбиновой и лимонной кислот до молибденовой сини.
4.2 Аппаратура, реактивы и растворы
Спектрофотометр или фотоэлектроколориметр.
Печь муфельная с температурой нагрева до 1100 °С.
Кислота соляная по ГОСТ 3118, раствор с молярной концентрацией 3 моль/дм.
Кислота аскорбиновая.
Кислота лимонная моногидрат и безводная по ГОСТ 3652.
Кислота борная по ГОСТ 9656.
Калий углекислый - натрий углекислый по ГОСТ 4332.
Смесь для сплавления: две части углекислого калия - углекислого натрия смешивают с одной частью борной кислоты.
Аммоний молибденовокислый по ГОСТ 3765 (перекристаллизованный по ГОСТ 21639.6), раствор с массовой концентрацией 50 г/дм.
Восстановительная смесь, свежеприготовленная: 1 г аскорбиновой и 5 г лимонной кислоты растворяют в 100 см воды.
Натрий углекислый по ГОСТ 83 и раствор с массовой концентрацией 1 г/дм.
Кремния двуокись по ГОСТ 9428.
Стандартные растворы
Раствор А: 0,2 г прокаленной двуокиси кремния сплавляют в платиновом тигле с 2,5 г углекислого натрия при температуре 900-950 °С в течение 5-10 мин и выщелачивают плав раствором углекислого натрия с массовой концентрацией 1 г/дм. Затем переносят в мерную колбу вместимостью 1 дм
, доливают до метки раствором углекислого натрия и перемешивают.
Раствор хранят в полиэтиленовой посуде.
Массовую концентрацию двуокиси кремния в растворе устанавливают гравиметрическим методом: солянокислотным, хлорнокислотным или сернокислотным с двойным выпариванием.
Раствор Б: 10 см раствора А переносят в мерную колбу вместимостью 100 см
, доливают до метки раствором углекислого натрия с массовой концентрацией 1 г/дм
и перемешивают.
Готовят перед применением.
Соль динатриевая этилендиамин-N, N, N', N'-тетрауксусной кислоты 2-водная (трилон Б) по ГОСТ 10652, раствор с молярной концентрацией 0,025 моль/
дм.
4.3 Проведение анализа
4.3.1 Навеску флюса массой, указанной в таблице 1, помещают в платиновый тигель, смешивают с 2,5 г смеси для сплавления, накрывают тигель платиновой крышкой и сплавляют в муфельной печи при температуре 900-950 °С в течение 5-10 мин.
Таблица 1 - Масса навески флюса
Массовая доля двуокиси кремния, % | Масса навески, г | Объем мерной колбы, см | Объем раствора соляной кислоты, см |
От 0,5 до 4 включ. | 0,2 | 250 | 80 |
Св. 4 " 10 " | 0,1 | 500 | 160 |
Охлажденный тигель помещают в полиэтиленовый стакан, приливают горячий раствор соляной кислоты в соответствии с табл. 10 см раствора трилона Б, нагретого до кипения, и нагревают на водяной бане до растворения плава. Тигель удаляют из стакана и обмывают водой. Содержимое стакана охлаждают, переливают в мерную колбу вместимостью, указанной в таблице 1, доливают до метки водой и перемешивают.
Аликвотную часть раствора 5 см помещают в мерную колбу вместимостью 100 см
, приливают 50 см
воды, 5 см
молибденовокислого аммония, перемешивают и через 10 мин приливают 5 см
восстановительной смеси, перемешивают.
Раствор доливают до метки водой и перемешивают.
Через 40 мин измеряют оптическую плотность анализируемого раствора на спектрофотометре при длине волны 830 нм или на фотоэлектроколориметре в диапазоне длин волн от 640 до 900 нм.
В качестве раствора сравнения применяют воду.
После вычитания значения оптической плотности раствора контрольного опыта из значения оптической плотности раствора анализируемой пробы находят массу двуокиси кремния по градуировочному графику.
4.3.2 Построение градуировочного графика
Для построения градуировочного графика в девять мерных колб вместимостью 100 см отбирают 1,0; 2,0; 3,0; 4,0; 5,0; 6,0; 7,0; 8,0 и 9,0 см
стандартного раствора Б, что соответствует 0,00002; 0,00004; 0,00006; 0,00008; 0,00010; 0,00012; 0,00014; 0,00016 и 0,00018 г двуокиси кремния. Во все колбы приливают по 1,6 см
раствора соляной кислоты, по 50 см
воды, по 5 см
раствора молибденовокислого аммония и перемешивают. Через 10 мин приливают по 5 см
восстановительной смеси, доливают до метки водой и перемешивают.
Через 40 мин измеряют оптическую плотность раствора, как указано в 4.3.1.
По полученным значениям оптических плотностей и соответствующим им массам двуокиси кремния строят градуировочный график.
4.4 Обработка результатов
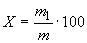
4.4.1 Массовую долю двуокиси кремния () в процентах вычисляют по формуле
, (1)
где - масса двуокиси кремния, найденная по градуировочному графику, г;
- масса навески, соответствующая аликвотной части раствора, г.
4.4.2 Нормы точности и нормативы контроля точности определения массовой доли двуокиси кремния приведены в таблице 2
Таблица 2 - Нормативы контроля точности
Массовая доля двуокиси кремния, % | Допускаемые расхождения, % | ||||
погрешности результатов анализа, | двух средних результатов анализа, выполненных в различных условиях | двух параллельных определений | трех параллельных определений | результатов анализа стандартного образца от аттестованного значения | |
От 0,5 до 1 включ. | 0,07 | 0,08 | 0,07 | 0,08 | 0,04 |
Св. 1 " 2 " | 0,09 | 0,12 | 0,10 | 0,12 | 0,06 |
" 2 " 5 " | 0,15 | 0,19 | 0,15 | 0,19 | 0,10 |
" 5 " 10 " | 0,21 | 0,26 | 0,22 | 0,27 | 0,14 |
Св. 10 " 25 " | 0,3 | 0,4 | 0,3 | 0,4 | 0,2 |
5 МЕТОД ДИФФЕРЕНЦИАЛЬНОЙ ФОТОМЕТРИИ
5.1 Сущность метода
Сущность метода - по 4.1.
5.2. Аппаратура, реактивы и растворы
Аппаратура, реактивы и растворы - по 4.2.
5.3 Проведение анализа
5.3.1. Проведение анализа - по 4.3.1 с дополнением: в качестве раствора сравнения применяют стандартный раствор Б.
5.3.2 Построение градуировочного графика
Для построения градуировочного графика при массовой доле двуокиси кремния от 10 до 18% в пять из шести мерных колб вместимостью 100 см отбирают 5,0; 6,0; 7,0; 8,0 и 9,0 см
стандартного раствора Б, что соответствует 0,00010; 0,00012; 0,00014; 0,00016 и 0,00018 г двуокиси кремния. Шестая колба, в которую отбирают 3,0 см
стандартного раствора Б, служит раствором сравнения.
При массовой доле двуокиси кремния от 18 до 25% в пять из шести мерных колб вместимостью 100 см отбирают 9,0; 10,0; 11,0; 12,0 и 13,0 см
стандартного раствора Б, что соответствует 0,00018; 0,00020; 0,00022; 0,00024 и 0,00026 г двуокиси кремния. Шестая колба, в которую отбирают 6,0 см
стандартного раствора Б, служит раствором сравнения.
Через 40 мин измеряют оптическую плотность раствора, как в 4.3.1.
По полученным значениям оптических плотностей и соответствующим им массам двуокиси кремния строят градуировочный график.
5.4 Обработка результатов
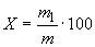
5.4.1 Массовую долю двуокиси кремния () в процентах вычисляют по формуле
, (2)
где - сумма массы двуокиси кремния, найденная по градуировочному графику и введенная в раствор сравнения, г;
- масса навески, соответствующая аликвотной части раствора, г.
5.4.2 Нормы точности и нормативы контроля точности определения массовой доли двуокиси кремния приведены в таблице 2.
Текст документа сверен по:
официальное издание
Флюсы для электрошлакового переплава.
Методы анализа: Сб. ГОСТов. -
М.: ИПК Издательство стандартов, 1995
Разместите заказ
сами сделают вам предложение
