ГОСТы сталей. ГОСТ 21639.7-93
ГОСТ 21639.7-93
Группа В09
МЕЖГОСУДАРСТВЕННЫЙ СТАНДАРТ
Флюсы для электрошлакового переплава
МЕТОДЫ ОПРЕДЕЛЕНИЯ ФТОРИСТОГО КАЛЬЦИЯ
Fluxes for electroslag remelting.
Methods for determination of calcium fluoride
ОКС 71.040.040*
ОКСТУ 0709
________________
* В указателе "Национальные стандарты" 2006 г. ОКС 25.160.20. -
Примечание "КОДЕКС".
Дата введения 1996-01-01
Предисловие
1 ПОДГОТОВЛЕН Российской Федерацией - Техническим комитетом ТК 145 "Методы контроля металлопродукции"
ВНЕСЕН Техническим секретариатом Межгосударственного Совета по стандартизации, метрологии и сертификации
2 ПРИНЯТ Межгосударственным Советом по стандартизации, метрологии и сертификации 17 февраля 1993 г.
За принятие проголосовали:
Наименование государства | Наименование национального органа по стандартизации |
Республика Армения | Армгосстандарт |
Республика Беларусь | Белстандарт |
Республика Казахстан | Госстандарт Республики Казахстан |
Республика Молдова | Молдовастандарт |
Российская Федерация | Госстандарт России |
Туркменистан | Туркменгосстандарт |
Республика Узбекистан | Узгосстандарт |
Украина | Госстандарт Украины |
3 Постановлением Комитета Российской Федерации по стандартизации, метрологии и сертификации от 14.06.95 N 302 межгосударственный стандарт ГОСТ 21639.7-93 введен в действие непосредственно в качестве государственного стандарта Российской Федерации с 1 января 1996 г.
4 ВЗАМЕН ГОСТ 21639.7-76
1 ОБЛАСТЬ ПРИМЕНЕНИЯ
1 ОБЛАСТЬ ПРИМЕНЕНИЯ
Настоящий стандарт устанавливает пирогидролизный и титриметрический методы определения фтористого кальция в флюсах для электрошлакового переплава при массовой доле от 8 до 95%.
2 НОРМАТИВНЫЕ ССЫЛКИ
В настоящем стандарте использованы ссылки на следующие стандарты:
ГОСТ 61-75 Кислота уксусная. Технические условия
ГОСТ 83-79 Натрий углекислый. Технические условия
ГОСТ 1027-67 Свинец уксуснокислый. Технические условия
ГОСТ 3760-79 Аммиак водный. Технические условия
ГОСТ 3770-75 Аммоний углекислый. Технические условия
ГОСТ 4233-77 Натрий хлористый. Технические условия
ГОСТ 4234-77 Калий хлористый. Технические условия
ГОСТ 4328-77 Натрия гидроокись. Технические условия
ГОСТ 4461-77 Кислота азотная. Технические условия
ГОСТ 4470-79 Марганца (IV) окись. Технические условия
ГОСТ 5817-77 Кислота винная. Технические условия
ГОСТ 5962-67 Спирт этиловый ректификованный. Технические условия*
________________
* На территории Российской Федерации действует ГОСТ Р 51652-2000, здесь и далее. - Примечание "КОДЕКС".
ГОСТ 9428-73 Кремний (IV) оксид. Технические условия
ГОСТ 10216-75 Висмута (III) окись. Технические условия
ГОСТ 10652-73 Соль динатриевая этилендиамин-N, N, N', N'-тетрауксусной кислоты, 2-водная (трилон Б)
ГОСТ 18300-87 Спирт этиловый ректификованный технический. Технические условия
ГОСТ 21639.0-93 Флюсы для электрошлакового переплава. Общие требования к методам анализа
3 ОБЩИЕ ТРЕБОВАНИЯ
Общие требования к методам анализа - по ГОСТ 21639.0.
4 ПИРОГИДРОЛИЗНЫЙ МЕТОД
4.1 Сущность метода
Метод основан на разложении фтористого кальция водяными парами в трубчатой печи при температуре 1250-1350 °С с катализатором многокомпонентным или окисью алюминия.
Выделяющаяся при пирогидролизе фтористоводородная кислота поглощается титрованным раствором гидроокиси натрия.
4.2 Аппаратура, реактивы и растворы
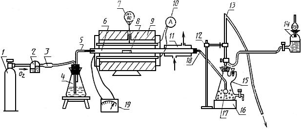
Установка для определения массовой доли фтористого кальция (рисунок 1) состоит из баллона с кислородом 1, снабженного редукционным вентилем; промывной склянки для очистки кислорода 2, заполненной раствором гидроокиси натрия с массовой концентрацией 200 г/дм; шарообразной трубки 3, заполненной ватой и служащей для улавливания гидроокиси, уносимой кислородом; колбы 4 для получения пара; трубки 5 (из нержавеющей стали или латуни) с внутренним диаметром 1,2-1,5 мм, соединяющейся резиновой пробкой с кварцевой трубкой 6 с внутренним диаметром 20-22 мм, длиной 550 мм; платино-платинородиевой термопары 7, подключенной к автоматическому потенциометру типа КСП-2; фарфоровой лодочки 8 N 2-9 по ГОСТ 9147 (перед применением лодочку прокаливают при рабочей температуре в течение 4-5 мин); двухтрубчатой печи 9 с силитовыми нагревателями, обеспечивающими нагревание до температуры 1350 °С (печь должна иметь наклон 3-4° в сторону приемника); амперметра 10 со шкалой 50 А для контроля силы тока нагревателя; холодильника 11, держателя 12; бюретки 13 с автоматическим нулем; склянки 14 с титрованным раствором гидроокиси натрия; поглотительного сосуда 15; магнитной мешалки 16; барботера 17; шлифа М14 18, соединяющего кварцевую трубку с барботером; автотрансформатора 19 типа РНО-250-10.
Рисунок 1 - Установка для определения фтористого калия

Рисунок 1 - Установка для определения фтористого калия
Кислота соляная по ГОСТ 3118, раствор с молярной концентрацией эквивалента 0,1 моль/дм.
Висмута (III) окись по ГОСТ 10216.
Вольфрама окись.
Марганца (IV) окись по ГОСТ 4470.
Катализатор многокомпонентный (WO: Вi
O
: MnO
= 1:1:0,8).
Алюминия окись.
Индикатор метиловый красный.
Индикатор метиленовый синий (медицинский).
Спирт этиловый ректификованный по ГОСТ 5962 или ГОСТ 18300.
Индикатор смешанный: 0,125 г метилового красного растирают в фарфоровой ступке с 0,083 г метиленового синего, затем растворяют в 100 см этилового спирта. При растворении индикатор растирают в ступке пестиком.
Индикаторная вода: к 1 дм кипяченой воды приливают 2 см
смешанного индикатора.
Натрия гидроокись по ГОСТ 4328, растворы с молярной концентрацией 0,05 моль/дм и массовой концентрацией 200 г/дм
.
Массовую концентрацию раствора гидроокиси натрия (), выраженную в г фтора на 1 см
, проверяют по соляной кислоте и рассчитывают по формуле
, (1)
где
- грамм-эквивалент фтора; - молярность раствора гидроокиси натрия.
Массовую концентрацию раствора гидроокиси натрия (), выраженную в г фтористого кальция на 1 см
раствора, вычисляют по формуле
, (2)
где - массовая доля фтористого кальция в стандартном образце, %;
- масса навески стандартного образца, г;
- объем раствора гидроокиси натрия, израсходованный на титрование выделившейся фтористоводородной кислоты, см
;
- объем раствора гидроокиси натрия, израсходованный на титрование раствора контрольного опыта,
см.
4.3 Проведение анализа
Навеску флюса массой 0,1-0,2 г (0,1 г - при массовой доле фтористого кальция более 50,0%) помещают в фарфоровую лодочку, в которую предварительно внесено двукратное количество катализатора и тщательно перемешивают. Лодочку помещают в кварцевую трубку, нагретую до температуры 1250-1350 °С. Трубку быстро закрывают резиновой пробкой с металлическим соплом, через которое пропускают кислород, насыщенный водяным паром, со скоростью 2-3 см/с.
Образовавшаяся в процессе пирогидролиза фтористоводородная кислота уносится кислородом с водяным паром через холодильник в приемник.
В приемник предварительно приливают 100-150 см индикаторной воды при массовой доле фтористого кальция до 30% и 150-250 см
при массовой доле фтористого кальция более 30%. Выделившуюся фтористоводородную кислоту оттитровывают гидроокисью натрия с массовой концентрацией 0,05 моль/дм
до изменения окраски раствора из сиреневой в зеленый цвет. Время гидролиза выбирается экспериментально для каждой установки, с увеличением массовой доли фтористого кальция время гидролиза увеличивается с 10 до 20 мин.
По количеству связанной фтористоводородной кислоты с гидроокисью натрия определяют массовую долю фтористого кальция.
Массовую концентрацию гидроокиси натрия устанавливают по стандартному образцу флюса с соответствующим содержанием фтористого кальция.
4.4 Обработка результатов
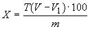
4.4.1 Массовую долю фтористого кальция () в процентах вычисляют по формуле
, (1)
где - массовая концентрация раствора гидроокиси натрия, выраженная в г фтористого кальция на 1 см
раствора;
- объем раствора гидроокиси натрия, израсходованный на титрование анализируемого раствора, см
;
- объем раствора гидроокиси натрия, израсходованный на титрование раствора контрольного опыта, см
;
- масса навески, г.
Если массовая концентрация гидроокиси натрия выражается в г/см фтора, вводится коэффициент пересчета с фтора на фтористый кальций - 2,054
7.
4.4.2 Нормы точности и нормативы контроля точности определения массовой доли фтористого кальция приведены в таблице 1.
Таблица 1 - Нормативы контроля точности
Массовая доля фтористого кальция, % | Допускаемые расхождения, % | ||||
погрешности результатов анализа, | двух средних результатов анализа, выполненных в различных условиях | двух параллельных определений | трех параллельных определений | результатов анализа стандартного образца от аттестованного значения | |
От 8 до 20 включ. | 0,5 | 0,6 | 0,5 | 0,6 | 0,3 |
Св. 20 " 50 " | 0,8 | 1,0 | 0,8 | 1,0 | 0,5 |
" 50 " 95 " | 1,1 | 1,4 | 1,2 | 1,4 | 0,7 |
5 ТИТРИМЕТРИЧЕСКИЙ МЕТОД
5.1 Сущность метода
Метод основан на осаждении ионов фтора в виде фторхлорида свинца. Избыток свинца титруют раствором трилона Б. Пробы флюса переводят в раствор сплавлением их с натрием углекислым в платиновых тиглях. Алюминий отделяют в виде гидроокиси углекислым аммонием.
5.2 Реактивы и растворы
Натрий углекислый по ГОСТ 83.
Кремния двуокись по ГОСТ 9428.
Кислота азотная по ГОСТ 4461, разбавленная 1:4.
Аммоний углекислый по ГОСТ 3770.
Метиловый оранжевый индикатор, водный раствор с массовой концентрацией 1 г/дм.
Кислота уксусная по ГОСТ 61.
Натрий хлористый по ГОСТ 4232, раствор с массовой концентрацией 50 г/дм.
Кислота винная по ГОСТ 5817, раствор с массовой концентрацией 50 г/дм.
Аммиак водный по ГОСТ 3760, разбавленный 1:1.
Калий хлористый по ГОСТ 4234.
Индикатор эриохром черный Т: 0,2 г индикатора растирают с 20 г хлористого калия.
Натрий фтористый по ГОСТ 4463.
Стандартный раствор: 2,21 г фтористого натрия растворяют в 200 см воды и раствор переливают в мерную колбу вместимостью 1 дм
, доливают до метки водой и перемешивают.
1 см стандартного раствора содержит 0,001 г фтора.
Свинец уксуснокислый по ГОСТ 1027, раствор с массовой концентрацией 25 г/дм: 25 г уксуснокислого свинца растворяют в 200-300 см
воды с добавлением 10 см
уксусной кислоты.
Раствор переводят в мерную колбу вместимостью 1 дм, доводят водой до метки, перемешивают, если раствор мутный - фильтруют.
Соль динатриевая этилендиамин-N, N, N', N'-тетрауксусной кислоты, 2-водная (трилон Б) по ГОСТ 10652, раствор с молярной концентрацией 0,025 моль/дм: 9,3 г трилона Б растворяют в 250-300 см
воды. Раствор отфильтровывают в мерную колбу вместимостью 1 дм
, доливают до метки водой и перемешивают.
Массовую концентрацию раствора трилона Б устанавливают следующим образом: 3 г углекислого натрия помещают в платиновый тигель, прибавляют 0,2 г растертой двуокиси кремния, сверху присыпают 0,5 г углекислого натрия, тигель закрывают крышкой и сплавляют в муфеле при температуре от 950 до 1000 °С в течение 15 мин. Тигель и крышку помещают в стакан вместимостью 250-300 см; приливают 50 см
горячей воды, выщелачивают при нагревании. Тигель и крышку извлекают из стакана, обмывают несколько раз водой и приливают 25 см
стандартного раствора фтора, переносят содержимое стакана в мерную колбу вместимостью 200 см
, доливают до метки водой, перемешивают. Раствор фильтруют в сухую колбу через сухой фильтр средней плотности, отбрасывая первые порции фильтрата.
Аликвотную часть раствора 50 см помещают в стакан вместимостью 300 см
, приливают 2-3 капли метилового оранжевого, нейтрализуют азотной кислотой до перехода окраски раствора из красной в оранжевую. Прибавляют 5 г углекислого аммония и кипятят до удаления запаха аммиака, добавляют 20 см
горячей воды, отфильтровывают в стакан вместимостью 300 см
через фильтр средней плотности, промывают 8-10 раз горячей водой. Фильтрат нейтрализуют по метиловому оранжевому азотной кислотой до перехода окраски раствора из оранжевой в красную. Прибавляют 10 капель уксусной кислоты, 20 см
раствора хлористого натрия и из бюретки приливают 30 см
уксуснокислого свинца. Раствор перемешивают, нагревают до температуры 60-70 °С, снова перемешивают до выпадения осадка и оставляют на 12 ч. Содержимое стакана переносят в мерную колбу вместимостью 250 см
, разбавляют водой до метки и перемешивают, затем фильтруют в сухую колбу вместимостью 250 см
через сухой фильтр. Аликвотную часть раствора 50 см
помещают в коническую колбу вместимостью 250 см
, приливают 10 см
винной кислоты, 10 см
аммиака, 0,1 г индикатора эриохром черного
и титруют избыток свинца раствором трилона Б до перехода окраски раствора из сиренево-фиолетовой в голубую.
Массовую концентрацию трилона Б (), выраженную в г фтористого кальция на 1 см
раствора, вычисляют по формуле
, (4)
где - массовая концентрация раствора фтористого натрия, выраженная в г фтора на 1 см
раствора, г/см
;
- объем стандартного раствора фтористого натрия, см
;
- коэффициент пересчета фтора на фтористый кальций; - объем раствора уксуснокислого свинца, взятого с избытком, см
;
- объем раствора трилона Б, израсходованный на титрование избытка уксуснокислого свинца, см
;
- соотношение между объемами растворов уксуснокислого свинца и трилона Б вычисляют по формуле
, (5)
где - объем раствора уксуснокислого свинца, взятого на титрование, см
;
- объем растрора трилона Б, израсходованный на титрование избытка уксуснокислого свинца, см
.
Соотношение определяют следующим образом: 5 см
раствора уксуснокислого свинца помещают в коническую колбу вместимостью 250 см
, приливают 50 см
воды, 10 см
винной кислоты, 10 см
аммиака, 0,1 г индикатора эриохром черного
и титруют до перехода окраски из сиренево-фиолетовой в гол
убую.
5.3 Проведение анализа
Навеску флюса массой 0,2 г при массовой доле фтористого кальция до 50% или 0,1 г при массовой доле фтористого кальция более 50% помещают в платиновый тигель, прибавляют 0,2 г растертой двуокиси кремния, 3 г углекислого натрия, перемешивают, сверху пробу присыпают 0,5 г углекислого натрия. Тигель закрывают крышкой и пробу осторожно сплавляют сначала в менее горячей зоне муфеля, затем выдерживают при температуре 950-1000 °С в течение 15 мин. Горячий плав выливают на полированную пластину из нержавеющей стали. Застывший плав и тигель помещают в стакан вместимостью 300 см, приливают 100 см
горячей воды и кипятят до полного разложения плава. Тигель и крышку извлекают из стакана, обмывают несколько раз теплой водой. Раствор с осадком охлаждают, переносят в мерную колбу вместимостью 200 см
, доливают до метки водой и перемешивают. Раствор фильтруют в сухую колбу через сухой фильтр средней плотности, отбрасывая первые порции фильтрата.
Аликвотную часть раствора 50 см помещают в стакан вместимостью 300 см
, прибавляют 2-3 капли метилового оранжевого и нейтрализуют азотной кислотой до перехода окраски раствора из красной в оранжевую. Прибавляют 5 г углекислого аммония и кипятят до удаления запаха аммиака (при этом кремниевая кислота и алюминий выделяются в виде студенистого осадка), затем добавляют 20 см
горячей воды, отфильтровывают в стакан вместимостью 300 см
через фильтр средней плотности и промывают горячей водой 8-10 раз. Фильтрат нейтрализуют по метиловому оранжевому азотной кислотой до перехода окраски раствора из оранжевой в красную. Прибавляют 10 капель уксусной кислоты, 20 см
раствора хлористого натрия, из бюретки приливают уксуснокислый свинец - 30 см
при массовой доле фтористого кальция до 50%, 40 см
- свыше 50%. Раствор перемешивают, нагревают до температуры 60-70 °С, снова перемешивают до выпадения осадка и оставляют на 12 ч. Содержимое стакана переносят в мерную колбу вместимостью 250 см
, разбавляют водой до метки и перемешивают, фильтруют через сухой фильтр в сухую колбу вместимостью 250 см
.
Аликвотную часть раствора 50 см помещают в коническую колбу вместимостью 250 см
, приливают 10 см
винной кислоты, 10 см
аммиака, 0,1 г индикатора эриохрома черного
и титруют избыток свинца раствором трилона Б до перехода окраски раствора из сиренево-фиолетовой в голубую.
На протяжении всего анализа проводят контро
льный опыт.
5.4 Обработка результатов
5.4.1 Массовую долю фтористого кальция () в процентах вычисляют по формуле
, (6)
где - объем раствора уксуснокислого свинца, взятый для осаждения фтор-иона, см
;
- объем раствора трилона Б, израсходованный на титрование избытка уксуснокислого свинца, см
;
- соотношение между объемами растворов уксуснокислого свинца и трилона Б, устанавливают по контрольному опыту;
- массовая концентрация трилона Б, выраженная в г фтористого кальция на 1 см
раствора, г/см
;
- масса навески,
г.
5.4.2 Нормы точности и нормативы контроля точности определения массовой доли фтористого кальция приведены в таблице*.
________________
* Текст соответствует оригиналу. Вероятно, следует читать "таблице 1". - Примечание "КОДЕКС".
Текст документа сверен по:
официальное издание
Флюсы для электрошлакового переплава.
Методы анализа: Сб. ГОСТов. -
М.: ИПК Издательство стандартов, 1995
Разместите заказ
сами сделают вам предложение
