ГОСТы сталей. ГОСТ 21639.4-93
ГОСТ 21639.4-93
Группа В09
МЕЖГОСУДАРСТВЕННЫЙ СТАНДАРТ
Флюсы для электрошлакового переплава
МЕТОДЫ ОПРЕДЕЛЕНИЯ ОБЩЕГО ЖЕЛЕЗА
Fluxes for electroslag remelting.
Methods for determination of total iron
ОКС 71.040.040*
ОКСТУ 0709
________________
* В указателе "Национальные стандарты" 2006 год ОКС 25.160.20. -
Примечание "КОДЕКС".
Дата введения 1996-01-01
Предисловие
1 ПОДГОТОВЛЕН Российской Федерацией - Техническим комитетом ТК 145 "Методы контроля металлопродукции"
ВНЕСЕН Техническим секретариатом Межгосударственного Совета по стандартизации, метрологии и сертификации
2 ПРИНЯТ Межгосударственным Советом по стандартизации, метрологии и сертификации 17 февраля 1993 г.
За принятие проголосовали:
Наименование государства | Наименование национального органа по стандартизации |
Республика Армения | Армгосстандарт |
Республика Беларусь | Белстандарт |
Республика Казахстан | Госстандарт Республики Казахстан |
Республика Молдова | Молдовастандарт |
Российская Федерация | Госстандарт России |
Туркменистан | Туркменгосстандарт |
Республика Узбекистан | Узгосстандарт |
Украина | Госстандарт Украины |
3 Постановлением Комитета Российской Федерации по стандартизации, метрологии и сертификации от 14.06.95 N 299 межгосударственный стандарт ГОСТ 21639.4-93 введен в действие непосредственно в качестве государственного стандарта Российской Федерации с 1 января 1996 г.
4 ВЗАМЕН ГОСТ 21639.4-76
1 ОБЛАСТЬ ПРИМЕНЕНИЯ
1 ОБЛАСТЬ ПРИМЕНЕНИЯ
Настоящий стандарт устанавливает фотометрический (при массовой доле общего железа от 0,05 до 1,0%) и атомно-абсорбционный (при массовой доле общего железа от 0,10 до 1,0%) методы определения общего железа в флюсах для электрошлакового переплава.
2 НОРМАТИВНЫЕ ССЫЛКИ
В настоящем стандарте использованы ссылки на следующие стандарты:
ГОСТ 199-78 Натрий уксуснокислый 3-водный. Технические условия
ГОСТ 3118-77 Кислота соляная. Технические условия
ГОСТ 4461-77 Кислота азотная. Технические условия
ГОСТ 5456-79 Гидроксиламина гидрохлорид. Технические условия
ГОСТ 5457-75 Ацетилен растворенный и газообразный технический. Технические условия
ГОСТ 7172-76 Калий пиросернокислый. Технические условия
ГОСТ 10484-78 Кислота фтористоводородная. Технические условия
ГОСТ 21639.0-93 Флюсы для электрошлакового переплава. Общие требования к методам анализа
3 ОБЩИЕ ТРЕБОВАНИЯ
Общие требования к методам анализа - по ГОСТ 21639.0.
4 ФОТОМЕТРИЧЕСКИЙ МЕТОД
4.1 Сущность метода
Метод основан на образовании окрашенного комплексного соединения железа (П) с ортофенантролином или 2,2-дипиридилом. Для восстановления железа применяют гидроксиламина гидрохлорид.
4.2 Аппаратура, реактивы и растворы
Спектрофотометр или фотоэлектроколориметр.
Кислота соляная по ГОСТ 3118, разбавленная 1:1.
Кислота азотная по ГОСТ 4461.
Ортофенантролин, раствор с массовой концентрацией 2,5 г/дм готовят при слабом нагревании.
2,2-дипиридил, раствор с массовой концентрацией 50 г/дм.
Гидроксиламина гидрохлорид по ГОСТ 5456, раствор с массовой концентрацией 100 г/дм.
Натрий уксуснокислый 3-водный по ГОСТ 199, раствор с массовой концентрацией 500 г/дм.
Бумага конго.
Железо карбонильное.
Стандартные растворы
Раствор А: 0,5 г железа растворяют в 30 см соляной кислоты. После полного растворения навески раствор окисляют несколькими каплями азотной кислоты. Затем раствор кипятят до удаления окислов азота, охлаждают, помещают в мерную колбу вместимостью 1 дм
, доливают до метки водой и перемешивают.
1 см стандартного раствора А содержит 0,0005 г железа.
Раствор Б: 5 см стандартного раствора А помещают в мерную колбу вместимостью 250 см
, доливают до метки водой и перемешивают.
1 см стандартного раствора Б содержит 0,00001 г жел
еза.
4.3 Проведение анализа
4.3.1 Аликвотную часть основного раствора, приготовленного по ГОСТ 21639.2 в соответствии с таблицей 1, помещают в мерную колбу вместимостью 100 см, приливают 5 см
раствора гидрохлорида гидроксиламина, нейтрализуют раствором уксуснокислого натрия до слабокислой реакции по бумаге конго. Затем приливают 10 см
раствора ортофенантролина или 2,2-дипиридила, доливают до метки водой и перемешивают. Через 30 мин измеряют оптическую плотность раствора на спектрофотометре при длине волны 516 нм или фотоэлектроколориметре в диапазоне длин волн от 520 до 530 нм.
Таблица 1 - Объем аликвотной части раствора
Массовая доля общего железа, % | Объем аликвотной части раствора, см |
От 0,05 до 0,1 включ. | 25 |
Св. 0,1 " 0,5 " | 10 |
" 0,5 " 1,0 " | 5 |
После вычитания значения оптической плотности раствора контрольного опыта из значения оптической плотности анализируемого раствора находят массу общего железа по градуировочному графику.
4.3.2 Построение градуировочного графика
Для построения градуировочного графика в пять из шести конических колб вместимостью 100 см отбирают 1; 2; 3; 4; 5 см
стандартного раствора Б, что соответствует 0,00001; 0,00002; 0,00003; 0,00004; 0,00005 г общего железа. В каждую колбу приливают 10-15 см
воды, 5 см
гидрохлорида гидроксиламина, нейтрализуют раствором уксуснокислого натрия до слабокислой реакции по "бумаге конго". Затем приливают 10 см
раствора ортофенантролина или 2,2-дипиридила, доливают до метки водой и перемешивают.
Через 30 мин измеряют оптическую плотность раствора, как указано в 4.3.1. Раствором сравнения служит раствор шестой колбы, не содержащий стандартного раствора железа.
По полученным значениям оптических плотностей и соответствующим им массам общего железа строят градуировочный график.
4.4 Обработка результатов
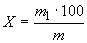
4.4.1 Массовую долю общего железа () в процентах вычисляют по формуле
, (1)
где - масса общего железа, найденная по градуировочному графику, г;
- масса навески, соответствующая аликвотной части раствора, г.
4.4.2 Нормы точности и нормативы контроля точности определения массовой доли общего железа приведены в таблице 2.
Таблица 2 - Нормативы контроля точности
Массовая доля общего железа, % | Допускаемые расхождения, % | ||||
погрешности результатов анализа, | двух средних результатов анализа, выполненных в различных условиях | двух параллельных определений | трех параллельных определений | результатов анализа стандартного образца от аттестованного значения | |
От 0,05 до 0,1 включ. | 0,018 | 0,023 | 0,019 | 0,023 | 0,012 |
Св. 0,1 " 0,2 " | 0,03 | 0,03 | 0,03 | 0,03 | 0,02 |
" 0,2 " 0,5 " | 0,04 | 0,05 | 0,04 | 0,05 | 0,03 |
" 0,5 " 1,0 " | 0,06 | 0,07 | 0,06 | 0,07 | 0,04 |
5 АТОМНО-АБСОРБЦИОННЫЙ МЕТОД
5.1 Сущность метода
Метод основан на измерении степени поглощения резонансного излучения свободными атомами железа, образующимися в результате распыления анализируемого раствора в пламени ацетилен-воздух.
5.2 Аппаратура, реактивы и растворы
Спектрофотометр атомно-абсорбционный любого типа с источником излучения для железа.
Печь муфельная с температурой нагрева до 1000 °С.
Ацетилен растворенный по ГОСТ 5457.
Компрессор, обеспечивающий подачу сжатого воздуха, или баллон со сжатым воздухом.
Кислота соляная по ГОСТ 3118 и разбавленная 2:100.
Кислота азотная по ГОСТ 4461.
Кислота хлорная, раствор с массовой концентрацией 1510 г/дм.
Кислота фтористоводородная по ГОСТ 10484.
Калий пиросернокислый по ГОСТ 7172.
Стандартный раствор, приготовленный по 4.2.
5.3 Проведение анализа
5.3.1 Навеску пробы массой, в зависимости от массовой доли железа в флюсах, определяют по таблице 3.
Таблица 3 - Масса навески пробы
Массовая доля общего железа, % | Масса навески, г | Вместимость мерной колбы, см |
От 0,10 до 0,25 включ. | 0,5 | 100 |
Св. 0,25 " 0,50 " | 0,25 | 100 |
" 0,50 " 1,00 " | 0,1 | 100 |
Навеску флюса помещают в платиновую или стеклоуглеродистую чашку, смачивают водой, прибавляют 15 см хлорной кислоты, 5 см
азотной, 10 см
фтористоводородной кислоты и нагревают раствор до растворения навески. Затем раствор нагревают до полного удаления паров хлорной кислоты, охлаждают, приливают 15 см
соляной кислоты, 30 см
воды и нагревают до растворения солей. Раствор фильтруют через плотный фильтр, промывают 3-4 раза горячей соляной кислотой (2:100), 3-5 раз горячей водой. Фильтр помещают в платиновый тигель, подсушивают, прокаливают и доплавляют с 1,5-2,0 г пиросернокислого калия. Охлажденный тигель помещают в стакан вместимостью 250 см
, приливают 50 см
горячей воды, 10 см
соляной кислоты и нагревают до растворения плава. Раствор объединяют с основным раствором, выпаривают до влажных солей, приливают 4 см
соляной кислоты, 15-20 см
воды и нагревают до растворения солей, переводят в мерную колбу вместимостью 100 см
, доливают до метки водой и перемешивают.
Через весь ход анализа проводят контрольный опыт.
Распыляют раствор контрольного опыта и раствор анализируемой пробы в порядке увеличения абсорбции до получения стабильных показаний для каждого раствора. Перед распылением каждого раствора распыляют воду для промывания системы и проверки нулевой точки.
После вычитания значения атомной абсорбции раствора контрольного опыта из значений атомной абсорбции раствора анализируемой пробы находят массу железа в растворе анализируемой пробы по градуировочному гра
фику.
5.3.2 Построение градуировочного графика
Для построения градуировочного графика в шесть платиновых или стеклоуглеродистых чашек помещают 0,5; 1,0; 1,5; 2,0; 2,5; 3,0 см стандартного раствора А, что соответствует 0,00025; 0,0005; 0,00075; 0,001; 0,00125; 0,0015 г железа и далее проводят анализ по 5.3.1.
5.4 Обработка результатов
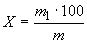
5.4.1 Массовую долю общего железа () в процентах вычисляют по формуле
, (2)
где - масса железа в растворе анализируемой пробы, найденная по градуировочному графику, г;
- масса навески пробы, г.
5.4.2 Нормы точности и нормативы контроля точности определения массовой доли общего железа приведены в табл.2.
Текст документа сверен по:
официальное издание
Флюсы для электрошлакового переплава.
Методы анализа: Сб. ГОСТов. -
М.: ИПК Издательство стандартов, 1995
Разместите заказ
сами сделают вам предложение
