ГОСТы сталей. ГОСТ 21639.3-93
ГОСТ 21639.3-93
Группа В09
МЕЖГОСУДАРСТВЕННЫЙ СТАНДАРТ
Флюсы для электрошлакового переплава
МЕТОДЫ ОПРЕДЕЛЕНИЯ ОКИСИ КАЛЬЦИЯ И ОКИСИ МАГНИЯ
Fluxes for electroslag remelting.
Methods for determination of calcium oxide and magnesium oxide
ОКС 71.040.040*
ОКСТУ 0709
________________
* В указателе "Национальные стандарты" 2006 год ОКС 25.160.20. -
Примечание "КОДЕКС".
Дата введения 1996-01-01
Предисловие
1 ПОДГОТОВЛЕН Российской Федерацией Техническим комитетом ТК 145 "Методы контроля металлопродукции"
ВНЕСЕН Техническим секретариатом Межгосударственного Совета по стандартизации, метрологии и сертификации
2 ПРИНЯТ Межгосударственным Советом по стандартизации, метрологии и сертификации 17 февраля 1993 г.
За принятие проголосовали:
Наименование государства | Наименование национального органа по стандартизации |
Республика Армения | Армгосстандарт |
Республика Беларусь | Белстандарт |
Республика Казахстан | Госстандарт Республики Казахстан |
Республика Молдова | Молдовастандарт |
Российская Федерация | Госстандарт России |
Туркменистан | Туркменгосстандарт |
Республика Узбекистан | Узгосстандарт |
Украина | Госстандарт Украины |
3 Постановлением Комитета Российской Федерации по стандартизации, метрологии и сертификации от 14.06.95 N 298 межгосударственный стандарт ГОСТ 21639.3-93 введен в действие непосредственно в качестве государственного стандарта Российской Федерации с 1 января 1996 г.
4 ВЗАМЕН ГОСТ 21639.3-76
1 ОБЛАСТЬ ПРИМЕНЕНИЯ
1 ОБЛАСТЬ ПРИМЕНЕНИЯ
Настоящий стандарт устанавливает титриметрические и атомно-абсорбционный методы определения окиси кальция при массовой доле от 1 до 65% и окиси магния при массовой доле от 2 до 27%.
2 НОРМАТИВНЫЕ ССЫЛКИ
В настоящем стандарте использованы ссылки на следующие стандарты:
ГОСТ 3118-77 Кислота соляная. Технические условия
ГОСТ 3760-79 Аммиак водный. Технические условия
ГОСТ 3772-74 Аммоний фосфорнокислый двузамещенный. Технические условия.
ГОСТ 3773-72 Аммоний хлористый. Технические условия
ГОСТ 4140-74 Стронций хлористый 6-водный. Технические условия
ГОСТ 4204-77 Кислота серная. Технические условия
ГОСТ 4234-77 Калий хлористый. Технические условия
ГОСТ 4332-76 Калий углекислый - натрий углекислый. Технические условия
ГОСТ 4526-73 Магний оксид. Технические условия*
ГОСТ 4530-76 Кальций углекислый. Технические условия
ГОСТ 5456-79 Гидроксиламина гидрохлорид. Технические условия
ГОСТ 5457-75 Ацетилен растворенный и газообразный технический. Технические условия
ГОСТ 5712-78 Аммоний щавелевокислый 1-водный. Технические условия
ГОСТ 5839-77 Натрий щавелевокислый. Технические условия
ГОСТ 8677-76 Кальций оксид. Технические условия
ГОСТ 8864-71 Натрия N, N-диэтилдитиокарбамат 3-водный. Технические условия
ГОСТ 9656-75 Кислота борная. Технические условия
ГОСТ 10652-73 Соль динатриевая этилендиамин-N, N', N'-тетрауксусной кислоты, 2-водная (трилон Б).
ГОСТ 11293-89 Желатин. Технические условия
ГОСТ 20478-75 Аммоний надсернокислый. Технические условия
ГОСТ 20490-75 Калий марганцовокислый. Технические условия
ГОСТ 21639.0-93 Флюсы для электрошлакового переплава. Общие требования к методам анализа
ГОСТ 21639.3-93 Флюсы для электрошлакового переплава. Методы определения окиси алюминия**
ГОСТ 24363-80 Калия гидроокись. Технические условия
________________
* Вероятно ошибка оригинала. Следует читать ГОСТ 4526-75;
** Вероятно ошибка оригинала. Следует читать ГОСТ 21639.2-93. - Примечание "КОДЕКС".
3 ОБЩИЕ ТРЕБОВАНИЯ
Общие требования к методам анализа - по ГОСТ 21639.0.
4 ТИТРИМЕТРИЧЕСКИЙ МЕТОД ОПРЕДЕЛЕНИЯ ОКИСИ КАЛЬЦИЯ
4.1 Сущность метода
Метод основан на титровании в щелочной среде при рН 12 ионов кальция трилоном Б в присутствии металлиндикатора флуорексона или смеси индикаторов кальцеина и тимолфталеина.
Метод применяется при определении общего содержания окиси кальция в сумме соединений окиси кальция и фтористого кальция.
4.2 Реактивы и растворы
Кислота соляная по ГОСТ 3118 и раствор с молярной концентрацией 1 моль/дм и разбавленная 1:1.
Калия гидроокись по ГОСТ 24363, раствор с массовой концентрацией 5 и 200 г/дм.
Калий хлористый по ГОСТ 4234.
Индикатор флуорексон 0,2 г индикатора растирают в ступке с 20 г хлористого калия.
Кальция окись по ГОСТ 8677.
Флуоресцирующий индикатор: 2 г кальцеин динатриевой соли помещают в сухую колбу 500 см и растворяют в 200 см
раствора гидроокиси калия с массовой концентрацией 5 г/дм
. Добавляют в раствор порциями при взбалтывании 40 см
соляной кислоты с молярной концентрацией 1 моль/дм
. Раствор фильтруют в колбу вместимостью 1 дм
. Осадок на фильтре промывают подкисленной водой (на 1 дм
воды 2 см
раствора соляной кислоты с молярной концентрацией 1 моль/дм
) до объема фильтрата 1 дм
.
Тимолфталеин, раствор с массовой концентрацией 2 г/дм в растворе окиси кальция с массовой концентрацией 5 г/дм
.
Индиго 5,5 - дисульфокислоты дикалиевая соль, индикатор (индигокармин), водный раствор с массовой концентрацией 25 г/дм.
Аммоний надсернокислый по ГОСТ 20478, свежеприготовленный раствор с массовой концентрацией 100 г/дм.
Индикатор метиловый красный, спиртовый раствор с массовой концентрацией 1 г/дм.
Гидроксиламина гидрохлорид по ГОСТ 5456, раствор с массовой концентрацией 200 г/дм.
Аммоний хлористый по ГОСТ 3773, раствор с массовой концентрацией 200 г/дм.
Аммиак водный по ГОСТ 3760, разбавленный 1:1.
Натрия N, N-диэтилдитиокарбамат по ГОСТ 8864, раствор с массовой концентрацией 100 г/дм.
Аммоний щавелевокислый по ГОСТ 5712, растворы с массовой концентрацией 1 и 40 г/дм.
Соль динатриевая этилендиамин-N, N, N', N'-тетрауксусной кислоты, 2-водная (трилон Б) по ГОСТ 10652, растворы с молярной концентрацией 0,025 моль/дм, приготовленные по ГОСТ 21639.2.
Бумага индикаторная универсальная.
Индикатор метиловый оранжевый, раствор с массовой концентрацией 1 г/дм.
Кальций углекислый по ГОСТ 4530.
Стандартные растворы
Раствор А: 1,785 г углекислого кальция, предварительно высушенного при температуре (105±5) °С до постоянной массы, помещают в стакан вместимостью 300-400 см, доливают 100 см
воды, 20 см
соляной кислоты (1:1) и нагревают до полного растворения. Раствор кипятят в течение 3-4 мин, охлаждают, переливают в мерную колбу вместимостью 1 дм
, доливают водой до метки и перемешивают.
Массовую концентрацию раствора А устанавливают гравиметрическим методом.
Три аликвотные части раствора А по 20 см помещают в конические колбы вместимостью 250 см
, приливают по 100 см
горячей воды, по 50 см
раствора щавелевокислого аммония с массовой концентрацией 40 г/дм
и оставляют растворы с выпавшим осадком щавелевокислого кальция в теплом месте на 10-15 мин. Затем прибавляют по 2-3 капли метилового красного, нейтрализуют аммиаком до изменения окраски индикатора и добавляют по 1 см
аммиака в избыток. Растворы с осадком кипятят 1-2 мин и через 15-18 ч осадок щавелевокислого кальция фильтруют на плотный фильтр, после чего промывают 6-8 раз раствором щавелевокислого аммония с массовой концентрацией 1 г/дм
. Фильтр с осадком помещают во взвешенный платиновый тигель, озоляют и прокаливают в муфеле при температуре 1100-1150 °С до постоянной массы.
Одновременно проводят контрольный опыт на загрязнение реактивов.
Массовую концентрацию раствора А (), выраженную в г окиси кальция на 1 см
раствора, вычисляют по формуле
, (1)
где - масса тигля с осадком окиси кальция, г;
- масса тигля без осадка, г;
- масса тигля с осадком контрольного опыта, г;
- масса тигля без осадка в контрольном опыте, г;
- объем раствора хлористого кальция, взятый для анализа, см
.
Раствор Б: 25 см раствора А помещают в мерную колбу вместимостью 250 см
, доливают до метки водой и перемешивают.
Массовую концентрацию трилона Б устанавливают по стандартному раствору А: аликвотную часть стандартного раствора А 50 см помещают в три конические колбы вместимостью 250 см
, добавляют по 1 см
гидроксиламина, по 3-4 капли индигокармина, тонкой струей при помешивании вливают раствор гидроокиси калия с массовой концентрацией 200 г/дм
до изменения окраски раствора из голубой в желтую, что соответствует рН 12. Добавляют по 0,1 г индикатора флуорексона или одну каплю флуоресцирующего индикатора и титруют раствором трилона Б до перехода зеленой флуоресцирующей окраски раствора в розовую.
Параллельно проводят контрольный опыт на определение массовой доли кальция в реактивах и воде.
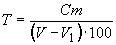
Массовую концентрацию трилона Б (), выраженную в г окиси кальция на 1 см
раствора, вычисляют по формуле
, (2)
где - массовая концентрация окиси кальция в стандартном растворе, %;
- масса навески, соответствующая аликвотной части раствора, г;
- объем раствора трилона Б, израсходованный на титрование аликвотной части стандартного раствора А, см
;
- объем раствора трилона Б, израсходованный на титрование раствора окиси кальция в растворе контрольного опыта, см
.
4.3 Проведение анализа
Фильтрат и промывные воды после отделения полуторных окислов по ГОСТ 21639.2 выпаривают до объема 100-120 см, нейтрализуют аммиаком до слабого запаха, дают 5 см
аммиака в избыток, добавляют 5 см
надсернокислого аммония, раствор кипятят 10-12 мин. Раствор с осадком помещают в мерную колбу вместимостью 500 см
, охлаждают, доводят до метки водой, хорошо перемешивают, фильтруют через сухой фильтр средней плотности в сухую колбу.
Для определения общего содержания окиси кальция в сумме окиси кальция и фтористого кальция и суммы общей окиси кальция и окиси магния в две конические колбы вместимостью 250 см отбирают аликвотные части раствора по 100 см
. В одну из колб с аликвотной частью приливают 1 см
раствора гидроксиламина, 3-4 капли раствора индигокармина и тонкой струей вливают при энергетичном перемешивании раствор гидрата окиси калия с массовой концентрацией 200 г/дм
до изменения окраски раствора из голубой в желтую, добавляют флуорексон или одну каплю тимолфталеина и одну каплю флуоресцирующего индикатора и медленно титруют раствором трилона Б (при определении окиси кальция до 10% применяют раствор трилона Б с молярной концентрацией 0,0125 моль/дм
, свыше 10% - трилон Б с молярной концентрацией 0,025 моль/дм
), подложив под дно колбы черную бумагу, до изменения зеленой флуоресцирующей окраски раствора в розовую.
Параллельно ведут контрольный опыт на содержание окиси кальция в реактивах и в
оде.
4.4 Обработка результатов
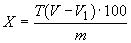
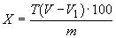
4.4.1 Массовую долю общей окиси кальция в сумме соединений окиси кальция и фтористого кальция () в процентах вычисляют по формуле
, (3)
где - массовая концентрация раствора трилона Б, выраженная в г окиси кальция на 1 см
раствора;
- объем раствора трилона Б, израсходованный на титрование аликвотной части пробы, см
;
- объем раствора трилона Б, израсходованный на титрование окиси кальция в растворе контрольного опыта, см
;
- масса навески, соответствующая аликвотной части раствора, г.
Массовую долю окиси кальция () в процентах вычисляют по формуле
, (4)
где - массовая доля общей окиси кальция в сумме соединений окиси кальция и фтористого кальция, %;
- массовая доля фтористого кальция, %;
- коэффициент пересчета фтористого кальция на окись кальция.
4.4.2 Нормы точности и нормативы контроля точности определения массовой доли общей окиси кальция в сумме соединений окиси кальция и фтористого кальция приведены в таблице 1.
Таблица 1 - Нормативы контроля точности
Массовая доля окиси кальция, % | Допускаемые расхождения, % | ||||
погрешности результатов анализа, | двух средних результатов анализа, выполненных в различных условиях | двух параллельных определений | трех параллельных определений | результатов анализа стандартного образца от аттестованного значения | |
От 1 до 2 включ. | 0,13 | 0,17 | 0,14 | 0,17 | 0,09 |
Св. 2 " 5 " | 0,21 | 0,27 | 0,22 | 0,27 | 0,14 |
" 5 " 10 " | 0,3 | 0,4 | 0,3 | 0,4 | 0,2 |
" 10 " 20 " | 0,4 | 0,5 | 0,4 | 0,5 | 0,3 |
" 20 " 50 " | 0,7 | 0,8 | 0,7 | 0,8 | 0,4 |
" 50 " 65 " | 0,9 | 1,2 | 1,0 | 1,3 | 0,6 |
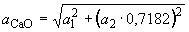
Примечание. При определении массовой доли окиси кальция в результаты анализа вносится дополнительная погрешность за счет погрешности определения фтористого кальция (4), что должно быть учтено при нормировании точности анализа и рассчитывается по формуле
, (5)
где - соответствующая норма или норматив контроля точности определения массовой доли окиси кальция;
- норма (норматив) определения общей окиси кальция в сумме соединений окиси кальция и фтористого кальция, взятая из таблицы 1;
- норма (норматив) определения массовой доли фтористого кальция (таблица 1 ГОСТ 21639.7);
- коэффициент пересчета фтористого кальция на окись кальция.
5 ТИТРИМЕТРИЧЕСКИЙ МАРГАНЦОВОКИСЛЫЙ МЕТОД ОПРЕДЕЛЕНИЯ ОКИСИ КАЛЬЦИЯ
5.1 Сущность метода
Метод основан на титровании марганцовокислым калием щавелевой кислоты, выделившейся при растворении осадка щавелевокислого кальция в разбавленной серной кислоте в количестве, эквивалентном количеству кальция в растворе. Щавелевокислый кальций осаждается в фильтрате после предварительного отделения мешающих компонентов уротропином.
5.2 Реактивы и растворы
Натрий щавелевокислый по ГОСТ 5839, раствор с массовой концентрацией 40 г/дм.
Кислота серная по ГОСТ 4204, разбавленная 1:1, 1:10.
Остальные реактивы и растворы - по 4.2 с дополнением.
Калий марганцовокислый по ГОСТ 20490, титрованные растворы с молярной концентрацией эквивалента 0,05; 0,1 и 0,2 моль/дм:
1,6; 3,2 и 6,4 г марганцовокислого калия растворяют в воде, переносят в мерную колбу вместимостью 1 дм, доливают водой до метки и перемешивают. Раствор хранят в посуде из темного стекла. Массовую концентрацию раствора марганцовокислого калия устанавливают по щавелевокислому натрию. Для этого 0,1-0,2 г щавелевокислого натрия, предварительно высушенного при температуре 110-120 °С, помещают в колбу вместимостью 500 см
, прибавляют 200 см
серной кислоты (1:10), раствор нагревают на водяной бане до 75-80 °С и затем титруют раствором марганцовокислого калия до появления устойчивой розовой окраски.
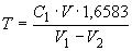
Массовую концентрацию () раствора марганцовокислого калия, выраженную в г окиси кальция на 1 см
раствора, вычисляют по формуле
, (6)
где - масса навески щавелевокислого натрия, г;
- коэффициент пересчета щавелевокислого натрия на окись кальция; - объем раствора марганцовокислого натрия, см
.
Допускается устанавливать массовую концентрацию раствора марганцовокислого калия по раствору окиси кальция.
5.3 Проведение анализа
В две конические колбы вместимостью 250 см отбирают 100 см
аликвотной части раствора, приготовленного по 4.3, и нейтрализуют по метиловому оранжевому соляной кислотой до изменения окраски индикатора. Затем разбавляют водой до объема 250 см
, раствор нагревают до температуры 90-95 °С и приливают 50 см
горячего раствора щавелевокислого аммония с массовой концентрацией 40 г/дм
. К раствору при перемешивании прибавляют аммиак до изменения окраски индикатора и 1 см
в избыток. Раствор с осадком кипятят 10 мин и оставляют на 12 ч.
Осадок щавелевокислого кальция отфильтровывают на плотный фильтр и промывают 10-12 раз водой. Затем проверяют на полноту отмывания ионов щавелевой кислоты в промывных водах. Для этого в пробирку отбирают примерно 2 см фильтрата, добавляют 2-3 капли серной кислоты (1:1), нагревают до температуры 75-80 °С, прибавляют одну каплю раствора марганцовокислого калия с молярной концентрацией эквивалента 0,1 моль/дм
. Сохранение окраски в течение 1-2 мин указывает на полноту отмывания. Фильтрат после отделения кальция сохраняют для определения содержания окиси магния. Воронку с промытым осадком помещают над стаканом, в котором проводилось осаждение и, прорвав фильтр, смывают осадок в стакан небольшим количеством воды. Фильтр промывают горячей серной кислотой (1:10), затем 5-6 раз горячей водой. Фильтр на воронке сохраняют. Раствор нагревают до температуры 80-90 °С и титруют раствором марганцовокислого калия до появления устойчивой слабо-розовой окраски. Затем опускают в стакан с титруемым раствором сохраненный фильтр, энергично перемешивают и, если при этом раствор обесцвечивается, вновь дотитровывают раствором марганцовокислого калия.
Для титрования при массовой доле окиси кальция до 7% применяют раствор марганцовокислого калия с молярной концентрацией эквивалента 0,05 моль/дм; св. 7 до 15% - 0,1 моль/дм
; св. 15% - 0,2 моль/дм
.
Через все стадии анализа проводят контрольный
опыт.
5.4 Обработка результатов
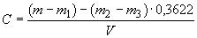
5.4.1 Массовую долю общей окиси кальция () вычисляют по формуле
, (7)
где - массовая концентрация раствора марганцовокислого калия, выраженная в г окиси кальция на 1 см
раствора;
- объем раствора марганцовокислого калия, израсходованный на титрование, см
;
- объем раствора марганцовокислого калия, израсходованный на титрование контрольного опыта, см
;
- масса навески пробы, г.
Массовую долю окиси кальция () в процентах вычисляют по формуле
, (8)
где - массовая доля общей окиси кальция в сумме соединений окиси кальция и фтористого кальция, %;
- массовая доля фтористого кальция, %;
- коэффициент пересчета фтористого кальция на окись кальция.
5.4.2 Нормы точности и нормативы контроля точности определения массовой доли окиси кальция приведены в таблице 1.
6 ТИТРИМЕТРИЧЕСКИЙ МЕТОД ОПРЕДЕЛЕНИЯ ОКИСИ МАГНИЯ
6.1 Сущность метода
Метод основан на образовании в растворе ионами кальция и магния комплексного соединения с металлиндикатором хром темно-синим, окрашенного в сиреневый цвет, которое с введением трилона Б гидролизует с образованием более прочного соединения ионов кальция и магния. Выделившийся свободный индикатор изменяет свою окраску в эквивалентной точке из сиреневой в голубую.
Массовую долю окиси магния в пробе вычисляют по разности объемов раствора трилона Б, израсходованного на титрование суммы общей окиси кальция и общей окиси кальция и окиси магния.
6.2 Реактивы и растворы
Аммоний фосфорнокислый двузамещенный по ГОСТ 3772, раствор с массовой концентрацией 100 г/дм.
Аммиак водный по ГОСТ 3760 и разбавленный 1:20.
Аммоний хлористый по ГОСТ 3773.
Аммиачный буфер: 57,5 г хлористого аммония растворяют в 200 см воды, добавляют 570 см
аммиака, разбавляют водой до 1 дм
и перемешивают.
Кислота соляная по ГОСТ 3118 и разбавленная 1:1.
Индикатор метиловый оранжевый, водный раствор с массовой концентрацией 1 г/дм.
Калий хлористый по ГОСТ 4234.
Индикатор хром кислый темно-синий; 0,1 г индикатора растирают с 10 г хлористого калия.
Соль динатриевая этилендиамин-N, N, N', N'-тетрауксусной кислоты, 2-водная (трилон Б) по ГОСТ 10652, раствор с молярной концентрацией 0,0125 или 0,025 моль/дм, приготовленный по ГОСТ 21639.2.
Магний металлический.
Магния окись по ГОСТ 4526.
Стандартные растворы.
Раствор А: 0,6031 г магния или 1,02 г окиси магния, предварительно прокаленной при температуре 600-900 °С, растворяют при нагревании в 40 см соляной кислоты. Раствор охлаждают, помещают в мерную колбу вместимостью 1 дм
, доливают до метки водой и перемешивают.
Массовую концентрацию раствора А устанавливают гравиметрическим методом.
Три аликвотные части раствора А по 25 см помещают в стаканы вместимостью 300-400 см
, прибавляют по 10 см
соляной кислоты и воды до объема 150-200 см
. К растворам приливают по 20-25 см
раствора фосфорнокислого аммония, по 2-3 капли индикатора метилового оранжевого и при энергичном перемешивании нейтрализуют аммиаком, приливая его в избыток по 10 см
на каждые 100 см
раствора. Затем растворы энергично перемешивают стеклянной палочкой в течение 1 мин и оставляют на 12 ч. Осадок фильтруют на два плотных фильтра с небольшим количеством фильтробумажной массы, промывают стакан 2-3 раза и фильтр 3-4 раза аммиаком (1:20). Для удаления избытка фосфат-иона фильтр с осадком помещают во взвешенный платиновый тигель, высушивают, осторожно озоляют при температуре 450-500 °С и прокаливают при температуре 1000-1100 °С в течение 25-30 мин, охлаждают в эксикаторе, взвешивают. Если осадок сохраняет серый оттенок, его смачивают несколькими каплями 10%-ного раствора азотнокислого аммония, осторожно высушивают и вновь прокаливают при температуре 1000-1100 °С, охлаждают и взвешивают.
Одновременно проводят контрольный опыт на загрязнение реактивов.
Массовую концентрацию раствора хлористого магния (), выраженную в г окиси магния на 1 см
раствора, вычисляют по формуле
, (9)
где - масса тигля с осадком пирофосфорнокислого магния, г;
- масса тигля без осадка, г;
- масса тигля с осадком контрольного опыта, г;
- масса тигля без осадка в контрольном опыте, г;
- коэффициент пересчета пирофосфорнокислого магния на окись магния; - объем раствора хлористого магния, взятый для анализа, см
.
Раствор Б: 10 см раствора А помещают в мерную колбу вместимостью 250 см
, доливают до метки водой и перемешивают.
Массовую концентрацию раствора трилона Б по магнию устанавливают: 25 см стандартного раствора А помещают в коническую колбу вместимостью 250 см
, прибавляют 100 см
воды, 10 см
аммиачного буфера, 0,1 г индикатора хром кислого темно-синего, хорошо перемешивают и титруют трилоном Б до перехода окраски раствора из сиреневой в голубую.
Массовую концентрацию раствора трилона Б (), выраженную в г окиси магния на 1 см
раствора, вычисляют по формуле
, (10)
где - масса магния в 1 см
стандартного раствора, г;
- объем стандартного раствора окиси магния, см
;
- коэффициент пересчета магния на окись магния; - объем раствора трилона Б, израсходованный на титрование стандартного раствора окиси магния, см
;
- объем раствора трилона Б, израсходованный на титрование раствора контрольного опы
та, см.
6.3 Проведение анализа
Для определения суммы окиси кальция и окиси магния ко второй аликвотной части раствора, полученной в 4.3, приливают 10 см аммиачного буфера, добавляют 0,1 г индикатора хром темно-синего. Раствор титруют трилоном Б до резкого перехода окраски раствора из сиреневой в голубую.
Параллельно проводят контрольный опыт на содержание суммы окиси кальция и окиси магния в реактивах и воде.
6.4 Обработка результатов
6.4.1 Массовую долю окиси магния () в процентах вычисляют по формуле
, (11)
где - объем раствора трилона Б, израсходованный на титрование общей окиси кальция и окиси магния, см
;
- объем раствора трилона Б, израсходованный на титрование общей окиси кальция и окиси магния в растворе контрольного опыта, см
;
- объем раствора трилона Б, израсходованный на титрование общей окиси кальция, см
;
- объем раствора трилона Б, израсходованный на титрование общей окиси кальция в растворе контрольного опыта, см
;
- массовая концентрация раствора трилона Б, выраженная в г окиси магния на 1 см
раствора;
- масса навеск
и, г.
6.4.2 Нормы точности и нормативы контроля точности определения массовой доли окиси магния приведены в таблице 2.
Таблица 2 - Нормативы контроля точности определения массовой доли окиси магния
Массовая доля окиси магния, % | Допускаемые расхождения, % | ||||
погрешности результатов анализа, | двух средних результатов анализа, выполненных в различных условиях | двух параллельных определений | трех параллельных определений | результатов анализа стандартного образца от аттестованного значения | |
От 2 до 5 включ. | 0,18 | 0,23 | 0,19 | 0,23 | 0,12 |
Св. 5 " 10 " | 0,3 | 0,3 | 0,3 | 0,3 | 0,2 |
" 10 " 27 " | 0,5 | 0,6 | 0,5 | 0,6 | 0,3 |
7 ТИТРИМЕТРИЧЕСКИЙ УСКОРЕННЫЙ МЕТОД ОПРЕДЕЛЕНИЯ ОКИСИ КАЛЬЦИЯ И ОКИСИ МАГНИЯ
7.1 Сущность метода
Метод основан на титровании ионов кальция трилоном Б (рН 12) в присутствии металлиндикатора флуорексона или флуоресцирующего индикатора и суммы кальция и магния (рН 9) в присутствии индикатора хром темно-синего. Содержание магния устанавливают по разности между первым и вторым титрованием.
7.2 Реактивы и растворы - по 4.2 и 6.2.
7.3 Проведение анализа
В мерную колбу вместимостью 250 см помещают 100 см
основного раствора, приготовленного по ГОСТ 21639.2, добавляют 20 см
раствора хлористого аммония с массовой концентрацией 200 г/дм
, две капли метилового красного и нейтрализуют аммиаком (1:1), нагревают 5 мин для коагуляции полуторных окислов. Охлаждают, добавляют 5 см
раствора диэтилдитиокарбомата натрия, закрывают колбу пробкой и энергично перемешивают в течение 2-3 мин, доводят до метки водой, перемешивают, фильтруют через плотный фильтр в сухую колбу. Отбирают две аликвотные части раствора по 100 см
в конические колбы вместимостью 250 см
. В одной из колб определяют общую окись кальция, в другой - сумму общей окиси кальция и окиси магния. В колбу, в которой определяют окись кальция, добавляют 1 см
раствора гидрохлорида гидроксиламина, четыре капли индикатора индиго-кармина, нейтрализуют раствором гидроокиси калия с массовой концентрацией 200 г/дм
до перехода окраски раствора из голубой в желтую, добавляют 0,1 г флуорексона или смеси индикаторов и титруют трилоном Б на черном фоне до исчезновения зеленой флуоресценции.
Параллельно проводят контрольный опыт.
В колбу, в которой определяют сумму общей окиси кальция и окиси магния, приливают 10 см аммиачного буфера, добавляют 0,1 г индикатора хром темно-синего. Раствор титруют трилоном Б до резкого перехода окраски раствора из сиреневой в голубую.
Параллельно проводят контрольный опыт на содержание суммы общей окиси кальция и окиси магния в реактивах и в
оде.
7.4 Обработка результатов
Обработка результатов по 4.4 для определения массовой доли общей окиси кальция в сумме соединений окиси кальция и фтористого кальция и 6.4 для определения массовой доли окиси магния.
8 АТОМНО-АБСОРБЦИОННЫЙ МЕТОД
8.1 Сущность метода
Метод основан на измерении степени поглощения резонансного излучения свободными атомами кальция и магния, образующимися в результате распыления анализируемого раствора в пламени воздух-ацетилен или закись азота-ацетилен.
Массовая доля окиси кальция определяется в сумме соединений окиси кальция и фтористого кальция в пределах от 1 до 25%.
8.2 Аппаратура, реактивы и растворы
Спектрофотометр атомно-абсорбционный любого типа с источником излучения для кальция и магния.
Печь муфельная с температурой нагрева до 1000 °С.
Ацетилен растворенный по ГОСТ 5457.
Закись азота газообразная.
Компрессор с рессивером, обеспечивающий подачу сжатого воздуха, или баллон со сжатым воздухом, или сжатый воздух из воздухопровода с давлением на входе в спектрофотометр не менее 2 атм.
Кислота соляная по ГОСТ 3118 и разбавленная 1:1 и 2:100.
Кислота борная по ГОСТ 9656.
Калий углекислый - натрий углекислый по ГОСТ 4332.
Смесь для сплавления: две части углекислого калия - углекислого натрия смешивают с одной частью борной кислоты.
Лантан азотнокислый, раствор с массовой концентрацией 50 г/дм.
Стронций хлористый 6-водный по ГОСТ 4140, раствор с массовой концентрацией 30 г/дм.
Желатин пищевой по ГОСТ 11293, раствор с массовой концентрацией 10 г/дм.
Кальций углекислый по ГОСТ 4530.
Стандартные растворы, приготовленные по 4.2.
Магний металлический.
Магния окись по ГОСТ 4526.
Стандартные растворы, приготовленные по 6.2.
8.3 Проведение анализа
8.3.1 Навеску флюса массой 0,1 г помещают в платиновый тигель, смешивают с 2 г смеси для сплавления и сплавляют в муфельной печи при температуре 950-1000 °С в течение 15 мин.
Охлажденный тигель помещают в стакан вместимостью 250 см, приливают 100 см
теплой воды, 10 см
соляной кислоты и нагревают до растворения солей. Тигель удаляют из стакана и обмывают водой. Содержимое стакана выпаривают на плите до влажных солей, приливают 40 см
соляной кислоты и нагревают до растворения солей, затем приливают 60 см
горячей воды, 10 см
раствора желатина, перемешивают, дают постоять в теплом месте 5-7 мин и фильтруют кремниевую кислоту через фильтр средней плотности в мерную колбу вместимостью 250 см
.
Осадок промывают 3-4 раза горячей соляной кислотой (2:100), затем 5-6 раз горячей водой, содержимое колбы охлаждают, доливают до метки водой и перемешивают.
В зависимости от общей массовой доли окиси кальция (сумма соединений окиси кальция и фтористого кальция) и окиси магния отбирают аликвотную часть раствора в соответствии с таблицей 3.
Таблица 3 - Объем аликвотной части раствора в зависимости от массовой доли окиси кальция и окиси магния
Компонент | Массовая доля компонента, % | Разбавление раствора, см | |||
Первое разбавление | Второе разбавление | ||||
Аликвотная часть | Разбавление | Аликвотная часть | Разбавление | ||
Общая окись кальция | От 1 до 10 включ. | 25 | 100 | - | - |
Св. 10 " 25 " | 10 | 100 | - | - | |
Окись магния | От 2 до 5 включ. | 10 | 100 | - | - |
Св. 5 " 10 " | 25 | 100 | 10 | 100 | |
" 10 " 27 " | 20 | 100 | 5 | 100 | |
Затем аликвотную часть раствора помещают в коническую колбу вместимостью 100 см, выпаривают до влажных солей, приливают 4 см
соляной кислоты, 20 см
горячей воды и нагревают до растворения солей. Охлажденный раствор помещают в мерную колбу вместимостью 100 см
, приливают 5 см
раствора азотнокислого лантана или 5 см
хлористого стронция, доливают до метки водой и перемешивают.
Через весь ход анализа проводят контрольный опыт.
Распыляют раствор контрольного опыта и раствор пробы в пламя воздух-ацетилен или закись азот-ацетилен в порядке увеличения абсорбции до получения стабильных показаний для каждого раствора.
Перед распылением каждого раствора распыляют воду для промывания системы и проверки нулевой точки. Измеряют атомную абсорбцию кальция при длине волны 422,7 нм и магния при длине волны 285,2 нм.
После вычитания значения атомной абсорбции контрольного опыта из значения атомной абсорбции раствора анализируемой пробы находят массовую концентрацию окиси кальция или окиси магния в растворе анализируемой пробы по градуировочному графику.
8.3.2 Построение градуировочного графика
Для построения градуировочного графика в восемь платиновых тиглей помещают по 2 г смеси для сплавления и проводят анализ по 8.3.1.
В семь конических колб вместимостью 100 см приливают 1,0; 3,0; 5,0; 7,0; 9,0; 11,0; 13,0 см
стандартного раствора Б окиси кальция, что соответствует 0,0001; 0,0003; 0,0005; 0,0007; 0,0009; 0,0011; 0,0013 г окиси кальция и 0,5; 1,0; 1,5; 2,0; 2,5; 3,0; 5,0 см
стандартного раствора Б окиси магния, что соответствует 0,00002; 0,00004; 0,00006; 0,00008; 0,0001; 0,00012; 0,0002 г окиси магния, приливают 5 см
раствора азотнокислого лантана или 5 см
раствора хлористого стронция, 4 см
соляной кислоты, доливают до метки водой и перемешивают. Восьмая колба, не содержащая стандартные растворы, служит для проведения контрольного опыта.
Измерение атомной абсорбции полученных растворов проводят как указано в 8.3.1.
8.4 Обработка результатов
8.4.1 Массовую долю общей окиси кальция (в сумме соединения окиси кальция и фтористого кальция) и массовую долю окиси магния () в процентах вычисляют по формуле
, (12)
где - массовая концентрация окиси кальция (окиси магния) в растворе анализируемой пробы, найденная по градуировочному графику, г/см
;
- объем раствора, используемый для измерения абсорбции, см
;
- масса навески пробы, г.
Массовую долю окиси кальция () в процентах вычисляют по формуле
, (13)
где - массовая доля общей окиси кальция (в сумме соединений окиси кальция и фтористого кальция), %;
- массовая доля фтористого кальция, %;
- коэффициент пересчета фтористого кальция на окись кальция.
8.4.2. Нормы точности и нормативы контроля определения массовой доли окиси кальция и окиси магния приведены в таблицах 1, 2.
Текст документа сверен по:
официальное издание
Флюсы для электрошлакового переплава.
Методы анализа: Сб. ГОСТов. -
М.: ИПК Издательство стандартов, 1995
Разместите заказ
сами сделают вам предложение
