ГОСТы сталей. ГОСТ 21639.2-93
ГОСТ 21639.2-93
Группа В09
МЕЖГОСУДАРСТВЕННЫЙ СТАНДАРТ
Флюсы для электрошлакового переплава
МЕТОДЫ ОПРЕДЕЛЕНИЯ ОКИСИ АЛЮМИНИЯ
Fluxes for electroslag remelting.
Methods for determination of aluminium oxide
ОКС 71.040.040*
ОКСТУ 0709
________________
* В указателе "Национальные стандарты" 2006 год ОКС 25.160.20. -
Примечание "КОДЕКС".
Дата введения 1996-01-01
Предисловие
1 ПОДГОТОВЛЕН Техническим комитетом ТК 145 "Методы контроля металлопродукции"
ВНЕСЕН Госстандартом России
2 ПРИНЯТ Межгосударственным Советом по стандартизации, метрологии и сертификации 17 февраля 1993 г.
За принятие проголосовали:
Наименование государства | Наименование национального органа по стандартизации |
Республика Армения | Армгосстандарт |
Республика Беларусь | Белстандарт |
Республика Казахстан | Госстандарт Республики Казахстан |
Республика Молдова | Молдовастандарт |
Российская Федерация | Госстандарт России |
Туркменистан | Туркменгосстандарт |
Республика Узбекистан | Узгосстандарт |
Украина | Госстандарт Украины |
3 Постановлением Комитета Российской Федерации по стандартизации, метрологии и сертификации от 14.06.95 N 297 межгосударственный стандарт ГОСТ 21639.2-93 введен в действие непосредственно в качестве государственного стандарта Российской Федерации с 1 января 1996 г.
4 ВЗАМЕН ГОСТ 21639.2-76
1 ОБЛАСТЬ ПРИМЕНЕНИЯ
1 ОБЛАСТЬ ПРИМЕНЕНИЯ
Настоящий стандарт устанавливает титриметрические и атомно-абсорбционный методы определения окиси алюминия в флюсах для электрошлакового переплава при массовой доле от 1 до 60%.
2 НОРМАТИВНЫЕ ССЫЛКИ
ГОСТ 61-75 Кислота уксусная. Технические условия
ГОСТ 2053-77 Натрий сернистый 9-водный. Технические условия
ГОСТ 3117-78 Аммоний уксусно-кислый. Технические условия
ГОСТ 3118-77 Кислота соляная. Технические условия
ГОСТ 3760-79 Аммиак водный. Технические условия
ГОСТ 3773-72 Аммоний фосфорнокислый двузамещенный. Технические условия
ГОСТ 4204-77 Кислота серная. Технические условия
ГОСТ 4233-77 Натрий хлористый. Технические условия
ГОСТ 4328-77 Натрия гидроокись. Технические условия
ГОСТ 4332-76 Калий углекислый - натрий углекислый. Технические условия
ГОСТ 4461-77 Кислота азотная. Технические условия
ГОСТ 4463-76 Натрий фтористый. Технические условия
ГОСТ 5457-75 Ацетилен растворенный и газообразный технический. Технические условия
ГОСТ 5822-78 Цинк уксуснокислый 2-водный. Технические условия*
ГОСТ 5962-67 Спирт этиловый ректификованный. Технические условия**
ГОСТ 7172-76 Калий пиросернокислый. Технические условия
ГОСТ 9656-75 Кислота борная. Технические условия
ГОСТ 10484-78 Кислота фтористоводородная. Технические условия
ГОСТ 10652-73 Соль динатриевая этилендиамин-N, N', N'-тетрауксусной кислоты, 2-водная (трилон Б)
ГОСТ 11069-74 Алюминий первичный. Марки***
ГОСТ 18300-87 Спирт этиловый ректификованный технический. Технические условия
ГОСТ 21639.0-93 Флюсы для электрошлакового переплава. Общие требования к методам анализа.
________________
* Вероятно ошибка оригинала. Следует читать ГОСТ 5823-78;
** На территории Российской Федерации действует ГОСТ Р 51652-2000;
*** На территории Российской Федерации действует ГОСТ 11069-2001, здесь и далее. - Примечание "КОДЕКС".
3 ОБЩИЕ ТРЕБОВАНИЯ
Общие требования к методам анализа - по ГОСТ 21639.0.
4 ТИТРИМЕТРИЧЕСКИЙ МЕТОД
4.1 Сущность метода
Метод основан на образовании в слабокислой среде комплексного соединения алюминия с трилоном Б и титровании его избытка раствором уксуснокислого цинка.
Мешающие определению элементы (железо, титан и др.) предварительно отделяют гидроокисью натрия, небольшие количества марганца, никеля связывают сернистым натрием.
4.2 Реактивы и растворы
Аммоний хлористый по ГОСТ 3773, растворы с массовой концентрацией 10 и 200 г/дм.
Аммиак водный по ГОСТ 3760 и разбавленный 1:1.
Кислота серная по ГОСТ 4204 и разбавленная 1:1.
Кислота соляная по ГОСТ 3118 и разбавленная 1:1, 1:5, 5:95.
Кислота фтористоводородная по ГОСТ 10484.
Калий углекислый - натрий углекислый по ГОСТ 4332.
Кислота борная по ГОСТ 9656.
Смесь для сплавления: две части калия углекислого - натрия углекислого смешивают с одной частью борной кислоты.
Кислота хлорная, квалификации х.ч., раствор с массовой концентрацией 1510 г/дм и разбавленная 1:1.
Кислота хлорная, насыщенная борной кислотой: в коническую колбу вместимостью 1 дм приливают 500 см
хлорной кислоты (1:1), нагревают до 50 °С и насыщают борной кислотой.
Кислота азотная по ГОСТ 4461.
Калий пиросернокислый по ГОСТ 7172.
Натрий фтористый по ГОСТ 4463, раствор с массовой концентрацией 40 г/дм.
Натрия гидроокись по ГОСТ 4328, растворы с массовой концентрацией 100 и 200 г/дм.
Индикатор конго красный, водный раствор с массовой концентрацией 1 г/дм.
Индикатор метиловый красный, спиртовый раствор с массовой концентрацией 1 г/дм.
Аммоний уксуснокислый по ГОСТ 3117.
Кислота уксусная по ГОСТ 61.
Буфер уксуснокислый: 500 г уксуснокислого аммония растворяют в воде, добавляют 20 см ледяной уксусной кислоты, перемешивают и доводят до объема 1 дм
.
Уротропин (гексаметилентетрамин), раствор с массовой концентрацией 500 г/дм.
Натрий сернистый по ГОСТ 2053, раствор с массовой концентрацией 50 г/дм.
Спирт этиловый по ГОСТ 5962 или ГОСТ 18300.
Дитизон, спиртовый раствор с массовой концентрацией 4 г/дм (хранят в темном месте не более 2-3 суток).
Индикатор ксиленоловый оранжевый: 0,1 г индикатора растирают с 10 г хлористого натрия.
Бумага индикаторная универсальная.
Цинк уксуснокислый 2-водный по ГОСТ 5823, растворы с молярной концентрацией 0,0125 или 0,025 моль/дм: 2,74 или 5,48 г уксуснокислого цинка растворяют в 500 см
воды и добавляют 5 см
ледяной уксусной кислоты, переводят в мерную колбу вместимостью 1 дм
, доливают водой до метки и перемешивают.
Алюминий, металлический марки А000 по ГОСТ 11069.
Стандартный раствор алюминия: 1 г металлического алюминия растворяют в 30 см соляной кислоты (1:1) при слабом нагревании. После полного растворения алюминия раствор переливают в мерную колбу вместимостью 1 дм
, доливают водой до метки и перемешивают.
1 см стандартного раствора содержит 0,00189 г окиси алюминия.
Соль динатриевая этилендиамин-N, N, N', N'-тетрауксусной кислоты, 2-водная (трилон Б) по ГОСТ 10652, растворы с молярной концентрацией 0,0125 или 0,025 моль/дм; 4,65 или 9,3 г трилона Б растворяют в 250-300 см
воды. Раствор отфильтровывают в мерную колбу вместимостью 1 дм
, доливают до метки водой и перемешивают.
Массовую концентрацию раствора трилона Б устанавливают по стандартному раствору окиси алюминия. Для установления массовой концентрации трилона Б в три конические колбы вместимостью по 250 см приливают 5 см
стандартного раствора окиси алюминия, 50 см
воды, 5 см
раствора гидроокиси натрия с массовой концентрацией 100 г/дм
, 20 см
трилона Б и нейтрализуют соляной кислотой (1:1) по конго красному до перехода окраски из красной в сине-фиолетовую. К нейтрализованному раствору приливают по 20 см
уксуснокислого буфера, кипятят 2-3 мин, охлаждают, добавляя по 0,2-0,3 г ксиленолового оранжевого или 3 см
дитизона, и титруют уксуснокислым цинком до резкого перехода окраски из желтой в малиново-красную.
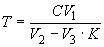
Массовую концентрацию трилона Б (), выраженную в г окиси алюминия на 1 см
раствора, вычисляют по формуле
, (1)
где - массовая концентрация окиси алюминия в стандартном растворе, г/см
;
- объем стандартного раствора окиси алюминия, см
;
- объем трилона Б, взятый для титрования с избытком, см
;
- объем уксуснокислого цинка, израсходованный на обратное титрование избытка трилона Б, см
;
- соотношение растворов трилона Б и уксуснокислого цинка.
Для установления соотношения в три конические колбы вместимостью по 250 см
вливают из бюретки 10 см
трилона Б, 50 см
воды, 5 см
раствора гидроокиси натрия с массовой концентрацией 100 г/дм
.
Раствор нейтрализуют соляной кислотой (1:1) по конго красному до перехода окраски из красной в сине-фиолетовую. Добавляют по 20 см уксуснокислого буфера, 0,2-0,3 г ксиленолового оранжевого или 3 см
дитизона и титруют уксуснокислым цинком. Соотношение (
) рассчитывают по формуле
, (2)
где - объем трилона Б, взятый для титрования, см
;
- объем уксуснокислого цинка, см
.
Необходимые условия для определения алюминия:
1) фтор-ион должен быть полностью отогнан многократным выпариванием с хлорной или серной кислотой;
2) щелочь не должна содержать углекислый натрий;
3) при нейтрализации гидроокись натрия необходимо приливать тонкой струей при энергичном перемешивании.
4.3 Подготовка к анализу
4.3.1 Разложение флюса сплавлением
Навеску флюса массой 0,5 г смешивают в платиновом тигле с 5 г смеси для сплавления, сверху пробу присыпают 0,5 г смеси. Тигель закрывают крышкой и сплавляют при температуре 950-1000 °С в течение 15 мин, охлаждают, помещают в стакан вместимостью 400 см, приливают 150 см
воды, 20 см
соляной кислоты и нагревают до полного растворения плава. Тигель и крышку обмывают водой над стаканом.
К охлажденному раствору осторожно приливают 40 см серной кислоты (1:1), нагревают до появления густых белых паров, охлаждают, стенки стакана обмывают водой и вновь выпаривают до обильных паров серной кислоты. Содержимое стакана охлаждают, прибавляют 30 см
соляной кислоты, 200-250 см
горячей воды и нагревают до растворения солей. Раствор охлаждают, переносят в мерную колбу вместимостью 500 см
, доливают водой до метки и перемешивают.
Если флюс содержит кремний и нерастворимые частицы пробы, их отфильтровывают, фильтр помещают в платиновый тигель, озоляют и прокаливают при температуре 1000-1100 °С. Осадок смачивают 2-3 каплями воды, добавляют 3-4 капли серной кислоты (1:1), 3-5 см фтористоводородной кислоты и выпаривают содержимое тигля до удаления паров серной кислоты.
Сплавляют с 10-кратным количеством пиросернокислого калия, выщелачивают плав в 60-80 см горячей воды в стакане вместимостью 250-300 см
, приливают 30 см
соляной кислоты и нагревают до растворения плава. Раствор охлаждают, соединяют с основным в мерной колбе вместимостью 500 см
, доводят до метки водой, перемешивают. Из этого раствора определяют окись кальция, окись магния, общее железо.
Удаление фтора допускается проводить из отдельных аликвотных частей вместо выпаривания всей на
вески.
4.3.2 Разложение флюса хлорной кислотой
Навеску флюса массой 0,5 г помещают в платиновую чашку, смачивают водой, добавляют 5 см азотной кислоты, нагревают в течение 5-7 мин, приливают 5-10 см
фтористоводородной кислоты, затем добавляют 10 см
хлорной кислоты и выпаривают до появления обильных паров. Обмывают водой стенки чашки, приливают 10 см
хлорной кислоты, насыщенной борной кислотой, и выпаривают досуха. Сухой остаток осторожно нагревают вначале в холодной части муфеля, затем прокаливают при температуре 750-800 °С в течение 2-3 мин. Прокаленный остаток сплавляют с 4-5 г пиросернокислого калия при 750-800 °С в течение 3-5 мин. В чашку приливают 30 см
соляной кислоты и 50 см
горячей воды, слегка нагревают содержимое чашки, переводят в стакан вместимостью 400-500 см
, чашку хорошо обмывают горячей водой. В стакан доливают горячей воды до 300-350 см
и нагревают до полного растворения солей. Раствор охлаждают, переводят в мерную колбу вместимостью 500 см
, доливают водой до метки и перемешивают.
Если в пробе содержится барий, раствор может быть слегка мутноват. Из этого раствора отбирают аликвотные части и определяют содержание окиси алюминия, окиси кальция, окиси магния, общего железа.
4.4 Проведение анализа
4.4.1 Отделение полуторных окислов уротропином
Аликвотную часть 200 см основного раствора помещают в стакан вместимостью 400-500 см
, добавляют 20 см
раствора хлористого аммония с массовой концентрацией 200 г/дм
, нагревают до температуры 70-80 °С, устанавливают pH 2-3 (по универсальной индикаторной бумаге) или на рН-метре, подготовив пробу нейтрализацией по метиловому красному раствором аммиака до выпадения осадка и изменения окраски; избыток аммиака нейтрализуют соляной кислотой 1:5 до растворения выпавшего осадка полуторных окислов, затем добавляют 30 см
уротропина. Выпавшему осадку гидроокисей дают постоять при температуре 70-80 °С в течение 5-10 мин, после чего фильтруют на фильтр средней плотности и промывают 5-6 раз раствором хлористого аммония с массовой концентрацией 10 г/дм
, нейтрализованным по метиловому красному аммиаком. Фильтрат используют для определения содержания окиси кальция и окиси магния, а осадок - для определения содержания окиси алюминия.
4.4.2 Отделение полуторных окислов аммиаком
Аликвотную часть 200 см основного раствора помещают в стакан вместимостью 400-500 см
, добавляют 20 см
раствора хлористого аммония с массовой концентрацией 200 г/дм
; нагревают до температуры 70-80 °С, добавляют 1-2 капли метилового красного и осаждают полуторные окислы аммиаком (1:1), добавляя его до изменения окраски индикатора (или до слабого запаха). Для коагуляции осадка раствор нагревают в течение 3-5 мин, затем фильтруют на фильтр средней плотности, промывают 3-4 раза горячим раствором хлористого аммония с массовой концентрацией 10 г/дм
, нейтрализованным по метиловому красному аммиаком. Осадок полуторных окислов смывают с фильтра горячей водой в стакан, в котором проводилось осаждение, и растворяют в 20 см
горячей соляной кислоты (1:1), нагревают до кипения и повторно осаждают полуторные окислы аммиаком, как указано выше.
Осадок фильтруют через тот же фильтр, промывают 5-6 раз горячим раствором хлористого аммония с массовой концентрацией 10 г/дм. Фильтраты объединяют и используют для определения окиси кальция и окиси магния
.
4.4.3 Осадок полуторных окислов смывают в стакан, в котором проводилось осаждение, фильтр обмывают 20 см горячей соляной кислоты (1:1), затем хорошо смывают горячей водой. Общий объем раствора должен быть 60-70 см
. Раствор нагревают до кипения (полного растворения осадка) и нейтрализуют горячим раствором гидроокиси натрия с массовой концентрацией 200 г/дм
по бумаге конго при перемешивании до перехода окраски в красный цвет, затем тонкой струей при энергичном перемешивании приливают в избыток 35-40 см
горячей гидроокиси натрия и 0,5 см
раствора сернистого натрия. Раствор кипятят 3-4 мин для коагуляции осадка железа, титана и охлаждают. Содержимое стакана переносят в мерную колбу вместимостью 250 см
, доливают до метки водой и хорошо перемешивают. Раствор фильтруют через сухой фильтр средней плотности в сухую колбу, отбрасывая первые порции фильтрата.
Аликвотную часть фильтрата и количество добавляемого раствора трилона Б определяют в зависимости от содержания в нем алюминия по таблицам 1 и 2.
Таблица 1 - Объем раствора трилона Б при массовой доле окиси алюминия до 5%
Массовая доля окиси алюминия, % | Аликвотная часть анализируемого раствора, см | Объем раствора 0,0125 моль/дм |
До 2 включ. | 100 | 10 |
Св. 2 до 3 " | 100 | 15 |
" 3 " 4 " | 100 | 20 |
" 4 " 5 " | 100 | 20 |
Таблица 2 - Объем раствора трилона Б при массовой доле окиси алюминия от 5 до 60%
Массовая доля окиси алюминия, % | Аликвотная часть анализируемого раствора, см | Объем раствора 0,025 моль/дм |
До 5 включ. | 100 | 10 |
Св. 5 до 10 " | 100 | 20 |
" 10 " 20 " | 100 | 25 |
" 20 " 25 " | 100 | 35 |
" 25 " 30 " | 100 | 45 |
" 30 " 40 " | 50 | 35 |
" 40 " 50 " | 50 | 40 |
" 50 " 60 " | 50 | 50 |
Раствор нейтрализуют соляной кислотой по конго красному до перехода окраски из красной в сине-фиолетовую, приливают 20 см уксуснокислого буфера, кипятят 2-3 мин. Раствор охлаждают, добавляют 0,2-0,3 г ксиленолового оранжевого или 3 см
дитизона. Избыток трилона Б оттитровывают раствором уксуснокислого цинка с молярной концентрацией 0,0125 или 0,025 моль/дм
до резкого перехода окраски раствора из желтой в малиново-красную. Через весь анализ проводят контрольный опыт.
4.5 Обработка результатов
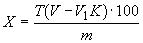
4.5.1 Массовую долю окиси алюминия () в процентах вычисляют по формуле
, (3)
где - массовая концентрация раствора трилона Б, выраженная в г окиси алюминия на 1 см
раствора;
- объем титрованного раствора трилона Б, взятый с избытком, см
;
- объем раствора уксуснокислого цинка, израсходованный на титрование избытка раствора трилона Б, см
;
- соотношение растворов трилона Б и уксуснокислого цинка;
- масса навески, соответствующая аликвотной части раствора,
г.
4.5.2. Нормы точности и нормативы контроля точности определения массовой доли окиси алюминия приведены в таблице 3.
Таблица 3 - Нормативы контроля точности определения массовой доли окиси алюминия
Массовая доля окиси алюминия, % | Допускаемые расхождения, % | ||||
погрешности результатов анализа, | двух средних результатов анализа, выполненных в различных условиях | двух параллельных определений | трех параллельных определений | результатов анализа стандартного образца от аттестованного значения | |
От 1 до 2 включ. | 0,13 | 0,16 | 0,14 | 0,17 | 0,08 |
Св. 2 " 5 " | 0,2 | 0,3 | 0,2 | 0,3 | 0,1 |
" 5 " 10 " | 0,3 | 0,4 | 0,3 | 0,4 | 0,2 |
" 10 " 20 " | 0,4 | 0,5 | 0,4 | 0,5 | 0,3 |
" 20 " 50 " | 0,7 | 0,8 | 0,7 | 0,8 | 0,4 |
" 50 " 60 " | 0,9 | 1,2 | 1,0 | 1,2 | 0,6 |
5 ТИТРИМЕТРИЧЕСКИЙ УСКОРЕННЫЙ МЕТОД
5.1 Сущность метода
Ускоренный титриметрический метод определения окиси алюминия применяется для флюсов с массовой долей железа до 0,5% и не содержащих титана.
Метод заключается в кипячении кислого раствора с избытком трилона Б.
Кислотность раствора понижают добавлением аммиака и буферного раствора, избыток трилона Б оттитровывают уксуснокислым цинком. Трилонат алюминия разрушают добавлением фтористого натрия. При нагревании алюминий переходит в более прочное фтористое соединение. Освободившийся трилон Б оттитровывают уксуснокислым цинком.
5.2 Реактивы и растворы
Массовую концентрацию уксуснокислого цинка устанавливают по стандартному раствору окиси алюминия. Для этого стандартный раствор окиси алюминия в количестве, соответствующем массе его в навеске анализируемого образца, помещают в колбу. Далее определение ведут по 5.3.
5.3 Проведение анализа
Аликвотную часть 50-100 см основного раствора помещают в коническую колбу вместимостью 250 см
, добавляют из бюретки 10-50 см
раствора трилона Б с молярной концентрацией 0,0125 или 0,025 моль/дм
(в зависимости от массовой доли алюминия), нейтрализуют аммиаком по конго красному до перехода окраски из красной в сине-фиолетовую, добавляют 20 см
уксуснокислого буфера, кипятят 2-3 мин, при содержании окиси алюминия более 30% кипячение необходимо продлить до 7-8 мин. Раствор охлаждают, добавляют 0,2-0,3 г ксиленолового оранжевого или 2 см
дитизона, избыток трилона Б оттитровывают раствором уксуснокислого цинка с молярной концентрацией 0,0125 или 0,025 моль/дм
до резкого перехода окраски раствора из желтой в малиново-красную. Добавляют 80 см
фтористого натрия, нагревают до перехода окраски раствора из розовой в желтую. Раствор охлаждают, добавляют 0,1 г ксиленолового оранжевого или 2 см
дитизона. Освободившийся трилон Б от трилоната алюминия оттитровывают раствором уксуснокислого цинка с молярной концентрацией 0,0125 или 0,025 моль/дм
.
Через весь анализ проводят контрольный опыт.
5.4 Обработка результатов
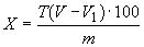
5.4.1 Массовую долю окиси алюминия () в процентах вычисляют по формуле
, (4)
где - массовая концентрация уксуснокислого цинка, выраженная в г окиси алюминия, на 1 см
раствора;
- объем раствора уксуснокислого цинка, израсходованный на титрование трилона Б, освободившегося от трилоната алюминия после добавления фтористого натрия, см
;
- объем раствора уксуснокислого цинка, израсходованный на титрование раствора контрольного опыта после добавления фтористого натрия, см
;
- масса навески, соответствующая аликвотной части раствора, г
.
5.4.2 Нормы точности и нормативы контроля точности определения массовой доли окиси алюминия приведены в таблице 3.
6 АТОМНО-АБСОРБЦИОННЫЙ МЕТОД
6.1 Сущность метода
Метод основан на измерении степени поглощения резонансного излучения свободными атомами алюминия, образующимися в результате распыления анализируемого раствора в пламени закись азота - ацетилен.
6.2 Аппаратура, реактивы
Спектрофотометр атомно-абсорбционный любого типа с источником излучения для алюминия.
Печь муфельная с температурой нагрева до 1000 °С.
Ацетилен растворенный по ГОСТ 5457. Закись азота газообразная. Компрессор с рессивером, обеспечивающий подачу сжатого воздуха, или баллон со сжатым воздухом, или сжатый воздух из воздухопровода с давлением на входе в спектрофотометр не менее 2 атм.
Желатин пищевой по ГОСТ 11293, раствор с массовой концентрацией 10 г/дм.
Остальные реактивы и растворы - по 4.2.
6.3 Проведение анализа
6.3.1 Навеску флюса массой 0,5 г помещают в платиновый тигель, смешивают с 5 г смеси для сплавления и сплавляют в муфельной печи при температуре 950-1000 °С в течение 15 мин. Охлажденный тигель помещают в стакан вместимостью 250 см, приливают 50 см
горячей воды, 10 см
соляной кислоты и нагревают до растворения солей. Тигель удаляют из стакана и обмывают водой. Если раствор непрозрачный, его фильтруют через плотный фильтр, промывают 2-3 раза горячей соляной кислотой (5:95) и 3-4 раза горячей водой. Фильтр помещают в платиновый тигель, высушивают, озоляют и остаток сплавляют с 1,5-2,0 г пиросернокислого калия. Охлажденный плав выщелачивают в 60 см
горячей соляной кислоты (1:5). Раствор присоединяют к основному фильтрату. Объединенный фильтрат выпаривают до влажных солей, приливают 30 см
соляной кислоты, нагревают до растворения солей, затем приливают 60 см
воды, 10 см
раствора желатина, перемешивают, дают постоять в теплом месте 5-7 мин и фильтруют кремниевую кислоту через фильтр средней плотности в коническую колбу вместимостью 250 см
. Осадок промывают 3-4 раза горячей соляной кислотой (5:95) и 5-6 раз горячей водой. Раствор выпаривают до объема 70-80 см
, охлаждают, помещают в мерную колбу вместимостью 100 см
, доливают до метки водой и перемешивают.
В зависимости от массовой доли окиси алюминия отбирают аликвотную часть раствора в соответствии с таблицей 4.
Таблица 4 - Объем аликвотной части раствора
Массовая доля окиси алюминия, % | Объем аликвотной части, см |
От 1 до 5 включ. | 50 |
Св. 5 " 20 " | 25 |
" 20 " 30 " | 20 |
" 30 " 60 " | 10 |
Аликвотную часть раствора помещают в коническую колбу вместимостью 100 см, выпаривают до влажных солей, приливают 4 см
соляной кислоты, 15-20 см
воды и нагревают до полного растворения солей. Охлажденный раствор помещают в мерную колбу вместимостью 100 см
, доливают до метки водой, перемешивают. Через весь ход анализа проводят контрольный опыт.
Распыляют раствор контрольного опыта и раствор анализируемой пробы в пламя закись азота - ацетилен в порядке увеличения абсорбции до получения стабильных показаний для каждого раствора. Перед распылением каждого раствора распыляют воду для промывания системы и проверки нулевой точки. Измеряют атомную абсорбцию алюминия при длине волны 309,3 нм.
После вычитания значения атомной абсорбции раствора контрольного опыта из значения атомной абсорбции раствора анализируемой пробы находят массу алюминия в растворе анализируемой пробы по градуировочному графику (в пересчете на окись алюминия).
6.3.2 Построение градуировочного графика
Для построения градуировочного графика в семь платиновых тиглей помещают по 5 г смеси для сплавления и проводят анализ по 6.3.1.
В шесть конических колб с аликвотной частью плава приливают 0,5; 1,0; 2,5; 5,0; 10,0; 15,0 см стандартного раствора алюминия, что соответствует 0,000945; 0,00189; 0,00472; 0,00945; 0,018895; 0,02834 г окиси алюминия, по 4 см
соляной кислоты, доливают до метки водой и перемешивают.
Седьмая колба, не содержащая стандартный раствор, служит для проведения контрольного опыта. Измерение абсорбции полученных растворов проводят по 6.3.1.
6.4 Обработка результатов
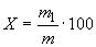
6.4.1 Массовую долю окиси алюминия () в процентах вычисляют по формуле
, (5)
где - масса окиси алюминия в растворе анализируемой пробы, найденная по градуировочному графику, г;
- масса навески пробы, г.
6.4.2 Нормы точности и нормативы контроля точности определения массовой доли окиси алюминия приведены в таблице 3.
Текст документа сверен по:
официальное издание
Флюсы для электрошлакового переплава.
Методы анализа: Сб. ГОСТов. -
М.: ИПК Издательство стандартов, 1995
Разместите заказ
сами сделают вам предложение
