ГОСТы сталей. ГОСТ 21639.10-76
ГОСТ 21639.10-76
Группа В09
ГОСУДАРСТВЕННЫЙ СТАНДАРТ СОЮЗА ССР
ФЛЮСЫ ДЛЯ ЭЛЕКТРОШЛАКОВОГО ПЕРЕПЛАВА
Метод определения серы
Fluxes for electroslag remelting. Method for determination of sulphur
ОКСТУ 0709
Дата введения 1977-07-01
ИНФОРМАЦИОННЫЕ ДАННЫЕ
1. УТВЕРЖДЕН И ВВЕДЕН В ДЕЙСТВИЕ Постановлением Государственного комитета стандартов Совета Министров СССР от 10 марта 1976 г. N 662
Изменение N 2 принято Межгосударственным Советом по стандартизации, метрологии и сертификации (протокол N 9 от 12 апреля 1996 г.)
За принятие проголосовали:
Наименование государства | Наименование национального органа |
Азербайджанская Республика | Азгосстандарт |
Республика Белоруссия | Госстандарт Белоруссии |
Республика Казахстан | Госстандарт Республики Казахстан |
Республика Молдова | Молдовастандарт |
Российская Федерация | Госстандарт России |
Туркменистан | Главная государственная инспекция Туркменистана |
Украина | Госстандарт Украины |
2. ВВЕДЕН ВПЕРВЫЕ
3. ССЫЛОЧНЫЕ НОРМАТИВНО-ТЕХНИЧЕСКИЕ ДОКУМЕНТЫ
Обозначение НТД, на который дана ссылка | Номер раздела, пункта |
ГОСТ 3118-77 | 2 |
ГОСТ 4202-75 | 2 |
ГОСТ 4232-74 | 2 |
ГОСТ 9147-80 | 2 |
ГОСТ 9932-75 | 2 |
ГОСТ 10163-76 | 2 |
ГОСТ 16539-79 | 2 |
ГОСТ 20490-75 | 2 |
ГОСТ 21639.0-93 | 1.1 |
ГОСТ 24363-80 | 2 |
ТУ 6-09-4711-81 | 2 |
4. Ограничение срока действия снято по протоколу Межгосударственного Совета по стандартизации, метрологии и сертификации (ИУС 2-93)
5. ПЕРЕИЗДАНИЕ (март 1998 г.) с Изменениями N 1, 2, утвержденными в ноябре 1986 г., августе 1996 г. (ИУС 2-87, 11-96)
Настоящий стандарт устанавливает титриметрический метод определения серы в флюсах при массовой доле ее от 0,005 до 0,07%.
(Измененная редакция, Изм. N 2).
ТИТРИМЕТРИЧЕСКИЙ МЕТОД
ТИТРИМЕТРИЧЕСКИЙ МЕТОД
Метод основан на сжигании навески флюса в токе кислорода в трубчатой печи при температуре 1300-1350 °С, поглощении образующейся двуокиси серы водой и последующем титровании сернистой кислоты раствором йодноватокислого калия в присутствии индикатора-крахмала.
(Измененная редакция, Изм. N 1).
1. ОБЩИЕ ТРЕБОВАНИЯ
1.1. Общие требования к методу анализа - по ГОСТ 21639.0.
2. АППАРАТУРА, РЕАКТИВЫ И РАСТВОРЫ
Установка для определения содержания серы (см. чертеж).

Установка для определения содержания серы состоит из следующих элементов: баллона с кислородом 1, снабженного редукционным вентилем для пуска и регулирования тока кислорода; склянки Тищенко 2, содержащей раствор марганцовокислого калия в растворе 300 г/дм гидроокиси калия; склянки Тищенко 3, заполненной концентрированной серной кислотой; сушильной колонки 4, заполненной натронной известью; двухходового крана 5 для пуска кислорода в печь; горизонтальной трубчатой печи 6 с силитовыми нагревателями, обеспечивающими нагревание до температуры (1400±20) °С; термопары платино-платинородиевой 7 с терморегулятором или милливольтметром типа МРШПР-54; трансформатора 8 для регулирования напряжения с амперметром со шкалой 20 А для контроля силы тока нагревателя (можно использовать автотрансформатор типа РНО-250-10); трубки фарфоровой неглазурованной 9 длиной 650-750 мм, внутренним диаметром 20-22 мм. Концы трубки, выступающие из печи, должны иметь длину не менее 170-200 мм. Новые трубки перед применением должны быть прокалены при рабочей температуре по всей длине. Трубки с обеих сторон закрывают хорошо подогнанными резиновыми пробками. В отверстия пробок вставляют стеклянные или латунные трубки. Для предотвращения обгорания резиновых пробок внутреннюю торцовую поверхность закрывают асбестовыми прокладками; грушеобразной трубки 11, заполненной стекловатой для улавливания твердых частиц флюса, уносимых током кислорода в процессе сжигания навески; поглотительного сосуда 12, состоящего из двух стеклянных сосудов, соединенных стеклянными перемычками (в один из сосудов впаяны Г-образная стеклянная трубка, оканчивающаяся барбатером, через который поступают газообразные продукты сжигания в поглотительный сосуд) с краном в нижней части для слива раствора. В правый сосуд (сосуд сравнения) наливают жидкость, служащую для контроля; бюретки для титрования 13; склянки из темного стекла 14 с титрованным раствором йодноватокислого калия.
Крючок из жаропрочной проволоки.
Калий йодистый по ГОСТ 4232.
Калия гидроокись по ГОСТ 24363, растворы с массовой концентрацией 40, 300 г/дм.
Калий марганцовокислый по ГОСТ 20490, раствор с массовой концентрацией 40 г/дм в растворе с массовой концентрацией 300 г/дм
гидроокиси калия.
Кальций хлористый по ТУ 6-09-4711.
Известь натронная.
Плавень: окись меди (II) в виде порошка по ГОСТ 16539. Плавень должен быть проверен на содержание серы. Поправка не должна превышать 0,002% серы.
Крахмал растворимый по ГОСТ 10163; раствор с массовой концентрацией 0,5 г/дм готовят следующим образом: 0,5 г растворимого крахмала растирают в ступке с 30 см
холодной воды, вливают тонкой струйкой в колбу, где находится 700 см
горячей воды. Раствор кипятят 2-3 мин, охлаждают, приливают 15 см
соляной кислоты и разбавляют холодной водой до 1000 см
.
Кислота соляная по ГОСТ 3118.
Калий йодноватокислый по ГОСТ 4202.
Титрованный раствор йодноватокислого калия; готовят следующим образом: 0,0862 г йодноватокислого калия растворяют в 300 см воды, приливают 10 см
раствора с массовой концентрацией 40 г/дм
гидроокиси калия и перемешивают. К полученному раствору добавляют 15 г йодистого калия, растворяют при перемешивании и доливают водой в мерной колбе до 1000 см
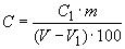
. Раствор хранят в склянке из темного стекла. Массовую концентрацию раствора йодноватокислого калия устанавливают по навеске стандартного образца флюса, проведенной через все стадии анализа.
Массовую концентрацию раствора йодноватокислого калия (), выраженную в г/см
серы, вычисляют по формуле
,
где - массовая доля серы в стандартном образце, %;
- масса навески стандартного образца, г;
- объем раствора йодноватокислого калия, израсходованный на титрование анализируемого раствора, см
;
- объем раствора йодноватокислого калия, израсходованный на титрование раствора контрольного опыта, см
.
Лодочки фарфоровые N 2 по ГОСТ 9147 или корундовые. Перед применением лодочки прокаливают в токе кислорода 5 мин при температуре 1300-1350 °С.
Реометры стеклянные лабораторные по ГОСТ 9932.
(Измененная редакция, Изм. N 1, 2).
3. ПОДГОТОВКА К АНАЛИЗУ
Перед началом работы нагревают печь до температуры 1350 °С и проверяют установку на герметичность. Для этого в поглотительный сосуд и сосуд сравнения наливают по 110-120 см раствора крахмала, в который предварительно прибавляют несколько капель титрованного раствора йодноватокислого калия до получения светло-голубой окраски. При помощи пробок и резиновых трубок соединяют все части установки и пропускают кислород с такой скоростью, чтобы уровень жидкости поглотителя поднялся на 30-40 мм. Затем закрывают доступ кислорода в поглотительный сосуд (с помощью зажима) и проверяют установку на герметичность. Установка герметична, если в поглотительных склянках через некоторое время прекратится появление пузырьков газа. Если пузырьки проходят, то необходимо сменить фарфоровую и соединительную трубки, протереть краны, смазать вакуумной смазкой и вновь проверить установку на герметичность.
Перед проведением анализа удаляют примесь серы из фарфоровой трубки и лодочки прокаливанием в токе кислорода при рабочей температуре печи. Лодочки помещают в наиболее горячую часть трубки и пропускают ток кислорода со скоростью 2,5-3 дм/мин. Полноту выгорания серы контролируют пропусканием газообразных продуктов через раствор крахмала, содержащий йодноватокислый калий. По мере обесцвечивания раствора прибавляют титрованный раствор йодноватокислого калия до устойчивой светло-голубой окраски. Конец выгорания серы определяют по прекращению обесцвечивания раствора.
Прокаленные лодочки хранят в эксикаторе. Раствор из поглотительного сосуда и сосуда сравнения сливают и промывают сосуд водой.
Для проверки правильности работы установки сжигают 2-3 навески стандартного образца флюса по методике, приведенной в разд.4. Затем сжигают плавень для установления поправки контрольного опыта.
4. ПРОВЕДЕНИЕ АНАЛИЗА
Навеску флюса массой 1 г помещают в фарфоровую лодочку, покрывают плавнем в соотношении 1:2 (окиси меди). В поглотительный сосуд заранее наливают по 120 см раствора крахмала, в который предварительно прибавляют 3-4 капли титрованного раствора йодноватокислого калия до получения светло-голубой окраски и пропускают кислород со скоростью 2,5-3 дм
/мин. Если наблюдается ослабление окраски раствора в поглотителе, то прибавляют из бюретки по каплям титрованный раствор йодноватокислого калия до уравнивания окраски в обоих сосудах. Лодочку с навеской и плавнем с помощью крючка помещают в наиболее горячую часть фарфоровой трубки. Трубку закрывают резиновой пробкой. Навеску прогревают в печи в течение 1 мин без доступа кислорода, затем пропускают кислород с такой скоростью, чтобы уровень жидкости в поглотителе поднялся на 30-40 мм. Когда поступающий из печи в поглотительный сосуд сернистый газ начинает обесцвечивать раствор, из бюретки приливают по каплям раствор йодноватокислого калия с такой скоростью, чтобы голубое окрашивание раствора не исчезало во время сжигания. Титрование считают законченным, когда интенсивность окраски растворов в обоих сосудах будет одинаковой. Для проверки полноты сгорания навески кислород пропускают еще в течение 1 мин. Если интенсивность окраски не уменьшается, определение считают законченным, если уменьшается - титрование продолжают. После сжигания анализируемой пробы лодочку вынимают крючком из печи, раствор сливают из поглотительного сосуда и промывают сосуд водой. Для определения поправки контрольного опыта сжигают две параллельные навески плавня.
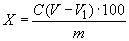
5. ОБРАБОТКА РЕЗУЛЬТАТОВ
5.1. Массовую долю серы () в процентах вычисляют по формуле
,
где - массовая концентрация раствора йодноватокислого калия, выраженная в г/см
серы;
- объем раствора йодноватокислого калия, израсходованный на титрование анализируемого раствора, см
;
- объем раствора йодноватокислого калия, израсходованный на титрование раствора контрольного опыта, см
;
- масса навески, г.
(Измененная редакция, Изм. N 1).
5.2. Нормы точности и нормативы контроля точности определения массовой доли серы приведены в таблице.
Массовая доля серы, % | Допускаемое расхождение, % | ||||
погрешности результатов анализа | двух средних результатов анализа, выполненных в различных условиях, | двух параллельных определений | трех параллельных определений | результатов анализа стандартного образца от аттестованного значения | |
От 0,005 до 0,01 включ. | 0,003 | 0,003 | 0,003 | 0,003 | 0,002 |
Св. 0,01 " 0,02 " | 0,004 | 0,005 | 0,004 | 0,005 | 0,002 |
" 0,02 " 0,05 " | 0,006 | 0,008 | 0,006 | 0,008 | 0,004 |
" 0,05 " 0,07 " | 0,008 | 0,011 | 0,009 | 0,011 | 0,005 |
(Измененная редакция, Изм. N 2).
Разд. "Метод с применением автоматических анализаторов". (Исключен, Изм. N 2).
Электронный текст документа
подготовлен ЗАО "Кодекс" и сверен по:
официальное издание
М.: ИПК Издательство стандартов, 1998
Разместите заказ
сами сделают вам предложение
