ГОСТы сталей. ГОСТ 21073.4-75
ГОСТ 21073.4-75
Группа В09
МЕЖГОСУДАРСТВЕННЫЙ СТАНДАРТ
МЕТАЛЛЫ ЦВЕТНЫЕ
Определение величины зерна планиметрическим методом
Non-ferrous metals. Determination of grain size bu planimetric method
ОКСТУ 1709
Дата введения 1976-07-01
Постановлением Государственного комитета стандартов Совета Министров СССР от 15 августа 1975 г. N 2164 срок введения установлен с 01.07.76
Ограничение срока действия снято по протоколу N 2-92 Межгосударственного Совета по стандартизации, метрологии и сертификации (ИУС 2-93)
ИЗДАНИЕ с Изменением N 1, утвержденным в декабре 1983 г. (ИУС 3-84).
Настоящий стандарт распространяется на цветные металлы и устанавливает планиметрический метод определения величины зерна.
Метод применяется в случаях, требующих повышенную точность измерений, например, для создания контрольных шкал микроструктур специального назначения и т.д.
1. ОБЩИЕ ТРЕБОВАНИЯ
1. ОБЩИЕ ТРЕБОВАНИЯ
1.1. Общие требования к методу испытания - по ГОСТ 21073.0-75.
2. ПРОВЕДЕНИЕ ИСПЫТАНИЯ
2.1. Для определения величины зерна планиметрическим методом просматривают поверхность шлифа и выбирают не менее трех типичных мест, а при определении статистических характеристик
- не менее 15 типичных мест и производят соответствующее число измерений.
(Измененная редакция, Изм. N 1).
2.2. При определении величины зерна используют такое увеличение, чтобы в поле зрения находилось 80-200 зерен.
2.3. Для определения величины зерна изображение каждого измеряемого места наблюдают на матовом стекле микроскопа или на микрофотографии.
3. ОБРАБОТКА РЕЗУЛЬТАТОВ
3.1. Определение величины зерна производят путем планиметрирования площади , составленной из целых зерен, и подсчета числа этих зерен
.
Методы планиметрирования приведены в приложении.
Число зерен, входящих в планиметрическую площадь, должно быть не менее 50% зерен, находящихся в поле зрения.
3.2. За результат испытания принимают следующие величины:
а) среднюю площадь сечения зерна , мм
;
б) среднее число зерен , приходящихся на 1 мм
площади шлифа;
в) минимальную и максимальную площади сечения зерна и
, мм
;
г) среднеквадратичное отклонение единичных измерений площади сечения зерна , м
м.
3.3. Расчет производят по формулам:
;
.
3.4. В качестве справочной величины, характеризующей размер зерна при определении его планиметрическим методом, может быть определен средний диаметр зерна:
.
3.1-3.4. (Измененная редакция, Изм. N 1).
ПРИЛОЖЕНИЕ (рекомендуемое). МЕТОДЫ ПЛАНИМЕТРИРОВАНИЯ
ПРИЛОЖЕНИЕ
Рекомендуемое
Для измерения площади рекомендуется пользоваться математическими приборами, например, планиметрами типа Амслера.
Возможно использование ручных методов планиметрирования, указанных ниже.
1. Линейный метод
1.1. На планиметрируемую площадь наносят параллельные линии. Расстояние между соседними параллельными линиями должно быть одинаковым.
Точность планиметрирования тем больше, чем меньше расстояние между соседними параллельными линиями. Рекомендуемое расстояние между соседними параллельными линиями - 1 мм.
Примечание. Наносить параллельные линии на планиметрируемую площадь можно карандашом или другим инструментом на микрофотографии или на матовом стекле микроскопа или проектора, а также наложением заранее изготовленного шаблона на тонкую прозрачную пленку.
1.2. Измеряют суммарную длину всех нанесенных параллельных линий, оказавшихся внутри планируемой площади, линейкой или курвиметром.
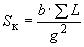
1.3. Величину планиметрируемой площади в миллиметрах вычисляют по формуле
,
где - суммарная длина всех параллельных линий, мм;
- расстояние между соседними параллельными линиями, мм;
- увеличение (линейное).
2. Сеточный метод
2.1. На планиметрируемую площадь наносят мелкую равномерную сетку. Точность планиметрирования тем больше, чем мельче сетка. Рекомендуется сетка с квадратными ячейками размером 1х1 мм.
Примечание. Наносить сетку рекомендуется путем наложения на микрофотографию или на матовое стекло микроскопа или проектора заранее изготовленного шаблона на тонкой прозрачной пленке (палетки).
2.2. Подсчитывают число ячеек сетки, оказавшихся внутри планиметрируемой площади. Ячейки, пересеченные границей планиметрируемой площади, считают за целые в том случае, если половина или более половины их площади находится внутри планиметрируемой площади; если менее половины площади ячейки находится внутри планиметрируемой площади, то данную ячейку не считают.
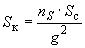
2.3. Величину планиметрируемой площади в мм
вычисляют по формуле
,
где - количество ячеек сетки внутри планиметрируемой площади, шт.;
- площадь одной ячейки сетки, мм
;
- увеличение (линейное).
3. Весовой метод
3.1. Планиметрируемую площадь вырезают из микрофотографии, отпечатанной на фотопленке, масса 1 м которой точно определена.
Точность планиметрирования тем больше, чем точнее и аккуратнее вырезана планиметрируемая площадь.
3.2. Взвешивают вырезанную планиметрируемую площадь на аналитических весах.
Примечание. Определение массы 1 м и взвешивание вырезанной площади должно быть произведено на фотопленке одной и той же партии и толщины, проявленной, отфиксированной, промытой и просушенной в одних и тех же условиях.
3.3. Величину планиметрируемой площади в мм
вычисляют по формуле
,
где - масса вырезанной планиметрируемой площади, г;
- масса 1 м
фотопленки, г;
- увеличение (линейное).
Электронный текст документа подготовлен
ЗАО "КОДЕКС" и сверен по:
официальное издание
Цветные металлы. Методы анализа.
Общие требования: Сборник ГОСТов. -
М.: ИПК Издательство стандартов, 2002
Разместите заказ
сами сделают вам предложение
