ГОСТы сталей. ГОСТ 21073.2-75
ГОСТ 21073.2-75
Группа В09
МЕЖГОСУДАРСТВЕННЫЙ СТАНДАРТ
МЕТАЛЛЫ ЦВЕТНЫЕ
Определение величины зерна методом подсчета зерен
Non-ferrous metals. Determination of grain size bu grain calkulation method
ОКСТУ 1709
Дата введения 1976-07-01
Постановлением Государственного комитета стандартов Совета Министров СССР от 15 августа 1975 г. N 2164 срок введения установлен с 01.07.76
Ограничение срока действия снято по протоколу N 2-92 Межгосударственного Совета по стандартизации, метрологии и сертификации (ИУС 2-93)
ИЗДАНИЕ с Изменением N 1, утвержденным в декабре 1983 г. (ИУС 3-84).
Настоящий стандарт распространяется на цветные металлы и устанавливает метод подсчета зерен для определения величины зерна.
Метод применяется для количественных характеристик величины зерна при исследовательских или опытных работах и т.д.
Метод подсчета зерен не следует применять для определения величины неравноосных зерен.
Стандарт соответствует СТ СЭВ 1959-79 в части метода подсчета зерен.
(Измененная редакция, Изм. N 1).
1. ОБЩИЕ ТРЕБОВАНИЯ
1. ОБЩИЕ ТРЕБОВАНИЯ
1.1. Общие требования к методу испытания - по ГОСТ 21073.0-75.
2. ПРОВЕДЕНИЕ ИСПЫТАНИЯ
2.1. Для определения величины зерна поверхность шлифа просматривают и выбирают не менее трех типичных мест, а при определении статистических характеристик (,
,
) - не менее 15 типичных мест и производят соответствующее число измерений.
2.2. Для определения величины зерна применяют контрольную площадь подсчета.
2.3. Определение величины зерна производят при таком увеличении, чтобы внутри контрольной площади находилось целиком 30-100 зерен.
2.4. На изображение измеряемого места, наблюдаемого на матовом стекле микроскопа, на микрофотографии или непосредственно в окуляре микроскопа (если окуляр снабжен изображением контуров контрольной площади подсчета) наносят контуры контрольной площади подсчета.
2.5. В качестве контрольной площади подсчета используют следующие фигуры при 100-кратном (линейном) увеличении, ограничивающие на шлифе площадь 0,5 мм:
круг диаметром 79,8±0,4 мм;
квадрат или прямоугольники размерами 70,7х70,7; 65х77; 60х83,3; 55х91; 50х100 мм с предельными отклонениями ±0,4 мм.
Указанные размеры берут по внутренним контурам фигур.
2.6. При увеличениях, отличных от 100-кратного, допускается применять площади подсчета других размеров в виде круга или прямоугольников с соотношением сторон от 1:2 до 2:1.
2.7. Величину зерна определяют подсчетом числа зерен , целиком находящихся внутри контрольной площади подсчета, и
, рассекаемых внутренним контуром контрольной площади подсчета, исключая зерна, находящиеся на углах контрольной площади подсчета в виде квадрата или прямоугольника.
Разница при подсчете количества зерен на одном шлифе не должна составлять более 50%.
(Измененная редакция, Изм. N 1).
3. ОБРАБОТКА РЕЗУЛЬТАТОВ
3.1. За результат испытания принимают одну или несколько величин:
а) среднее число зерен , приходящееся на 1 мм
площади шлифа;
б) среднюю площадь сечения зерна , мм
;
в) минимальную и максимальную площадь сечения зерна и
соответственно, мм
;
г) среднеквадратическое отклонение единичных измерений площади сечения зерна , мм
.
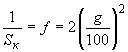
3.2. Расчет производят по формулам:
а) при контрольной площади подсчета в виде круга
,
где
.
При контрольной площади подсчета в виде круга диаметром 79,8 мм величина коэффициента в зависимости от числа зерен приведена в таблице.
Число зерен внутри контрольной площади подсчета | |
30 | 0,455 |
40 | 0,460 |
50 | 0,465 |
100 | 0,475 |
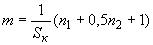
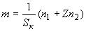
б) при контрольной площади подсчета в виде квадрата или прямоугольника
;
в) при контрольной площади подсчета любых фигур:
.
При соблюдении условий п.2.5 и 100-кратном увеличении
.
При соблюдении условий п.2.5, но при увеличении, отличном от 100-кратного
.
Величина коэффициента для наиболее применительных увеличений приведена в приложении.
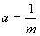
3.3. В качестве справочной величины, характеризующей размер зерна при определении его методом подсчета зерен, может быть вычислен средний диаметр зерна по формуле
.
3.1-3.3. (Измененная редакция, Изм. N 1).
ПРИЛОЖЕНИЕ (справочное). ЗНАЧЕНИЕ КОЭФФИЦИЕНТА f ДЛЯ НАИБОЛЕЕ ПРИМЕНИТЕЛЬНЫХ УВЕЛИЧЕНИЙ
ПРИЛОЖЕНИЕ
Справочное
ЗНАЧЕНИЕ КОЭФФИЦИЕНТА ДЛЯ НАИБОЛЕЕ ПРИМЕНИТЕЛЬНЫХ
УВЕЛИЧЕНИЙ
Увеличение (линейное) | |
10 | 0,02 |
25 | 0,125 |
50 | 0,500 |
75 | 1,125 |
100 | 2,00 |
150 | 4,50 |
200 | 8,00 |
250 | 12,5 |
300 | 18,0 |
500 | 50,0 |
750 | 112,5 |
1000 | 200,0 |
Электронный текст документа подготовлен
АО "КОДЕКС" и сверен по:
официальное издание
Цветные металлы. Методы анализа.
Общие требования: Сборник ГОСТов. -
М.: ИПК Издательство стандартов, 2002
Разместите заказ
сами сделают вам предложение
