ГОСТы сталей. ГОСТ 11930.9-79
ГОСТ 11930.9-79
Группа В09
МЕЖГОСУДАРСТВЕННЫЙ СТАНДАРТ
МАТЕРИАЛЫ НАПЛАВОЧНЫЕ
Методы определения бора
Hard-facing materials. Methods of boron determination
МКС 25.160.20
ОКСТУ 1709
Дата введения 1980-07-01
Постановлением Государственного комитета СССР по стандартам от 21 марта 1979 г. N 982 дата введения установлена 01.07.80
Ограничение срока действия снято по протоколу N 4-93 Межгосударственного совета по стандартизации, метрологии и сертификации (ИУС 4-94)
ИЗДАНИЕ (август 2011 г.) с Изменениями N 1, 2, утвержденными в декабре 1984 г., декабре 1989 г. (ИУС 3-85, 3-90)
Настоящий стандарт устанавливает объемный метод определения бора (при массовой доле бора от 0,7 до 17%) и фотоколориметрический метод определения бора (при массовой доле бора от 0,02 до 0,2%).
1. ОБЩИЕ ТРЕБОВАНИЯ
1. ОБЩИЕ ТРЕБОВАНИЯ
1.1. Общие требования к методам анализа - по ГОСТ 11930.0-79.
2. ОБЪЕМНЫЙ МЕТОД ОПРЕДЕЛЕНИЯ БОРА
2.1. Сущность метода
Метод предназначен для анализа порошков из сплавов для наплавки, смесей порошков для наплавки и борида хрома.
Метод основан на образовании борной кислоты и ее титровании раствором щелочи в присутствии маннита.
2.2. Аппаратура, реактивы и растворы
Весы аналитические ВЛА-200М, АДВ-200 или любого другого типа, обеспечивающие взвешивание с погрешностью не более 0,0002 г.
Иономер ЭВ-74 или другой прибор с пределом погрешности ±0,05 рН.
Электрод стеклянный типа ЭСЛ-41 Г-05.
Электрод хлоросеребряный ЭВЛ-1.
Магнитная мешалка.
Бюретка стеклянная по ГОСТ 1770-74.
Барий гидроокись 8-водный по ГОСТ 4108-72 с массовой долей 5%.
Кислота соляная по ГОСТ 3118-77, разбавленная 1:1.
Кислота серная по ГОСТ 4204-77, разбавленная 1:4.
Кислота азотная по ГОСТ 4461-77.
Натрий сернокислый пиро по ТУ 6-09-5404-88*.
________________
* Документ в информационных продуктах не содержится. За информацией о документе Вы можете обратиться в Службу поддержки пользователей. - Примечание изготовителя базы данных.
Кислота борная по ГОСТ 9656-75 свежеперекристаллизированная.
Натрия гидроокись по ГОСТ 4328-77, с массовой долей 20,10% и 0,1 М (фиксанал).
При отсутствии фиксанала 0,1 М раствор натрия гидроокиси готовят следующим образом: 4 г гидроокиси натрия в 1 дм дистиллированной воды, добавляют 3 см
раствора гидроокиси бария с массовой долей 5%, перемешивают и дают отстояться осадку в течение суток. Раствор хранят в закрытой полиэтиленовой посуде.
Массовую концентрацию раствора гидроокиси натрия устанавливают по борному ангидриду следующим образом: перекристаллизированную борную кислоту прокаливают в платиновой чашке или тигле сначала при температуре 200-250 °С, затем при 800-850 °С в течение 30-40 мин до постоянной массы. Навеску образовавшегося борного ангидрида массой 3,48 г осторожно растворяют в воде при нагревании и переливают раствор в мерную колбу вместимостью 1 дм, разбавляют свежепрокипяченной водой до метки и перемешивают.
Отбирают 10 см стандартного раствора борного ангидрида в стакан вместимостью 200 см
, приливают 150 см
прокипяченной воды, устанавливают 0,1 М раствора гидроокиси натрия значение рН - 6,9. Приливают раствор инвертного сахара или маннита и титруют 0,1 М раствором гидроокиси натрия до возвращения стрелки гальванометра до значения рН - 6,9.
Массовую концентрацию 0,1 М раствора гидроокиси натрия по бору вычисляют по формуле
,
где - количество раствора гидроокиси натрия, израсходованное на титрование, см
;
0,31057 - коэффициент пересчета борного ангидрида на бор.
Конго красный или бумага Конго. Приготовление раствора конго красный: растворяют 0,1 г индикатора в 100 см воды.
Метиловый красный с массовой долей 0,1%: 0,2 г индикатора растворяют в смеси 60 м этилового спирта и 40 м
воды.
Маннит по ТУ 6-09-5484-90 или сахароза по ГОСТ 5833-75. Приготовление раствора сахарозы: растворяют 600 г сахарозы в 200 см свежепрокипяченной воды при осторожном нагревании и перемешивании до полного просветления раствора. Горячий раствор фильтруют через стеклянный фильтр, нагревают почти до кипения и прибавляют 5 см
3 М серной кислоты, 1-2 мин сильно взбалтывают, приливают 300 см
воды, в которую добавляют 5 см
3 М гидроокиси натрия, свободного от карбонатов. Раствор хорошо перемешивают и по охлаждении проверяют реакцию по метиловому красному. Реакция должна быть нейтральной; раствор содержит 55% инвертного сахара.
Бария гидроокись 8-водная по ГОСТ 4107-78 с массовой долей 5%.
Спирт этиловый ректификованный технический по ГОСТ 18300-87.
(Измененная редакция, Изм. N 2).
2.3. Проведение анализа
2.3.1. Навеску массой в соответствии с табл.1 помещают в коническую колбу с обратным холодильником и растворяют в 40 см серной кислоты, разбавленной 1:4, или в 40 см
соляной кислоты, разбавленной 1:1. Затем приливают 2 см
азотной кислоты.
Таблица 1
Массовая доля бора, % | Масса навески, г | ||||
От | 0,7 | до | 4 | 0,5 | |
Св. | 7 | " | 9 | 0,2 | |
" | 9 | " | 17 | 0,1 | |
Если навеска полностью не растворилась, то раствор фильтруют, промывают водой фильтр (фильтрат и промывные воды сохраняют) и сплавляют навеску с пиросернокислым натрием при 650-700 °С. Плав выщелачивают водой и присоединяют к фильтрату. Анализируемый раствор нейтрализуют раствором с массовой долей 20% гидроокиси натрия по конго и переносят в мерную колбу вместимостью 250 см, содержащую 25-30 см
горячего раствора гидроокиси натрия. Охлажденный раствор разбавляют водой до метки и перемешивают. Содержимое колбы отфильтровывают в сухой стакан и отбирают 150-200 см
раствора для определения содержания бора. К раствору добавляют соляную кислоту, разбавленную 1:1, до перехода окраски индикатора метилового красного из желтой в красную и еще 1 см
в избыток. Для удаления углекислого газа раствор кипятят 10 мин, быстро охлаждают и нейтрализуют раствором с массовой долей 10%, а затем по рН-метру 0,1 М раствором гидроокиси натрия, устанавливая рН 6,9. К раствору добавляют маннит (на 0,01 г бора расходуется 10 г маннита) и начинают титровать борную кислоту 0,1 М раствором гидроокиси натрия до возвращения рН раствора к рН 6,9. Прибавляют еще маннит и, если рН раствора остается равным 6,9, то титрование считают законченным.
Одновременно через все стадии анализа проводят контрольный опыт на содержание бора в реактивах.
2.4. Обработка результатов
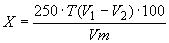
2.4.1. Массовую долю бора () в процентах вычисляют по формуле
,
где - массовая концентрация 0,1 М раствора гидроокиси натрия, выраженная в г/см
бора;
- аликвотная часть анализируемого раствора, см
;
- объем 0,1 М раствора гидроокиси натрия, затраченный на титрование бора, см
;
- объем 0,1 М раствора гидроокиси натрия, затраченный на титрование раствора контрольного опыта, см
;
- масса навески, г.
2.4.2. Разность наибольшего и наименьшего результатов трех параллельных определений и двух результатов анализа при доверительной вероятности 0,95 не должна превышать значений допускаемых расхождений, приведенных в табл.2.
Таблица 2
Массовая доля бора, % | Допускаемые расхождения | Допускаемые расхождения результатов анализа, % | ||||
От | 0,70 | до | 1,00 | включ. | 0,05 | 0,10 |
Св. | 1,00 | " | 4,00 | " | 0,10 | 0,15 |
" | 4,00 | " | 17,00 | " | 0,15 | 0,20 |
2.4.1, 2.4.2. (Измененная редакция, Изм. N 2).
3. ФОТОКОЛОРИМЕТРИЧЕСКИЙ МЕТОД ОПРЕДЕЛЕНИЯ БОРА
3.1. Сущность метода
Метод предназначен для анализа прутков для наплавки.
Метод основан на образовании в сернокислой среде окрашенного внутрикомплексного соединения борной кислоты с кармином.
3.2. Аппаратура, реактивы и растворы
Фотоэлектроколориметры марок ФЭК-56, ФЭК-56М или любого другого типа.
Кислота серная по ГОСТ 4204-77, раствор с массовой долей 20% и разбавленная 1:4.
Кислота азотная по ГОСТ 4461-77.
Натрий углекислый по ГОСТ 83-79, раствор с массовой долей 30%.
Кислота ортофосфорная по ГОСТ 6552-80.
Кислота карминовая, раствор с массовой долей 0,01%; готовят растворением реактива в концентрированной серной кислоте.
Борная кислота по ГОСТ 9656-75, стандартный раствор бора; готовят следующим образом: 0,1425 г борной кислоты растворяют в 1000 см раствора с массовой долей 20% серной кислоты.
1 см раствора содержит 0,000025 г бора.
3.3. Проведение анализа
3.3.1. Навеску массой 0,3 г растворяют в 10 см серной кислоты, разбавленной 1:4, с последующим добавлением 0,5 см
азотной кислоты. Растворение проводят в конической колбе с обратным холодильником в течение 1,5-2 ч. После разложения пробы колбы снимают, охлаждают и промывают холодильник небольшим количеством воды.
Раствор в колбе нейтрализуют по конго раствором углекислого натрия и вводят в избыток 2-2,5 см. Содержимое колбы нагревают до кипения, переливают в мерную колбу вместимостью 50 см
, разбавляют до метки водой и перемешивают. Часть раствора отфильтровывают в сухой стакан через сухой фильтр и для определения бора отбирают аликвотную часть 2-5 см
анализируемого раствора в стакан вместимостью 50 см
. Содержимое стакана выпаривают досуха, затем приливают 0,5 см
ортофосфорной кислоты, 20 см
карминовой кислоты и 4,5 см
раствора с массовой долей 20% серной кислоты, хорошо перемешивают и оставляют для образования устойчивого окрашенного комплексного соединения. Через 30 мин оптическую плотность окрашенных растворов измеряют на фотоэлектроколориметре с желтым светофильтром (
582 нм) в кювете с толщиной поглощающего слоя 50 мм.
Содержание бора в граммах находят по градуировочному графику.
Одновременно проводят три контрольных опыта на определение содержания бора в реактивах. Раствор контрольного опыта используют в качестве раствора сравнения.
3.1-3.3. (Измененная редакция, Изм. N 2).
3.3.2. Построение градуировочного графика
В стакан приливают по 0,5 см раствора ортофосфорной кислоты и от 0,2 до 1 см
стандартного раствора борной кислоты с интервалом 0,2 см
и далее анализ ведут, как указано в п.3.3.1.
3.4. Обработка результатов
3.4.1. Массовую долю бора () в процентах вычисляют по формуле
,
где - масса бора, найденная по градуировочному графику, г;
- аликвотная часть анализируемого раствора, см
;
- масса навески, г.
3.4.2. Разность наибольшего и наименьшего результатов трех параллельных определений и двух результатов анализа при доверительной вероятности 0,95 не должна превышать значений допускаемых расхождений, приведенных в табл.3.
Таблица 3
Массовая доля бора, % | Допускаемые расхождения трех параллельных определений, % | Допускаемые расхождения результатов анализа, % | ||||
От | 0,020 | до | 0,100 | включ. | 0,003 | 0,005 |
Св. | 0,100 | " | 0,200 | " | 0,020 | 0,030 |
(Измененная редакция, Изм. N 2).
Электронный текст документа
подготовлен ЗАО "Кодекс" и сверен по:
официальное издание
Сварка, пайка и термическая резка
металлов. Часть 8. Материалы
наплавочные: Сб. ГОСТов. -
М.: Стандартинформ, 2011
Разместите заказ
сами сделают вам предложение
