ГОСТы сталей. ГОСТ 11930.4-79
ГОСТ 11930.4-79
Группа В09
МЕЖГОСУДАРСТВЕННЫЙ СТАНДАРТ
МАТЕРИАЛЫ НАПЛАВОЧНЫЕ
Метод определения хрома
Hard-facing materials. Method of chromium determination
МКС 25.160.20
ОКСТУ 1709
Дата введения 1980-07-01
Постановлением Государственного комитета СССР по стандартам от 21 марта 1979 г. N 982 дата введения установлена 01.07.80
Ограничение срока действия снято по протоколу N 4-93 Межгосударственного совета по стандартизации, метрологии и сертификации (ИУС 4-94)
ВЗАМЕН ГОСТ 11930-66 в части разд.2
ИЗДАНИЕ (август 2011 г.) с Изменениями N 1, 2, утвержденными в декабре 1984 г., декабре 1989 г. (ИУС 3-85, 3-90)
Настоящий стандарт устанавливает объемный метод определения хрома (при массовой доле хрома от 5 до 88%) в наплавочных материалах.
Метод основан на окислении хрома до шестивалентного персульфатом аммония в присутствии нитрата серебра в качестве катализатора. Определение хрома заканчивают титрованием раствора шестивалентного хрома раствором соли Мора в присутствии индикатора.
(Измененная редакция, Изм. N 2).
1. ОБЩИЕ ТРЕБОВАНИЯ
1. ОБЩИЕ ТРЕБОВАНИЯ
1.1. Общие требования к методу анализа - по ГОСТ 11930.0-79.
2. РЕАКТИВЫ И РАСТВОРЫ
Кислота серная по ГОСТ 4204-77, разбавленная 1:4.
Аммоний надсернокислый по ГОСТ 20478-75.
Кислота ортофосфорная по ГОСТ 6552-80.
Кислота азотная по ГОСТ 4461-77.
Натрия перекись.
Натрий хлористый по ГОСТ 4233-77.
Натрий углекислый по ГОСТ 84-76, раствор с массовой долей 0,2%.
Серебро азотнокислое по ГОСТ 1277-75, раствор с массовой долей 0,5%.
Соль закиси железа и аммония двойная сернокислая (соль Мора) по ГОСТ 4208-72, 0,1 н. раствор. Титр раствора соли Мора устанавливают по 0,1 н. раствору калия двухромовокислого.
Калий двухромовокислый, 0,1 н. раствор; готовят из фиксанала.
Фенилантраниловая кислота, раствор с массовой долей 0,2%; готовят растворением в растворе с массовой долей 0,2% углекислого натрия.
(Измененная редакция, Изм. N 2).
3. ПРОВЕДЕНИЕ АНАЛИЗА
3.1. Хром в сплавах, не содержащих ванадия, определяют в фильтрате, полученном после определения кремния по ГОСТ 11930.3-79.
Из мерной колбы вместимостью 200 см отбирают 50 см
анализируемого раствора в коническую колбу вместимостью 250-300 см
, приливают 15 см
серной кислоты, разбавленной 1:4, и 2 см
ортофосфорной кислоты. Для окисления хрома вводят 2 см
раствора с массовой долей 0,5% нитрата серебра, 1-2 г персульфата аммония.
Раствор в колбе разбавляют водой до 150 см и кипятят приблизительно 10 мин.
Для материалов, содержащих марганец, добавляют еще 1 г персульфата аммония, если раствор не окрасился в малиновый цвет, и вновь кипятят 5-10 мин. Затем колбу снимают с плитки, добавляют 1-2 г хлорида натрия до перехода окраски раствора в желтый цвет и снова кипятят 5 мин для удаления хлора. После охлаждения раствора хром титруют раствором соли Мора в присутствии 0,5 см раствора с массовой долей 0,2% фенилантраниловой кислоты до перехода окраски из малиновой в зеленую.
3.2. Для смесей марок порошков для наплавки и борида хрома навеску массой 0,1 г растворяют в 50 см серной кислоты, разбавленной 1:4, приливают 2 см
азотной кислоты и выпаривают раствор дважды до слабых паров серной кислоты. Если навеска полностью не растворяется, то раствор фильтруют (фильтрат сохраняют) и досплавляют нерастворившуюся часть навески с углекислым натрием при 900-950 °С. Плав выщелачивают водой, подкисленной серной кислотой, и присоединяют к фильтрату. Анализируемый раствор переливают в мерную колбу вместимостью 200 см
, разбавляют водой до метки и перемешивают.
Для определения хрома отбирают 50 см анализируемого раствора в коническую колбу вместимостью 250-300 см
и приливают 3 см
серной кислоты, 2 см
ортофосфорной кислоты, разбавляют водой до 150 см
, вводят 2 см
раствора с массовой долей 0,5% азотнокислого серебра, 2-3 г надсернокислого аммония и кипятят до полного его разрушения. Охлажденный раствор титруют, как указано в п.3.1.
3.1, 3.2. (Измененная редакция, Изм. N 2).
3.3. Для карбида хрома навеску массой 0,1 г сплавляют в железном, никелевом или стеклоуглеродном тигле с 5-8 г смеси углекислого натрия и перекиси натрия (1:2) при 600-650 °С в течение 15 мин. После охлаждения плав выщелачивают водой и переносят в мерную колбу вместимостью 200 см. Для определения хрома часть раствора фильтруют в сухой стакан. Отбирают 50 см
анализируемого раствора, нейтрализуют серной кислотой и приливают 5 см
концентрированной серной кислоты. Раствор выпаривают до паров серной кислоты, приливают 2 см
ортофосфорной кислоты, разбавляют водой до 120-150 см
и далее анализ ведут, как указано в п.3.1.
(Измененная редакция, Изм. N 1).
4. ОБРАБОТКА РЕЗУЛЬТАТОВ
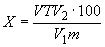
4.1. Массовую долю хрома () в процентах вычисляют по формуле
,
где - объем соли Мора, израсходованный на титрование хрома, см
;
- массовая концентрация раствора соли Мора, выраженная в г/см
хрома;
- объем анализируемого раствора, см
;
- аликвотная часть анализируемого раствора, см
;
- масса навески, г.
4.2. Разность наибольшего и наименьшего результатов трех параллельных определений и двух результатов анализа при доверительной вероятности 0,95 не должна превышать допускаемых расхождений, приведенных в таблице.
Массовая доля хрома, % | Допускаемые расхождения трех параллельных определений, % | Допускаемые расхождения результатов анализа, % | ||||
От | 5,00 | до | 20,00 | включ. | 0,15 | 0,20 |
Св. | 20,00 | " | 40,00 | " | 0,30 | 0,40 |
" | 40,00 | " | 88,00 | " | 0,50 | 0,75 |
4.1, 4.2. (Измененная редакция, Изм. N 2).
Электронный текст документа
подготовлен АО "Кодекс" и сверен по:
официальное издание
Сварка, пайка и термическая резка
металлов. Часть 8. Материалы
наплавочные: Сб. ГОСТов. -
М.: Стандартинформ, 2011
Разместите заказ
сами сделают вам предложение
