ГОСТы сталей. ГОСТ 11930.3-79
ГОСТ 11930.3-79
Группа В09
МЕЖГОСУДАРСТВЕННЫЙ СТАНДАРТ
МАТЕРИАЛЫ НАПЛАВОЧНЫЕ
Метод определения кремния
Hard-facing materials. Method of silicon determination
МКС 25.160.20
ОКСТУ 1709
Дата введения 1980-07-01
Постановлением Государственного комитета СССР по стандартам от 21 марта 1979 г. N 982 дата введения установлена 01.07.80
Ограничение срока действия снято по протоколу N 4-93 Межгосударственного совета по стандартизации, метрологии и сертификации (ИУС 4-94)
ВЗАМЕН ГОСТ 11930-66 в части разд.4
ИЗДАНИЕ (август 2011 г.) с Изменениями N 1, 2, утвержденными в декабре 1984 г., декабре 1989 г. (ИУС 3-85, 3-90)
Настоящий стандарт устанавливает весовой метод определения кремния (при массовой доле кремния от 0,2 до 10%) в наплавочных материалах.
Метод основан на способности кремния в результате кислого гидролиза выделяться в осадок в виде малорастворимой кремниевой кислоты. Полученный осадок прокаливают и обрабатывают плавиковой кислотой в присутствии небольшого количества серной кислоты. В этих условиях кремний образует летучие соединения фторида кремния.
(Измененная редакция, Изм. N 2).
1. ОБЩИЕ ТРЕБОВАНИЯ
1. ОБЩИЕ ТРЕБОВАНИЯ
Общие требования к методу анализа - по ГОСТ 11930.0-79.
2. АППАРАТУРА, РЕАКТИВЫ И РАСТВОРЫ
Аналитические весы типов ВЛА-200М, АДВ-200 или любого другого типа, обеспечивающие взвешивание с погрешностью не более 0,0002 г.
Тигли платиновые N 7 по ГОСТ 6563-75.
Тигли железные, никелевые или стеклоуглеродные.
Кислота серная по ГОСТ 4204-77, разбавленная 1:4 и 1:99.
Кислота соляная по ГОСТ 3118-77, разбавленная 1:1.
Кислота азотная по ГОСТ 4461-77.
Кислота фтористоводородная по ГОСТ 10484-78.
Натрий углекислый по ГОСТ 83-79.
Натрий пиросернокислый или калий перонокислый по ГОСТ 7172-76.
Натрия перекись.
(Измененная редакция, Изм. N 2).
3. ПРОВЕДЕНИЕ АНАЛИЗА
3.1. Для порошков на основе никеля
Навеску сплава массой 0,2 г помещают в стакан вместимостью 200-300 см и растворяют в 40 см
соляной кислоты. После растворения основной части навески приливают 10 см
серной кислоты и раствор дважды упаривают водой до 70-100 см
, нагревают до 70-80 °С и фильтруют на фильтре средней плотности, содержащей небольшое количество фильтробумажной массы. Осадок и стакан промывают 5-8 раз теплой серной кислотой (60-70 °С), разбавленной 1:99, и три раза дистиллированной водой.
Фильтрат и промывные воды сохраняют.
Промытый осадок на фильтре помещают в платиновый тигель, подсушивают, осторожно озоляют и прокаливают при температуре 1000-1100 °С до постоянной массы. Взвешенный осадок обрабатывают фтористоводородной и серной кислотами. Для этого приливают в платиновый тигель 2-3 капли серной кислоты, 3-5 см фтористоводородной кислоты, осторожно выпаривают досуха, затем прокаливают при температуре 1000-1100 °С до постоянной массы.
Одновременно через все стадии анализа проводят контрольный опыт на загрязнение реактивов кремнием. Если после отгонки кремния в тигле остается осадок, то его досплавляют с углекислым натрием при 900-950 °С или пиросернокислым натрием при 650-700 °С. Плав выщелачивают в фильтрате, полученном после отделения кремния, переводят в мерную колбу вместимостью 200 см, разбавляют водой до метки и перемешивают.
Раствор сохраняют для определения хрома, марганца, никеля, железа и фосфора.
(Измененная редакция, Изм. N 1, 2).
3.2. Для прутков для наплавки и порошков из сплавов для наплавки
Навеску пробы массой, приведенной в табл.1, помещают в стакан вместимостью 200-300 см и растворяют при нагревании в 50 см
серной кислоты, разбавленной 1:4. После растворения основной части навески приливают 1 см
азотной кислоты и раствор дважды выпаривают до слабых паров серного ангидрида. Раствор разбавляют дистиллированной водой и далее анализ ведут, как указано в п.3.1.
Примечание. Для сплавов, содержащих вольфрам, осадок прокаливают при 750-800 °С.
Таблица 1
Массовая доля кремния, % | Навеска | H | ||||
От | 0,2 | до | 2 | включ. | 0,5 | 60 |
Св. | 2 | " | 3 | " | 0,3 | 50 |
" | 3 | " | 4,5 | " | 0,2 | 40 |
" | 4,5 | " | 6 | " | 0,1 | 40 |
" | 6 | " | 10 | " | 0,1 | 40 |
(Измененная редакция, Изм. N 2).
3.3. (Исключен, Изм. N 2).
4. ОБРАБОТКА РЕЗУЛЬТАТОВ
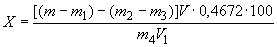
4.1. Массовую долю кремния () в процентах вычисляют по формуле
,
где - масса тигля с осадком двуокиси кремния до обработки фтористоводородной кислотой, г;
- масса тигля с осадком после обработки фтористоводородной кислотой, г;
- масса тигля с осадком, полученным в контрольном опыте, до обработки фтористоводородной кислотой, г;
- масса тигля с осадком, полученным в контрольном опыте, после обработки фтористоводородной кислотой, г;
- разбавление анализируемого раствора, см
;
- аликвотная часть анализируемого раствора, см
;
- масса навески, г;
0,4672 - коэффициент пересчета двуокиси кремния на кремний.
4.2. Разность наибольшего и наименьшего результатов трех параллельных определений и двух результатов анализа при доверительной вероятности 0,95 не должна превышать значений допускаемых расхождений, приведенных в табл.2.
Таблица 2
Массовая доля кремния, % | Допускаемые расхождения трех параллельных определений, % | Допускаемые расхождения результатов анализа, % | ||||
От | 0,20 | до | 1,00 | включ. | 0,05 | 0,10 |
Св. | 1,00 | " | 2,00 | " | 0,10 | 0,15 |
" | 2,00 | " | 4,50 | " | 0,15 | 0,20 |
" | 4,50 | " | 10,00 | " | 0,20 | 0,30 |
(Измененная редакция, Изм. N 2).
Электронный текст документа
подготовлен АО "Кодекс" и сверен по:
официальное издание
Сварка, пайка и термическая резка
металлов. Часть 8. Материалы
наплавочные: Сб. ГОСТов. -
М.: Стандартинформ, 2011
Разместите заказ
сами сделают вам предложение
