ГОСТы сталей. ГОСТ 11930.12-79
ГОСТ 11930.12-79
Группа В09
МЕЖГОСУДАРСТВЕННЫЙ СТАНДАРТ
МАТЕРИАЛЫ НАПЛАВОЧНЫЕ
Метод определения сурьмы
Hard-facing materials. Method of antimony determination
МКС 25.160.20
ОКСТУ 1709
Дата введения 1980-07-01
Постановлением Государственного комитета СССР по стандартам от 21 марта 1979 г. N 982 дата введения установлена 01.07.80
Ограничение срока действия снято по протоколу N 4-93 Межгосударственного совета по стандартизации, метрологии и сертификации (ИУС 4-94)
ИЗДАНИЕ (август 2011 г.) с Изменениями N 1, 2, утвержденными в декабре 1984 г., декабре 1989 г. (ИУС 3-85, 3-90)
Настоящий стандарт устанавливает фотоколориметрический метод определения сурьмы (при массовой доле сурьмы от 0,01 до 0,2%) в прутках для наплавки.
Метод основан на образовании окрашенного комплексного соединения пятивалентной сурьмы с метиловым фиолетовым и экстракции последнего толуолом.
(Измененная редакция, Изм. N 2).
1. ОБЩИЕ ТРЕБОВАНИЯ
1. ОБЩИЕ ТРЕБОВАНИЯ
1.1. Общие требования к методу анализа - по ГОСТ 11930.0-79.
2. АППАРАТУРА, РЕАКТИВЫ И РАСТВОРЫ
Фотоэлектроколориметр марок ФЭК-56М и ФЭК-56 или любого типа.
Кислота серная по ГОСТ 4204-77, разбавленная 1:4.
Кислота азотная по ГОСТ 4461-77.
Кислота соляная по ГОСТ 3118-77, разбавленная 1:1.
Натрий азотистокислый по ГОСТ 4168-79, раствор с массовой долей 10%.
Мочевина по ГОСТ 6691-77; готовят следующим образом: 100 г растворяют в 100 см горячей воды.
Метиловый фиолетовый; готовят следующим образом: 0,2 г растворяют в 100 см горячей воды и фильтруют.
Толуол по ГОСТ 5789-78.
Сурьма по ГОСТ 1089-82.
Раствор сурьмы стандартный; готовят следующим образом: 0,05 г металлической сурьмы растворяют в 25 см концентрированной серной кислоты. Раствор переливают в мерную колбу вместимостью 500 см
, доливают 25 см
концентрированной серной кислоты, затем доливают водой до метки и перемешивают.
Для приготовления рабочего раствора стандартный раствор сурьмы разбавляют в 10 раз.
1 см раствора содержит 0,00001 г сурьмы.
3. ПРОВЕДЕНИЕ АНАЛИЗА
3.1. Масса навески, вместимость мерной колбы и аликвотная часть раствора в зависимости от массовой доли сурьмы должны соответствовать табл.1.
Таблица 1
Массовая доля сурьмы, % | Масса навески, г | Вместимость мерной колбы, см | Объем аликвотной части, см |
0,01-0,02 | 0,3 | - | - |
0,03-0,07 | 0,1 | - | - |
0,08-0,2 | 0,2 | 50 | 10 |
Навеску помещают в стакан вместимостью 100 см и растворяют в 20 см
серной кислоты, разбавленной 1:4, с последующим добавлением 1 см
азотной кислоты. Раствор выпаривают дважды до паров серного ангидрида. В стакан приливают 10 см
соляной кислоты, разбавленной 1:1, переносят содержимое стакана в делительную воронку, ополаскивают стакан небольшим количеством воды так, чтобы объем раствора в делительной воронке был не более 25 см
. Затем вводят 1 см
раствора азотистокислого натрия, взбалтывают раствор в течение 2 мин и оставляют его на 3 мин не более, для окисления сурьмы.
В делительную воронку приливают 0,5 см раствора мочевины, хорошо взбалтывают (без пробки) раствор не более 30 с, быстро добавляют 40 см
воды, 0,25 см
метилового фиолетового, быстро перемешивают (закрыв пробкой) три раза и тотчас же вливают 25 см
толуола и снова тщательно встряхивают в течение 2 мин.
После разделения слоев водный слой сливают и отбрасывают, а окрашенный экстракт переводят в кювету с толщиной поглощающего слоя 30 мм. Слою толуола дают еще постоять 5 мин для окончательного отделения капелек воды и измеряют оптическую плотность окрашенного раствора на фотоколориметре с зеленым светофильтром (540 нм).
Все операции после приливания нитрита натрия должны выполняться быстро.
3.2. Построение градуировочного графика
В делительную воронку помещают стандартный раствор сурьмы в количестве от 2 до 8 см с интервалом 1 см
, 10 см
соляной кислоты, разбавленной 1:1, затем приливают 1 см
раствора азотистокислого натрия и далее анализ ведут, как указано в п.3.1.
4. ОБРАБОТКА РЕЗУЛЬТАТОВ
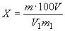
4.1. Массовую долю сурьмы () в процентах вычисляют по формуле
,
где - масса сурьмы, найденная по градуировочному графику, г;
- масса навески, г;
- объем анализируемого раствора, см
;
- аликвотная часть анализируемого раствора, см
.
4.2. Разность наибольшего и наименьшего результатов трех параллельных определений и двух результатов анализа при доверительной вероятности 0,95 не должна превышать значений допускаемых расхождений, приведенных в табл.2.
Таблица 2
Массовая доля сурьмы, % | Допускаемые расхождения трех параллельных определений, % | Допускаемые расхождения результатов анализа, % | ||||
От | 0,010 | до | 0,100 | включ. | 0,002 | 0,004 |
Св. | 0,100 | " | 0,200 | " | 0,005 | 0,010 |
(Измененная редакция, Изм. N 2).
Электронный текст документа
подготовлен ЗАО "Кодекс" и сверен по:
официальное издание
Сварка, пайка и термическая резка
металлов. Часть 8. Материалы
наплавочные: Сб. ГОСТов. -
М.: Стандартинформ, 2011
Разместите заказ
сами сделают вам предложение
