ГОСТы сталей. ГОСТ 11930.1-79
ГОСТ 11930.1-79
Группа В09
МЕЖГОСУДАРСТВЕННЫЙ СТАНДАРТ
МАТЕРИАЛЫ НАПЛАВОЧНЫЕ
Методы определения углерода
Hard-facing materials. Methods of carbon determination
МКС 25.160.20
ОКСТУ 1709
Дата введения 1980-07-01
Постановлением Государственного комитета стандартов Совета Министров СССР от 21 марта 1979 г. N 982 дата введения установлена 01.07.80
Ограничение срока действия снято по протоколу N 4-93 Межгосударственного совета по стандартизации, метрологии и сертификации (ИУС 4-94)
ВЗАМЕН ГОСТ 11930-66 в части разд.8
ИЗДАНИЕ (август 2011 г.) с Изменениями N 1, 2, утвержденными в декабре 1984 г., декабре 1989 г. (ИУС 3-85, 3-90)
Настоящий стандарт устанавливает газообъемный (при массовой доле углерода от 0,1 до 30%), потенциометрический (при массовой доле углерода от 0,010 до 7,00%), кулонометрический (при массовой доле углерода от 0,01 до 7,00%) методы определения углерода в наплавочных материалах.
1. ОБЩИЕ ТРЕБОВАНИЯ
1. ОБЩИЕ ТРЕБОВАНИЯ
1.1. Общие требования к методам анализа - по ГОСТ 11930.0-79.
2. ГАЗООБЪЕМНЫЙ МЕТОД ОПРЕДЕЛЕНИЯ УГЛЕРОДА
2.1. Сущность метода
Метод основан на сжигании анализируемого образца в токе кислорода при 1250-1350 °С с последующим поглощением двуокиси углерода раствором гидроокиси калия.
Содержание углерода определяют по разности между первоначальным объемом смеси газов (СO+О
) и объемом газа, полученного после поглощения двуокиси углерода раствором гидроокиси калия.
(Измененная редакция, Изм. N 2).
Черт.1. Установка для определения углерода
Установка для определения углерода (черт.1)

Черт.1
2.2. Аппаратура, реактивы и растворы
Установка состоит из следующих элементов: баллона 1 с кислородом (ГОСТ 5583-78), снабженного редукционным вентилем; ротаметра 2 типа РС-ЗА; склянки с тубусом 3 вместимостью 250-400 см, заполненной аскаритом; печи сопротивления 4 с селитовыми нагревателями, обеспечивающей рабочую температуру 1400±20 °С; пылевого фильтра 5, представляющего собой стеклянную трубку с шаровидным утолщением, заполненным ватой; стеклянной трубки 6, заполненной гранулированной двуокисью марганца; газообъемного анализатора 7 типа ГОУ-1 с эвдиометром на 4,5%.
Калия гидроокись.
Метиловый оранжевый.
Лодочки фарфоровые ЛС N 2 по ГОСТ 9147-80.
Трубки огнеупорные муллито-кремнеземистые по нормативно-технической документации.
Марганец сернокислый по ГОСТ 435-77.
Гранулированная двуокись марганца: 200 г сернокислого марганца растворяют в 2500 см горячей воды, затем в раствор прибавляют 25 см
аммиака, добавляют 1000 см
22,5%-ного раствора надсернокислого аммония и смесь кипятят в течение 10 мин. Во время кипения прибавляют аммиак до щелочной реакции, после чего раствор выдерживают до полного выделения осадка двуокиси марганца. Осадок отфильтровывают, промывают и сушат при 110 °С.
Аммиак по ГОСТ 3760-79.
Аммоний надсернокислый по ГОСТ 20478-75, 22,5%-ный раствор.
Медь (II окись проволока) ч.д.а.
Спирт этиловый ректификованный технический по ГОСТ 18300-87.
Стандартный образец.
(Измененная редакция, Изм. N 1, 2).
2.3. Подготовка к анализу
Перед началом работы установку проверяют на герметичность.
Устанавливают расход кислорода не более 300 см/мин.
Для проверки правильности работы прибора необходимо провести сжигание нескольких навесок стандартного образца.
Допускается использовать стандартные образцы категории ОСО и СОП, в которых аттестованная массовая доля компонента не отличается от анализируемого более чем в два раза.
Лодочки прокаливают в токе кислорода при 1300-1350 °С в течение 3 мин.
Анализируемые образцы очищают от загрязнений, промывая их спиртом из расчета 10 см на один образец, и сушат.
(Измененная редакция, Изм. N 1, 2).
2.4. Проведение анализа
Навеску анализируемого материала помещают в прокаленную лодочку и тщательно перемешивают с плавнем - окисью меди. Плавень берут в соотношении 1:3.
Лодочку загружают в трубку для сжигания со стороны поступления кислорода. Температура печи 1300-1350 °С.
Величина навески при различных содержаниях углерода указана в табл.2.
Таблица 2*
_________________
* Таблица 1. (Исключена, Изм. N 2).
Массовая доля углерода, % | Масса навески, г | |||
От | 0,1 | до | 2 | 0,500 |
Св. | 2 | " | 7 | 0,250 |
" | 7 | " | 30 | 0,100 |
2.5. Обработка результатов
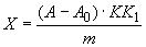
2.5.1. Массовую долю углерода () в процентах вычисляют по формуле
,
где - показания шкалы эвдиометра, соответствующие массовой доле углерода, %;
- показания шкалы эвдиометра, соответствующие контрольному опыту, %;
- поправочный коэффициент на температуру и атмосферное давление, найденный по таблице, прилагаемой к прибору;
- коэффициент выгорания стандартного образца, представляющий собой отношение процентного содержания углерода по свидетельству на стандартный образец к процентному содержанию, полученному по эвдиометру;
- масса навески образца, г.
2.5.2. Разность наибольшего и наименьшего результатов трех параллельных определений и двух результатов анализа при доверительной вероятности 0,95 не должна превышать значений допускаемых расхождений, приведенных в табл.3.
Таблица 3
Массовая доля углерода, % | Допускаемые расхождения, % | ||||
От | 0,10 | до | 0,50 | включ. | 0,05 |
Св. | 0,50 | " | 3,50 | " | 0,10 |
" | 3,50 | " | 7,00 | " | 0,25 |
" | 7,00 | " | 30,00 | " | 0,45 |
(Измененная редакция, Изм. N 2).
3. ПОТЕНЦИОМЕТРИЧЕСКИЙ МЕТОД ОПРЕДЕЛЕНИЯ УГЛЕРОДА
3.1. Сущность метода
Метод основан на сжигании анализируемого образца в токе кислорода при 1300-1350 °С с последующим поглощением образующейся двуокиси углерода раствором электролита.
Титрованием электролита раствором гидрата окиси бария рН доводится до первоначального значения рН 10.
(Измененная редакция, Изм. N 2).
3.2. Аппаратура, реактивы и растворы
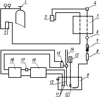
Установка состоит из следующих элементов (черт.2): баллона 1 с редукционным вентилем с кислородом (ГОСТ 5583-78); ротаметра 2 типа РС-3А; двухтрубчатой печи 5 с селитовыми нагревателями, обеспечивающей температуру до 1400±20 °С; склянки 3 с аскаритом; загрузочного затвора 4; пылевого фильтра 6; капиллярного дросселя 7; склянки 8, наполненной гранулированной двуокисью марганца; электролитической ячейки 9, в которую помещена мешалка 10 с электромотором 13; электродной системы 11; капельницы 12 для ввода в ячейку титранта; бюретки 14, вместимостью 10-25 см; магнитного клапана 15; нормального элемента 17; рН-метра 16 типа рН-340 или рН-121 и блока автоматического титрования 18.
Черт.2. Установка для определения содержания углерода
Установка для определения содержания углерода

Черт.2
Примечание. Вместо бюретки 14, магнитного клапана 15 можно использовать автоматическую бюретку - дозатор Б-701. Электролитическую ячейку 9 вместимостью 200 см можно заменить сосудом с пористым фильтром N 2 или 3 вместимостью 100 см
.
Известь натронная.
Лодочки фарфоровые ЛС N 2 по ГОСТ 9147-80.
Калий хлористый по ГОСТ 4234-77, насыщенный раствор.
Медь (II окись проволока) ч.д.а.
Барий хлористый по ГОСТ 4108-72, раствор электролита готовят следующим образом: 10 г хлористого бария растворяют в 1000 см дистиллированной воды и к полученному раствору приливают 10 см
этилового спирта.
Бария гидрат окиси по ГОСТ 4107-78, насыщенный раствор; готовят следующим образом: гидрат окиси бария растворяют в дистиллированной воде (предварительно прокипяченной в течение 2 ч и охлажденной до комнатной температуры). Полученный раствор разбавляют в 10 раз.
Раствор хранят в бутылях, снабженных трубками с натронной известью. Массовую концентрацию раствора гидрата окиси бария устанавливают по стандартному образцу.
Трубки фарфоровые внутренним диаметром 20-21 мм.
Спирт этиловый ректификованный технический по ГОСТ 18300-87.
3.3. Подготовка к анализу
Настраивают рН-метр и БАТ. Электродную систему настраивают по буферному раствору рН 9,18-9,22 (фиксанал 0,01 моль/дм раствора тетраборнокислого калия). К выходу рН-метра 0-2 подключается блок автоматического титрования через последовательно включенный нормальный элемент.
Лодочки прокаливают в токе кислорода при 1300-1350 °С в течение 3 мин.
Электролитическую ячейку заполняют электролитом в количестве 300-400 см и соединяют ее с выходом кислорода из фарфоровой трубки, в которой сжигают пробу.
Устанавливают расход кислорода 700 см/мин. Включают БАТ на титрование и доводят рН до 10.
Сжигают стандартный образец.
3.1-3.3. (Измененная редакция, Изм. N 2).
3.4. Проведение анализа
В зависимости от содержания углерода в образцах берут различные навески (табл.4).
Таблица 4
Массовая доля углерода, % | Масса навески, г | |||
От | 0,1 | до | 0,5 | 1,000 |
Св. | 0,5 | " | 2,0 | 0,250 |
" | 2 | " | 7 | 0,05 |
Навеску помещают в прокаленную лодочку и тщательно перемешивают с плавнем - окисью меди в отношении 1:3.
Лодочку с образцами и плавнем помещают в рабочую трубку, закрывают затвор и включают блок автоматического титрования на титрование "Вверх". После того, как загорится лампочка "конец титрования" по бюретке отсчитывают количество раствора гидрата окиси бария, израсходованное на титрование.
После проведения анализов 50-70 проб раствор электролита следует заменить новым.
3.5. Обработка результатов
3.5.1. Массовую долю углерода () в процентах вычисляют по формуле
,
где - объем титрованного раствора гидрата окиси бария, израсходованный на титрование анализируемой пробы, см
;
- объем титрованного раствора гидрата окиси бария, израсходованный на титрование контрольного опыта, см
;
- массовая концентрация раствора гидрата окиси бария, выраженная в г/см
углерода;
- масса навески образца, г.
3.5.2. Разность наибольшего и наименьшего результатов трех параллельных определений и двух результатов анализа при доверительной вероятности 0,95 не должна превышать допускаемых расхождений, приведенных в табл.5.
Таблица 5
Массовая доля углерода, % | Допускаемые расхождения, % | ||||
От | 0,10 | до | 0,50 | включ. | 0,03 |
Св. | 0,50 | " | 3,50 | " | 0,10 |
" | 3,50 | " | 7,00 | " | 0,25 |
3.5.1, 3.5.2. (Измененная редакция, Изм. N 2).
4. КУЛОНОМЕТРИЧЕСКИЙ МЕТОД ОПРЕДЕЛЕНИЯ УГЛЕРОДА
4.1. Сущность метода
Метод основан на сжигании анализируемого образца в токе кислорода при 1250-1400 °С с последующим поглощением образующейся двуокиси углерода раствором электролита.
4.2. Аппаратура, реактивы и растворы
Кулонометрический анализатор АН-29, АН 7529, АН 7560 или любого типа.
Печь сопротивления, обеспечивающая температуру 1400±20 °С.
Баллон с редукционным вентилем с кислородом по ГОСТ 5583-78.
Лодочки фарфоровые ЛС N 2 по ГОСТ 9147-80.
Спирт этиловый ректификованный технический по ГОСТ 18300-87.
Медь (II окись проволока) ч.д.а.
Трубки огнеупорные муллито-кремнеземистые по нормативно-технической документации.
(Измененная редакция, Изм. N 1).
4.3. Подготовка к анализу
Включают анализатор в сеть и настраивают.
Лодочки прокаливают в токе кислорода при 1300-1350 °С в течение 3 мин.
Калибруют анализатор по стандартным образцам.
4.2, 4.3. (Измененная редакция, Изм. N 2).
4.4. Проведение анализа
В зависимости от массовой доли углерода в образцах берут различные навески в соответствии с табл.6.
Таблица 6
Массовая доля углерода, % | Масса навески, г | |||
От | 0,1 | до | 2 | 0,500 |
Св. | 2 | " | 7 | 0,100 |
Навеску образца помещают в прокаленную лодочку и тщательно перемешивают с плавнем - окисью меди в соотношении 1:3.
Лодочку с образцом помещают в трубку для сжигания, закрывают затвор и включают прибор на титрование.
4.5. Обработка результатов
4.5.1. Массовую долю углерода в процентах вычисляют как разность между показаниями табло для данной навески и контрольного опыта.
4.5.2. Разность наибольшего и наименьшего результатов трех параллельных определений и двух результатов анализа при доверительной вероятности 0,95 не должна превышать значений допускаемых расхождений, приведенных в табл.7.
Таблица 7
Массовая доля углерода, % | Допускаемые расхождения, % | ||||
От | 0,10 | до | 0,50 | включ. | 0,03 |
Св. | 0,50 | " | 3,50 | " | 0,10 |
" | 3,50 | " | 7,00 | " | 0,25 |
4.5.1, 4.5.2. (Измененная редакция, Изм. N 2).
Электронный текст документа
подготовлен АО "Кодекс" и сверен по:
официальное издание
Сварка, пайка и термическая резка
металлов. Часть 8. Материалы
наплавочные: Сб. ГОСТов. -
М.: Стандартинформ, 2011
Разместите заказ
сами сделают вам предложение
