ГОСТы сталей. ГОСТ 6130-71
ГОСТ 6130-71
Группа В09
ГОСУДАРСТВЕННЫЙ СТАНДАРТ СОЮЗА ССР
МЕТАЛЛЫ
Методы определения жаростойкости
Metals. Methods of determining
heat resistance
ОКСТУ 0909
Срок действия с 01.01.72
до 01.01.2000*
______________________________
* Ограничение срока действия снято
по протоколу N 7-95 Межгосударственного Совета
по стандартизации, метрологии и сертификации
(ИУС N 11, 1995 год). - Примечание "КОДЕКС".
ИНФОРМАЦИОННЫЕ ДАННЫЕ
1. РАЗРАБОТАН И ВНЕСЕН Министерством тяжелого энергетического и транспортного машиностроения СССР
РАЗРАБОТЧИКИ И.Р.Крянин, А.И.Максимов, П.В.Сорокин
2. УТВЕРЖДЕН И ВВЕДЕН В ДЕЙСТВИЕ Постановлением Государственного комитета стандартов Совета Министров СССР от 12.02.71 N 225
3. Взамен ГОСТ 6130-52
4. ССЫЛОЧНЫЕ НОРМАТИВНО-ТЕХНИЧЕСКИЕ ДОКУМЕНТЫ
Обозначение НТД, на который дана ссылка | Номер пункта |
ГОСТ 2789-73 | 4.1 |
5. Срок действия продлен до 01.01.2000 Постановлением Госстандарта СССР от 05.12.88 N 3945
6. ПЕРЕИЗДАНИЕ (сентябрь 1990 г.) с Изменением N 1, утвержденным в декабре 1988 г. (ИУС 2-89)
Настоящий стандарт устанавливает методы определения жаростойкости в условиях воздействия газовых сред и воздуха при высоких температурах стали, сплавов и изделий из них.
Стандарт не распространяется на стали, сплавы и изделия из них, подвергающиеся эррозионному* воздействию газовых сред.
________________
* Текст документа соответствует оригиналу. - Примечание изготовителя базы данных.
(Измененная редакция, Изм. N 1).
1. МЕТОДЫ ИСПЫТАНИЙ
1. МЕТОДЫ ИСПЫТАНИЙ
1.1. Жаростойкость определяют после выдержки образцов в печи с установленной средой или в воздухе в течение заданного времени при постоянной температуре следующими методами:
весовыми - | по уменьшению массы образца; | |||
по увеличению массы образца; | ||||
непосредственным измерением глубины коррозии - по уточнению;
комбинированным - сочетанием весового метода или метода непосредственного измерения образца с учетом толщины подокисного слоя, обедненного легирующими элементами или глубины локальной коррозии.
1.2. Жаростойкость определяют за время испытания, позволяющее установить закономерность процесса коррозии. Путем последующей экстраполяции определяют глубину коррозии за заданный период времени.
1.1, 1.2. (Измененная редакция, Изм. N 1).
1.3. Весовой метод по уменьшению массы образца заключается в определении толщины слоя металла, подвергшегося коррозии в процессе испытания, по разности массы образца до и после испытания и удаления продуктов коррозии с его поверхности.
1.4. Весовой метод по увеличению массы образца заключается в определении толщины слоя металла, подвергшегося коррозии в процессе испытания, по увеличению массы образца, определяемой непосредственно в процессе испытания. При этом для расчета предварительно определяют коэффициент соответствия увеличения массы образца - уменьшению его массы:
.
Величину коэффициента определяют для исследуемой марки стали, температуры и газовой среды однократно. При умножении величины увеличения массы образца на коэффициент
получают значение условного уменьшения массы образца, по которому определяют толщину слоя металла, подвергшегося коррозии.
Примечание. Допускается определение жаростойкости по привесу, без учета коэффициента .
1.5. Метод непосредственного измерения глубины коррозии по уточнению заключается в измерении уменьшения линейных размеров образца, подвергшегося коррозии.
1.5а. Комбинированный метод заключается в определении массы образца весовыми методами по пп.1.3 и 1.4 или непосредственным измерением глубины коррозии - по уточнению образцов, подвергшихся окислению с учетом максимальной толщины подокисного слоя, обедненного легирующими элементами или глубины максимальной локальной коррозии.
(Введен дополнительно, Изм. N 1).
1.6. Рекомендации по применению методов даны в приложении.
2. ОТБОР ОБРАЗЦОВ
2.1. Для испытаний металлов и сплавов следует применять плоские образцы, вырезанные из металла в состоянии поставки или из изделий. Для испытаний полуфабрикатов допускается применять цилиндрические образцы. Размеры плоских и цилиндрических образцов должны соответствовать указанным в табл.1.
Таблица 1
мм | |||||
Форма образцов и их обозначения | Толщина | Длина | Ширина | Диаметр | Высота |
Плоские - П | 3±0,2 | 30-60 | 20-30 | - | - |
Цилиндрические: | |||||
К10 | - | - | - | 10±0,2 | 20±0,5 |
К15 | - | - | - | 15±0,3 | 30±0,8 |
К25 | - | - | - | 25±0,5 | 50±1,0 |
Примечание. Грани образцов должны быть скруглены радиусом 1,5 мм.
2.2. При испытании методом непосредственного измерения глубины коррозии применяются только плоские образцы. При этом разнотолщинность плоского образца не должна превышать 0,01 мм.
2.3. Для оценки жаростойкости изделий и образцов при натурных и стендовых испытаниях допускается применять образцы другой формы и размеров в зависимости от назначения и вида испытываемых материалов.
2.4. При изготовлении образцов из проката и других изделий, имеющих направленную текстуру деформации, образцы вырезают вдоль направления волокон.
3. АППАРАТУРА
3.1. Установки для испытаний на жаростойкость должны удовлетворять следующим требованиям:
а) иметь автоматическую регулировку температуры с точностью ±5 °С;
б) отклонение температуры в отдельных точках печи в зоне расположения образцов должно быть не более 0,5% при температуре до 850 °С и 1% при температуре выше 850 °С;
в) обеспечивать равномерное омывание поверхности испытываемых образцов газовой средой.
(Измененная редакция, Изм. N 1).
3.2. Газовая среда по химическому составу должна соответствовать или быть близкой к среде, в которой будет работать испытываемый материал.
3.3. Скорость потока газовой среды в процессе испытания не должна быть менее 0,025 м/с, но не более скоростей потока, вызывающих эрозию.
Примечание. При одновременном испытании большого количества образцов, суммарная поверхность которых велика, ввиду чего возможно обеднение газовой среды отдельными агрессивными компонентами, скорость потока устанавливают, исходя из постоянства состава среды в зоне расположения образцов.
3.4. При определении жаростойкости образцы размещают в печах на жаростойких керамических подставках, в керамических тиглях или подвешивают на проволоке из жаростойких материалов.
(Измененная редакция, Изм. N 1).
3.5. При определении жаростойкости весовым методом по увеличению массы образца следует применять специальные керамические тигли, не препятствующие проникновению газовой среды и обеспечивающие сохранение осыпающихся окислов. Тигель с образцами размещают в печи на керамических подставках или подвешивают на алундовых стержнях.
3.5.1. Перед испытанием тигли должны быть прокалены до постоянной массы.
3.5.2. Установка должна обеспечивать непрерывное или периодическое взвешивание испытуемых образцов непосредственно в печи при температуре испытания. Для этого рекомендуется использовать установки, оборудованные аналитическими весами, на одном плече коромысла которых подвешивают тигель с образцом, находящимся в печи.
3.5.3. Допускается периодическое взвешивание охлажденных образцов вне печи.
3.5.4. Если в процессе взаимодействия металла со средой образуются соединения, возгоняющиеся при температуре испытания, необходимо применять способы и устройства, позволяющие учитывать количество летучих соединений.
3.6. Соприкосновение образцов с подставкой или тиглем должно быть только в отдельных точках.
4. ПОДГОТОВКА К ИСПЫТАНИЮ
4.1. Поверхность образца шлифуют с малой подачей при интенсивном охлаждении. Припуск на шлифовку должен быть не менее 0,3 мм на сторону. Шероховатость поверхности - по ГОСТ 2789-73.
4.2. При определении жаростойкости весовыми методами подсчет поверхности производят по суммарной площади.
4.3. Измерение образца при определении площади поверхности производят с точностью ±0,1 мм.
4.4. Перед испытанием образцы должны быть обезжирены этиловым спиртом, эфиром или другими органическими летучими растворителями.
4.5. При определении жаростойкости весовыми методами обезжиренные образцы должны быть просушены и взвешены с точностью ±0,1 мг.
4.6. При определении жаростойкости методом непосредственного измерения глубины коррозии измерение толщины плоского образца производится не менее чем в трех точках с точностью ±0,003 мм.
5. ПРОВЕДЕНИЕ ИСПЫТАНИЙ
5.1. Общие требования
5.1.1. Образцы загружают в печь, имеющую заданную температуру. Допускается загрузка образцов в холодную печь. Началом испытания считают момент достижения в рабочей зоне печи заданной температуры. Концом испытания считают момент выключения печи или выгрузки образцов по истечении срока испытания.
5.1.2. Время испытаний, определяемое в зависимости от срока службы материала, должно соответствовать указанному в табл.2.
Таблица 2
ч | |
Срок службы материала | Время испытаний, не менее |
Свыше 100000 | 10000 |
От 50000 до 100000 включ. | 5000 |
От 25000 до 50000 включ. | 3000 |
От 10000 до 25000 включ. | 2000 |
Менее 10000 | 20% от срока службы |
Для оценки качества материала при выборочных испытаниях допускается устанавливать время испытаний меньше указанного.
5.1.3. При испытаниях длительностью не более 100 ч образцы загружают в печь, имеющую заданную температуру. Концом испытания считается момент выгрузки образцов из горячей печи.
5.1.4. Если при выбранном времени испытания невозможно установить закономерности окисления, длительность испытания необходимо увеличить.
5.1.5. Для определения закономерности окисления периодический отбор образцов должен производиться через: 5, 10, 20, 50, 100, 200, 500, 1000, 2000, 5000, 10000 ч. Максимальная длительность испытания может не соответствовать времени, указанному в табл.2. Количество экспериментальных точек должно быть не менее пяти.
Например:
5000, | 2000, | 1000, | 500, | 200; | ||||
3000, | 2000, | 1000, | 500, | 200; | ||||
2500, | 2000, | 1000, | 500, | 200, | 100. | |||
5.1.6. При времени испытания менее 100 ч следует применить метод определения жаростойкости по увеличению массы образца. При этом должны использоваться установки, оборудованные аналитическими весами.
5.1.7. Каждая точка определяется как среднее арифметическое результатов испытания не менее трех образцов.
5.1.8. Испытания на жаростойкость проводятся с периодическим охлаждением образцов вместе с печью или на спокойном воздухе.
Циклы охлаждения выбираются в зависимости от назначения исследуемого металла.
Для промышленных установок, работающих непрерывно (в течение недели и более), образцы следует охлаждать через 100, 200, 500 ч и далее через каждые 200 ч.
Для установок, работающих периодически, а также при натурных и стендовых испытаниях образцы следует охлаждать в соответствии с запланированным режимом работы установок.
5.1.9. Температуру испытаний устанавливают в зависимости от условий эксплуатации исследуемого материала.
5.2. Весовой метод определения жаростойкости по уменьшению массы образца
5.2.1. При определении жаростойкости по уменьшению массы образца с его поверхности полностью удаляют образовавшиеся продукты окисления, чтобы при осмотре образца через лупу с 10-кратным увеличением не было обнаружено следов окисления.
5.2.2. В зависимости от состава сталей и сплавов удаление продуктов коррозии с образцов после их испытания осуществляется одним из следующих способов:
а) для углеродистых и низколегированных сталей рекомендуется применять электрохимическую катодную обработку в 10%-ном растворе серной кислоты с присадкой ингибитора кислотной коррозии (уротропин, уникод, катапин и др. из расчета 1 г ингибитора на 1 л раствора); в качестве анода применяется свинцовая пластинка. Плотность тока 10-15 а/дм, температура раствора 20 °С, продолжительность обработки - до полного удаления продуктов коррозии. Для определения полноты удаления продуктов коррозии образцы через каждые 10-15 мин вынимают из ванны, промывают водой и просматривают, как указано в п.5.2.1;
б) для углеродистых, низколегированных, среднелегированных и высоколегированных сталей рекомендуется применять электрохимическую обработку в расплаве смеси, состоящей из 40-60% кальцинированной соды и 60-40% едкого натра. Обработку следует вести при 450-500 °С, плотности тока 25-50 а/дм, продолжительности обработки 1-5 мин в зависимости от толщины и состава окисной пленки;
в) для всех сталей и сплавов помимо вышеуказанных способов рекомендуется также способ, основанный на восстановлении окислов атомарным водородом. В этом случае образцы после испытаний погружают в ванну с расплавленным металлическим натрием, через который непрерывно продувают аммиак. Температура расплава 350-420 °С, длительность процесса 1-2 ч.
Аммиак должен быть тщательно осушен. Расход аммиака не должен превышать 0,5 л/мин на 1 см поверхности обрабатываемых образцов.
(Измененная редакция, Изм. N 1).
5.2.3. Выбранный режим обработки необходимо проверять на неокисленном образце. Контрольный неокисленный образец не должен изменять свою массу в течение времени, соответствующего выбранному режиму удаления продуктов окисления.
5.2.4. После снятия окалины в соответствии с требованиями п.5.2.2 образцы должны быть тщательно промыты в проточной воде волосяной щеткой, осушены фильтровальной бумагой, очищены чернильной резинкой и промыты этиловым спиртом.
Очищенные от окалины образцы должны быть помещены в эксикатор на 1 ч, после чего взвешены с точностью ±0,1 мг.
(Измененная редакция, Изм. N 1).
5.3. Весовой метод определения жаростойкости по увеличению массы образца
5.3.1. Перед испытанием тигли с образцами взвешивают с точностью ±0,1 мг и затем помещают в печь для испытаний.
5.3.2. Увеличение массы образца определяют по разности результатов взвешивания холодного образца до испытания и непосредственного взвешивания в процессе испытания или после охлаждения образцов в тиглях, предварительно закрытых крышками из жаростойкого материала.
5.3.3. Для определения коэффициента испытывают не менее трех образцов. При этом в процессе испытания регистрируют увеличение массы образца, а уменьшение его массы определяют в соответствии с требованиями пп.5.2.1-5.2.4. Рекомендуемое время испытания 200-500 ч.
Величина коэффициента - переменная при заданной температуре и может изменяться на 25-30% в зависимости от времени испытаний. Указанное изменение величины
при расчете на глубинный показатель коррозии не учитывается.
5.3.4. Изменение массы образца в процессе испытания регистрируют периодически (через заданный интервал времени) или непрерывно.
5.4. Метод непосредственного измерения глубины коррозии
5.4.1. Глубину равномерной коррозии следует определять непосредственным измерением толщины образца до и после испытаний с точностью ±0,003 мм.
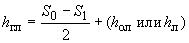
5.4.2. Глубину равномерной коррозии при двусторонней коррозии плоского образца определяют как половину разности между толщиной исходного образца
и толщиной образца после испытаний
.
Толщину образца определяют измерением расстояния между максимальными выступами на противоположных сторонах.
5.4.1, 5.4.2. (Измененная редакция, Изм. N 1).
5.4.3, 5.4.4. 5.4.5. (Исключены, Изм. N 1).
5.4.6. Максимальную глубину локальной коррозии определяют измерением расстояния между максимальными выступами и впадинами на образце после испытаний.
Измерения проводят на длине 5 мм.
(Измененная редакция, Изм. N 1).
5.5. Комбинированный метод определения глубины коррозии
5.5.1. Глубину равномерной коррозии определяют как сумму глубин равномерной коррозии, измеряемой по уменьшению толщины образца или рассчитанной по изменению массы образца до и после испытания с учетом максимальной толщины подокисного сдоя, обедненного легирующими элементами, или максимальной локальной коррозии.
5.5.2. Глубину равномерной коррозии, измеряемой по уменьшению толщины образца, определяют в соответствии с требованиями п.5.4.2.
5.5.3. Глубину равномерной коррозии определяют путем пересчета весового показателя в глубинный и выражают в миллиметрах за данный промежуток времени.
5.5.4. Глубину локальных видов коррозии (межкристаллитная, внутреннее окисление, питтинги, язвы) и подокисного слоя, обедненного легирующими элементами, определяют на травленых шлифах металлографическим или рентгеноструктурным микроанализом.
Металлографическое определение глубины локальных видов коррозии (,
) проводится с помощью оптического микроскопа при увеличении 100
, 200
(допускается 500
) с точностью ±0,003 мм. Определение проводится не менее чем в трех сечениях и берется максимальная величина.
Микрорентгеноспектральное определение глубины подокисного слоя, обедненного легирующими элементами (,
), проводится с помощью рентгеновских микроанализаторов посредством фиксирования границы слоя, имеющего измененное содержание легирующих элементов по сравнению с исходным на месте наибольшей для данного образца глубины. Проводится не менее трех измерений и берется средняя величина
.
5.5-5.5.4. (Введены дополнительно, Изм. N 1);
6. ОБРАБОТКА РЕЗУЛЬТАТОВ
6.1. Количественную оценку жаростойкости определяют глубиной проникновения коррозии, выраженной в миллиметрах за данный период времени (глубинный показатель). Допускается количественная оценка по весовому показателю, выраженному в мг/см.
6.1.1. Глубину проникновения коррозии по методу уменьшения массы образца () в миллиметрах вычисляют по формуле
![]()
где - уменьшение массы образца за заданное время, полученное при прямом испытании или путем экстраполяции опытных данных, графически обработанных в координатах: логарифм уменьшения массы образца - логарифм времени, мг/см
;
- плотность металла, г/см
.
6.1.2. Глубину проникновения коррозии в заданное время по методу увеличения массы образца () в миллиметрах вычисляют по формуле
![]()
где - увеличение массы образца за заданное время, полученное прямыми испытаниями или экстраполяцией опытных данных, графически обработанных в координатах; логарифм увеличения массы образца - логарифм времени, мг/см
;
- коэффициент соответствия увеличения массы образца - уменьшению его массы.
При этом
![]()
где
- опытные данные, получаемые при испытаниях в соответствии с требованиями пп.1.4 и 5.3.3.
6.1.3. Глубину проникновения коррозии по комбинированному методу определяют по формулам
или ![]()
где - толщина образца до испытания, мм;
- толщина образца после испытания, мм;
,
- максимальные толщины подокисного слоя, обедненного легирующими элементами, определяемые в соответствии с п.5.5.4, мм;
,
- максимальные глубины локальной коррозии, определяемые в соответствии с п.5.5.4, мм;
- глубина равномерной коррозии, рассчитанная на весовых показателях в соответствии с пп.6.1.1, 6.1.2, мм.
(Измененная редакция, Изм. N 1)
.
6.2. Количественную характеристику жаростойкости в зависимости от температуры определяют по данным длительных испытаний не менее чем при трех температурах: рабочей, ниже и выше рабочей на 50 °С. Испытания проводят в соответствии с требованиями разд.5.
6.3. Результаты измерений, проведенных в соответствии с требованиями разд.5, графически обрабатывают в логарифмических координатах: время - глубина проникновения коррозии.
6.4. В стандартах и технической документации, утвержденных в установленном порядке, на металлы и изделия из них необходимо указывать метод определения жаростойкости, тип образца или его размеры (в случае отклонения от стандартных), место вырезки при натурных испытаниях, температуру, период времени и газовую среду.
Например. Жаростойкость по ГОСТ 6130-71 по методу увеличения массы на образцах К15 при 1000 °С, 5000 ч, в среде .
ПРИЛОЖЕНИЕ (рекомендуемое). ОБЛАСТЬ ПРИМЕНЕНИЯ МЕТОДОВ ОПРЕДЕЛЕНИЯ ЖАРОСТОЙКОСТИ
ПРИЛОЖЕНИЕ
Рекомендуемое
1. Весовой метод определения жаростойкости по уменьшению массы образца рекомендуется применять для углеродистых и низколегированных сталей во всем диапазоне температур; для всех сталей и сплавов при относительно низких температурах, когда окисление идет равномерно, без образования в подокисном слое внутреннего окисления, сульфидов, нитридов и других соединений.
2. Весовой метод определения жаростойкости по увеличению массы образца рекомендуется применять в тех же случаях, что и весовой метод по уменьшению массы образца, когда испытания имеют массовый характер, или требуется определение кинетики процесса окисления.
Метод не рекомендуется применять при натурных испытаниях.
3. Метод непосредственного измерения глубины коррозии применяют для всех сталей при относительно высоких температурах, а также в случаях, когда нельзя применять весовой метод.
(Измененная редакция, Изм. N 1).
4. Комбинированный метод определения жаростойкости применяют, когда процесс коррозии происходит неравномерно, сопровождается различными видами локальной коррозии (межкристаллитная, внутреннее окисление, питтинги, язвы) и характеризуется процессами, при которых рост подокисных слоев, обедненных легирующими элементами, сопоставим или значительно превосходит образование поверхностных слоев продуктов окисления.
(Введен дополнительно, Изм. N 1).
Текст документа сверен по:
официальное издание
М.: Издательство стандартов, 1990
Разместите заказ
сами сделают вам предложение
