ГОСТы сталей. ГОСТ 3565-80
ГОСТ 3565-80
Группа В09
ГОСУДАРСТВЕННЫЙ СТАНДАРТ СОЮЗА ССР
МЕТАЛЛЫ
Метод испытания на кручение
Metals. Method of torsion test
Срок действия 01.07.81
до 01.07.91*
____________________________________________
* Ограничение срока действия снято постановлением
Госстандарта СССР N 464 от 09.04.91.
(ИУС N 7, 1991 год). - Примечание "КОДЕКС".
УТВЕРЖДЕН И ВВЕДЕН В ДЕЙСТВИЕ Постановлением Государственного комитета СССР по стандартам от 30 мая 1980 г. N 2445
ВЗАМЕН ГОСТ 3565-58
ПЕРЕИЗДАНИЕ (февраль 1988 г.) с Изменением N 1, утвержденным в марте 1982 г. (ИУС 6-82).
Настоящий стандарт распространяется на черные и цветные металлы и сплавы, а также на изделия из них и устанавливает методы статических испытаний на кручение при температуре 20°С для определения характеристик механических свойств и характера разрушения при кручении.
Стандарт не устанавливает методы испытаний на кручение в условиях повышенной и пониженной температуры, вакуума, химически активных сред и лучевого воздействия.
1. ОБЩИЕ ПОЛОЖЕНИЯ
1. ОБЩИЕ ПОЛОЖЕНИЯ
1.1. Термины, определения и обозначения, применяемые в настоящем стандарте, приведены в обязательном приложении 1.
1.2. По результатам испытания образцов на кручение производят определение следующих механических характеристик:
модуля сдвига,
предела пропорциональности,
предела текучести,
предела прочности (условного),
предела прочности (истинного),
максимального остаточного сдвига,
характера разрушения (срез или отрыв).
2. ИСПЫТАТЕЛЬНОЕ ОБОРУДОВАНИЕ
2.1. Для испытания на кручение может быть использована испытательная машина, которая обеспечивает:
свободное кручение образцов без каких-либо дополнительных нагрузок на образце в течение всего процесса испытания;
центрирование образца в захватах с несоосностью не более 0,1 мм на каждые 100 мм;
плавность статического нагружения (без толчков и ударов);
свободное перемещение одного из захватов вдоль оси образца;
измерение нагрузки с погрешностью, не превышающей ±1% от величины измеряемой нагрузки, начиная с 0,2 наибольшего значения каждого диапазона, но не ниже 0,04 предельной нагрузки;
вариации показаний силоизмерителя при повторных нагружениях и нагрузке, не превышающие допускаемую погрешность силоизмерения;
возможность нагружения с точностью одного наименьшего деления шкалы силоизмерителя испытательной машины;
сохранение постоянства показаний силоизмерителя в течение не менее 30 с;
измерение угла закручивания с погрешностью, не превышающей 1°.
(Измененная редакция, Изм. N 1).
3. ОБРАЗЦЫ
3.1. Для испытания на кручение в качестве основных применяют цилиндрические образцы с диаметром в рабочей части 10 мм и с расчетной длиной 100 и 50 мм, с головками на концах для закрепления в захватах испытательной машины.
Примечание. Расчетной длиной считают длину цилиндрической части образца, на которой производят измерение угловой деформации. Измерительная база прибора должна располагаться в средней части образца. Испытания образцов из металлопродукции диаметром менее 5 мм проводятся только с учетом требований стандартов на эти виды продукции.
3.2. Допускается испытание образцов и изделий, пропорциональных нормальным, а также трубчатых образцов.
Примечание. Результаты испытания трубчатых образцов могут быть использованы только при отсутствии потери их устойчивости.
3.3. Форма и размеры головок образца определяют способом крепления образца в захватах испытательной машины.
3.4. Переход от рабочей части образца к его головкам должен быть плавным с радиусом закругления не менее 3 мм.
3.5. Разность между наибольшим и наименьшим диаметром на рабочей части основного образца не должна превышать 0,2% номинального значения диаметра.
3.6. Измерение диаметра образца производится с погрешностью не более 0,01 мм, а его длины с погрешностью не более 0,1 мм.
3.7. Проверку размеров образца проводят до испытания измерительным инструментом, обеспечивающим требования п. 3.6.
3.8. Технология изготовления образцов не должна оказывать влияния на механические свойства исходного материала.
3.9. Шероховатость поверхности рабочей части основных цилиндрических образцов должна соответствовать
мкм по ГОСТ 2789-73.
4. ПРОВЕДЕНИЕ ИСПЫТАНИЙ И ОБРАБОТКА РЕЗУЛЬТАТОВ
4.1. При испытании на кручение величину нагрузки отсчитывают с точностью до одного деления шкалы силоизмерителя. Точность измерения углов соответствует цене деления угломера. Вычисление механических характеристик по результатам испытаний проводится с точностью 1 %.
4.2. Определение модуля сдвига при кручении.
4.2.1. Устанавливают и закрепляют испытуемый образец в захватах испытательной машины. Нагружают образец крутящим моментом, соответствующим начальному касательному напряжению , составляющему 10% ожидаемого предела пропорциональности материала, закрепляют на рабочей части образца угломер и отмечают первоначальное показание угломера, принимаемое за нулевое.
4.2.2. Нагружение образца крутящим моментом осуществляют равными ступенями (не менее трех) таким образом, чтобы напряжения в образце не превышали предела пропорциональности, и регистрируют на каждой ступени нагружения углы закручивания образца на его расчетной длине. Время регистрации угла закручивания не должно превышать 10 с.
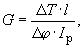
4.2.3. Модуль сдвига при кручении в МПа (кгс/мм
) вычисляют по формуле
![]()
где - ступень нагружения, Н·мм (кгс·мм);
- расчетная длина образца, мм;
- среднее арифметическое значение углов закручивания на расчетной длине образца, приходящихся на одну ступень нагружения, рад;
- полярный момент инерции, мм
.
Примечание. Для образца круглого сечения диаметром полярный момент инерции вычисляют по формуле
![]()
Для трубчатого образца кольцевого сечения с внешним диаметром и толщиной стенки
.
4.2.4. Пример определения модуля сдвига при кручении приведен в справочном приложении 2.
4.2.5. Модуль сдвига при кручении может быть также определен по тангенсу угла наклона прямолинейного участка диаграммы деформации, соответствующего упругому деформированию, если масштаб диаграммы обеспечивает не более 0,01% относительного сдвига на 1 мм оси абсцисс и не более 1 МПа (0,102 кгс/мм) касательного напряжения на 1 мм оси ординат.
4.3. Определение предела пропорциональности при кручении
4.3.1. Выполняют операции, установленные в п. 4.2.1.
4.3.2. Догружают образец вначале большими, а затем малыми ступенями, отмечая после каждой ступени нагружения угловую деформацию. Нагружение большими ступенями осуществляют до 80% ожидаемого предела пропорциональности. Ступени малых нагружений выбирают так, чтобы до достижения предела пропорциональности было не менее пяти ступеней малых нагружений. Значение малой степени нагружения должно соответствовать увеличению касательного напряжения не более 10 МПа (1,02 кгс/мм).
4.3.3. Испытание прекращают, когда угловая деформация от нагружения на малую ступень превысит не менее чем в два раза среднее значение угловой деформации, полученное на предыдущих ступенях нагружения на линейном участке.
4.3.4. Определяют значение приращения угла закручивания на малую ступень нагружения на линейном участке. Полученное значение увеличивают в соответствии с принятым допуском. По результатам испытаний определяют нагрузку , соответствующую подсчитанному значению приращения угла закручивания. Если вычисленная в соответствии с принятым допуском величина угловой деформации повторяется несколько раз, то за нагрузку
принимают первое (меньшее) значение нагрузки.
Примечание. В случаях, когда необходимо уточненное значение предела пропорциональности, допускается применение линейной интерполяции.
4.3.5. Нагрузка может быть также определена по диаграмме деформации, показанной на черт.1, если масштаб диаграммы обеспечивает не более 0,05% относительного сдвига на 1 мм оси абсцисс и не более 5 МПа (0,51 кгс/мм
) касательного напряжения на 1 мм оси ординат.
Черт.1 Диаграмма деформации

Черт.1
4.3.5.1. Для определения по диаграмме проводят прямую
, совпадающую с начальным прямолинейным участком кривой деформации. Через точку
проводят ось ординат
, затем прямую
, параллельную оси абсцисс на произвольном уровне, и на этой прямой откладывают отрезок
, равный половине отрезка
. Через точку
и начало координат проводят прямую
и параллельно ей касательную
к кривой деформации. Ордината точки касания
соответств
ует .
4.3.6. Предел пропорциональности при кручении в МПа (кгс/мм
) вычисляют по формуле

где - полярный момент сопротивления, мм
.
Примечание. Для образца круглого сечения момент сопротивления вычисляют по формуле
![]()
Для трубчатого образца кольцевого сечения -
.
4.3.7. Пример определения предела пропорциональности при кручении приведен в справочном приложении 3.
4.4. Определение предела текучести при кручении
4.4.1. Выполняют операции, установленные в пп. 4.2.1 и 4.3.2 - 4.3.4. Деформацию до предела пропорциональности считают упругой, а за пределом пропорциональности - остаточной.
4.4.2. Вычисляют относительный сдвиг в процентах по формуле
,
где - угол закручивания образца на его расчетной длине, соответствующий пределу пропорциональности при кручении, рад;
- диаметр рабочей части образца, мм;
- расчетная длина образца, мм.
4.4.3. Прибавляют к относительному сдвигу допуск на остаточный сдвиг 0,3% и по величине
находят соответствующий пределу текучести угол закручивания расчетной длины образца.
4.4.4. Продолжают нагружение образца за пределом пропорциональности до тех пор, пока не будет достигнут угол закручивания , соответствующий значению
и фиксируют нагрузку , соответствующую пределу текучести.
4.4.5. Нагрузка может быть также определена по диаграмме деформаций, показанной на черт.2, если масштаб диаграммы обеспечивает не более 0,05% относительного сдвига на 1 м оси абсцисс и не более 5 МПа (0,51 кгс/мм
) касательного напряжения на 1 мм оси ординат.
Черт.2 Диаграмма деформаций

Черт.2
4.4.5.1. Для определения от начала координат
откладывают по оси абсцисс отрезок
, соответствующий остаточному сдвигу
. Начальная криволинейная часть диаграммы исключается. Из точки проводят прямую, параллельную прямой
, до пересечения с кривой (точка
). Ордината точки
пересечения прямой с кривой диаграммы является значением нагрузки
, соответствующей пределу текучес
ти.
4.4.6. Предел текучести при кручении в МПа (кгс/мм
) вычисляют по формуле
.
4.4.7. Пример определения предела текучести приведен в справочном приложении 4.
4.5. Определение условного предела прочности при кручении
4.5.1. Устанавливают и закрепляют образец в захватах испытательной машины и нагружают до разрушения, фиксируя разрушающую нагрузку . Одновременно регистрируют максимальный угол закручивания
на расчетной длине образца, который используется при подсчете
(см. п. 4.7).
4.5.2. Условный предел прочности при кручении в МПа (кгс/мм
) вычисляют по формуле
.
4.6. Определение истинного предела прочности при кручении
4.6.1. Устанавливают и закрепляют образец в захватах испытательной машины и нагружают до появления пластических деформаций.
4.6.2. Ступенчато догружают образец до разрушения, фиксируя нагрузки и соответствующие им углы закручивания
на расчетной длине образца в процессе монотонного деформирования образца с заданной скоростью.
4.6.3. Вычисляют относительные углы закручивания в рад/мм по формуле
.
4.6.4. По вычисленным значениям и нагрузки
строят конечный участок кривой в координатах
(можно также воспользоваться диаграммой
, зарегистрированной в процессе испытания). Для точки кривой, соответствующей моменту разрушения образца, графически определяют величину
, равную тангенсу угла между касательной к кривой в этой точке и осью абсцисс (с учетом масштаба). Размерность указанной величины
.
4.6.5. Истинный предел прочности при кручении в МПа (кгс/мм
) вычисляют по формуле
,
где - крутящий момент при разрушении образца, кгс·мм;
- относительный угол закручивания при разрушении образца, рад/мм;
- величина, определяемая графически согласно п. 4.6.4.
4.7. Максимальный остаточный сдвиг при кручении () вычисляют по формуле
,
если величина сдвига не превышает 0,1 рад. При большей деформации максимальный остаточный сдвиг определяют по формуле
,
где - максимальный угол закручивания на расчетной длине образца, рад (п. 4.5.1).
Допускается выражать в процентах, путем умножения подсчитанной величины на 100.
Примечание. Для пластичных металлов, у которых величина упругой деформации относительно мала (не более 10% от общей деформации), допускается принимать общий сдвиг за остаточный. Для малопластичных металлов, у которых упругая деформация относительно велика, для определения максимального остаточного сдвига следует вычитать из общего сдвига
упругий сдвиг
, вычисляемый по формуле
,
где - условный предел прочности при кручении данного материала, МПа (кгс/мм
);
- модуль сдвига данного материала, МПа (кгс/мм
).
4.8. Указанные в п. 1.2 механические характеристики могут определяться по результатам испытания на кручение одного образца путем совмещения соответствующих операций, указанных в пп. 4.2-4.7.
4.9. Примерная форма протокола испытания на кручение цилиндрических образцов приведена в справочном приложении 5.
ПРИЛОЖЕНИЕ 1 (обязательное). ТЕРМИНЫ, ОПРЕДЕЛЕНИЯ И ОБОЗНАЧЕНИЯ
ПРИЛОЖЕНИЕ 1
Обязательное
1. Термины, определения и обозначения, общие для всех методов испытаний, приведены в ГОСТ 16504-81.
2. Термины, определения и обозначения, относящиеся к испытаниям на кручение, приведены в таблице.
|
|
|
|
| МПа (кгс/мм |
2. Предел пропорциональности при кручении - касательное напряжение в периферийных точках поперечного сечения образца, вычисленное по формуле для упругого кручения, при котором отклонение от линейной зависимости между нагрузкой и углом закручивания достигает такой величины, что тангенс угла наклона, образованного касательной к кривой деформации и осью нагрузок, увеличивается на 50% своего значения на линейном участке. |
| МПа (кгс/мм |
Примечание. При наличии в стандартах или технических условиях на металлопродукцию особых указаний, допускается определять предел пропорциональности при кручении с иным допуском на увеличение тангенса угла наклона касательной. В этом случае значение допуска должно быть указано в обозначении, например | ||
3. Предел текучести при кручении - касательное напряжение, вычисленное по формуле для упругого кручения, при котором образец получает остаточный сдвиг, равный 0.3% |
| МПа (кгс/мм |
4. Предел прочности при кручении - касательное напряжение, равное отношению наибольшего момента при кручении, предшествующего разрушению, к полярному моменту сопротивления сечения образца для испытания |
| МПа (кгс/мм |
5. Истинный предел прочности при кручении - наибольшее истинное касательное напряжение при разрушении образца, вычисленное с учетом перераспределения напряжений при пластической деформации |
| МПа (кгс/мм |
6. Максимальный остаточный сдвиг при кручении - максимальная угловая деформация в точке на поверхности образца для испытаний в момент разрушения |
| рад |
7. Срез или отрыв - характер разрушения при кручении. | ||
Примечание. Определяется по ориентации поверхности разрушения. Разрушение от касательных напряжений (путем среза) происходит по поперечному сечению образца. Разрушение от растягивающих напряжений (путем отрыва) происходит по винтовой поверхности, след которой на наружной поверхности образца образует винтовую линию, касательная к которой направлена под углом примерно 45° к оси образца |
ПРИЛОЖЕНИЕ 2 (справочное). ПРИМЕР ОПРЕДЕЛЕНИЯ МОДУЛЯ СДВИГА ПРИ КРУЧЕНИИ
ПРИЛОЖЕНИЕ 2
Справочное
Испытуемый материал - углеродистая сталь.
Размеры образца: =10 мм;
момент инерции поперечного сечения
мм;
момент сопротивления
мм;
расчетная длина и база угломера
мм;
цена деления шкалы угломера - 0,00025 рад.
Ожидаемый предел пропорциональности
МПа
Начальное напряжение
МПа, что соответствует моменту
Н·мм, округленно принимаем
Н·мм.
Максимальная нагрузка в Н·мм, отвечающая 80% нагрузки ожидаемого предела пропорциональности, равна
Н·мм. Принимаем
Н·мм.
Для получения трех ступеней в указанном интервале нагрузок ступень нагружения в Н·мм вычисляем по формуле
Н·мм.
Принимаем
Н·мм.
Результаты испытания записываем в таблицу.
|
|
|
|
|
|
16000 | 53 | 53 |
27000 | 109 | 56 |
38000 | 165 | 56 |
Средняя разность отсчетов на ступень нагружения:
Н·мм - 55 делений, что соответствует углу закручивания.
рад.
Модуль сдвига
МПа.
ПРИЛОЖЕНИЕ 3 (справочное). ПРИМЕР ОПРЕДЕЛЕНИЯ ПРЕДЕЛА ПРОПОРЦИОНАЛЬНОСТИ ПРИ КРУЧЕНИИ
ПРИЛОЖЕНИЕ 3
Справочное
Испытуемый материал, размеры образца и расчет первых трех ступеней нагружения приведены в справочном приложении 2 настоящего стандарта.
Принимаем
Н·мм, проводим нагружение тремя ступенями и результаты испытания записываем в таблицу.
Дальнейшее нагружение проводим мелкими ступенями
Н·мм (что соответствует приращению напряжения
МПа) до заметного отклонения от закона пропорциональности, снимая показания угломера. Результаты испытаний записываем в таблицу.
|
|
|
|
|
|
16000 | 53 | 53 |
27000 | 109 | 56 |
38000 | 165 | 56 |
40000 | 174 | 9 |
42000 | 186 | 12 |
44000 | 197 | 11 |
46000 | 207 | 10 |
48000 | 219 | 12 |
50000 | 232 | 13 |
52000 | 249 | 17 |
54000 | 270 | 21 |
56000 | 296 | 26 |
Средняя величина приращения показаний угломера на малую ступень нагружения
Н·мм на линейном участке составляет
делений шкалы.
Поскольку при определении предела пропорциональности принимается допуск 50% на увеличение тангенса угла наклона между касательной к кривой деформации и осью нагрузок, значение
увеличиваем на 50% и искомое приращение показаний угломера на ступень нагрузки
Н·мм, соответствующее пределу пропорциональности, составит,
делений шкалы.
По таблице приближенное значение равно 50000 Н-мм.
Уточненное значение нагрузки может быть получено путем применения метода линейной интерполяции
52000 Н·мм - 50000 Н·мм = 2000 Н·мм.
17 делений - 13 делений = 4 деления.
Добавочную нагрузки определяем из пропорции
2000 | Н·мм ------- | 4 деления | |||
| Н·мм ------- | 2,5 деления, | |||
где 2,5 деления - разность между заданным приращением отсчета (15,5 деления) и полученным приращением в 13 делений (при
Н·мм).
Добавочная нагрузка в Н·мм равна
Н·мм.
Уточненное значение нагрузи , соответствующее пределу пропорциональности, равно
Н·мм.
Предел пропорциональности , отвечающий вычисленной нагрузке, равен
МПа.
ПРИЛОЖЕНИЕ 4 (справочное). ПРИМЕР ОПРЕДЕЛЕНИЯ ПРЕДЕЛА ТЕКУЧЕСТИ ПРИ КРУЧЕНИИ
ПРИЛОЖЕНИЕ 4
Справочное
Выполняем последовательно все операции, описанные в справочном приложении 3 настоящего стандарта, за исключением подсчета .
Используя пропорцию, определяем приращение показаний шкалы угломера, соответствующее добавочной нагрузке
Н·мм.
2000 | Н·мм ------- | 17 делений | |||
1250 | Н·мм ------- |
| |||
отсюда
делений.
Показание угломера, соответствующее пределу пропорциональности, равно
232 дел. + 1
1 дел. = 243 дел.
Угол закручивания ранен
рад.
Относительный сдвиг равен
.
Количество делений шкалы угломера, соответствующее сдвигу
определяем по формуле
дел.
Показание шкалы угломера, при котором будет достигнута нагрузка предела текучести равно
243 дел.+24
0 дел. = 483 дел.
Плавно вручную нагружаем образец и фиксируем нагрузки в момент показания угломера на 483 деления.
Получаем
Н·мм.
Предел текучести , соответствующий
, равен
МПа
ПРИЛОЖЕНИЕ 5 (справочное). ПРИМЕРНАЯ ФОРМА ПРОТОКОЛА ИСПЫТАНИЙ НА КРУЧЕНИЕ ЦИЛИНДРИЧЕСКИХ ОБРАЗЦОВ
ПРИЛОЖЕНИЕ 5
Справочное
ПРИМЕРНАЯ ФОРМА ПРОТОКОЛА ИСПЫТАНИЯ НА КРУЧЕНИЕ ЦИЛИНДРИЧЕСКИХ ОБРАЗЦОВ
ПРОТОКОЛ N_______
испытаний на кручение цилиндрических образцов ________ на машине ____
|
|
|
|
|
|
|
|
|
|
|
|
|
|
|
|
|
Текст документа сверен по:
официальное издание
М.: Издательство стандартов, 1988
Разместите заказ
сами сделают вам предложение
