ГОСТы сталей. ГОСТ 2604.9-83
ГОСТ 2604.9-83
Группа В09
МЕЖГОСУДАРСТВЕННЫЙ СТАНДАРТ
ЧУГУН ЛЕГИРОВАННЫЙ
Методы определения меди
Alloy cast iron. Methods for determination of copper
МКC 77.080.10
ОКСТУ 0809
Дата введения 1984-07-01
ИНФОРМАЦИОННЫЕ ДАННЫЕ
1. РАЗРАБОТАН И ВНЕСЕН Министерством черной металлургии СССР
РАЗРАБОТЧИКИ
Ю.С.Чернобривенко, Т.А.Бутенко, П.А.Пархоменко, А.С.Гржегоржевский, В.П.Корж, Ж.Б.Куликовская, Б.А.Сорочинский, Л.Н.Новак
2. УТВЕРЖДЕН И ВВЕДЕН В ДЕЙСТВИЕ Постановлением Государственного комитета стандартов Совета Министров СССР от 08.07.83 N 680
3. ВЗАМЕН ГОСТ 2604.9-77
4. ССЫЛОЧНЫЕ НОРМАТИВНО-ТЕХНИЧЕСКИЕ ДОКУМЕНТЫ
Обозначение НТД, на который дана ссылка | Номер пункта |
ГОСТ 546-2001 | 2.2 |
ГОСТ 3118-77 | 2.2 |
ГОСТ 3652-69 | 2.2 |
ГОСТ 3760-79 | 2.2 |
ГОСТ 4204-77 | 2.2 |
ГОСТ 4461-77 | 2.2 |
ГОСТ 7172-76 | 2.2 |
ГОСТ 8864-71 | 2.2 |
ГОСТ 10652-73 | 2.2 |
ГОСТ 11293-89 | 2.2 |
ГОСТ 12355-78 | 3.1, 3.2, 3.3, 3.4, 4.1, 4.2, 4.3, 4.4 |
ГОСТ 28473-90 | 1.1 |
5. Ограничение срока действия снято по протоколу N 3-93 Межгосударственного совета по стандартизации, метрологии и сертификации (ИУС 5-6-93)
6. ИЗДАНИЕ с Изменением N 1, утвержденным в декабре 1988 г. (ИУС 3-89)
Настоящий стандарт устанавливает фотометрический метод определения меди (при массовой доле от 0,05 до 1,0%), титриметрический метод определения меди (при массовой доле от 1,0 до 4,0%) и атомно-абсорбционный метод определения меди (при массовой доле от 0,10 до 4,0%) в легированном чугуне.
1. ОБЩИЕ ТРЕБОВАНИЯ
1. ОБЩИЕ ТРЕБОВАНИЯ
1.1. Общие требования к методам анализа - по ГОСТ 28473.
1.2. Погрешность результата анализа (при доверительной вероятности =0,95) не превышает предела
, приведенного в табл.2, при выполнении следующих условий:
расхождение результатов двух (трех) параллельных измерений не должно превышать (при доверительной вероятности =0,95) значения
, приведенного в табл.2;
воспроизведенное в стандартном образце значение массовой доли элемента не должно отличаться от аттестованного более чем на допускаемое (при доверительной вероятности =0,85) значение
, приведенное в табл.2.
При невыполнении одного из вышеуказанных условий проводят повторные измерения массовой доли меди. Если и при повторных измерениях требования к точности результатов не выполняются, результаты анализа признают неверными, измерения прекращают до выявления и устранения причин, вызвавших нарушение нормального хода анализа.
Расхождение двух средних результатов анализа, выполненных в различных условиях (например, при внутрилабораторном контроле воспроизводимости), не должно превышать (при доверительной вероятности =0,95) значения
, приведенного в табл.2.
(Введен дополнительно, Изм. N 1).
2. ФОТОМЕТРИЧЕСКИЙ МЕТОД
2.1.Сущность метода
Метод основан на образовании в аммиачном растворе (рН 8,5-9,0) окрашенного в желтый цвет и стабилизируемого желатином комплексного соединения меди (II) с диэтилдитиокарбаматом натрия. Мешающее влияние железа, хрома, никеля, ванадия, молибдена, марганца, алюминия устраняют предварительным отделением меди в виде сульфида серноватистокислым натрием и добавлением лимонной кислоты и трилона Б.
2.2. Аппаратура, реактивы и растворы
Спектрофотометр, спектрофотоколориметр или фотоэлектроколориметр.
Кислота соляная по ГОСТ 3118 и разбавленная 1:1.
Кислота серная по ГОСТ 4204 и разбавленная 1:1, 1:4, 1:50.
Кислота азотная по ГОСТ 4461 и разбавленная 1:1.
Аммиак водный по ГОСТ 3760.
Соль динатриевая этилендиамин-N, N, N', N'-тетрауксусной кислоты, 2-водная (трилон Б) по ГОСТ 10652, раствор: 10 г трилона Б растворяют при слабом нагревании в 100 см воды и фильтруют.
Кислота лимонная по ГОСТ 3652, раствор с массовой концентрацией 0,15 г/см.
Натрия N, N-диэтилдитиокарбамат по ГОСТ 8864, раствор с массовой концентрацией 0,005 г/см, свежеприготовленный.
Железо карбонильное ос.ч.
Медь по ГОСТ 546.
Медь сернокислая; стандартный раствор А с массовой концентрацией меди 1 мг/см и стандартный раствор Б с массовой концентрацией меди 0,1 мг/см
.
Раствор А: 1 г меди растворяют при нагревании в 20-25 см азотной кислоты (1:1), прибавляют 30 см
серной кислоты (1:1), выпаривают до выделения ее паров и охлаждают. Осторожно при постоянном перемешивании добавляют 100 см
воды и нагревают до растворения солей. Раствор переносят в мерную колбу вместимостью 1 дм
, охлаждают, доливают до метки водой и перемешивают.
Раствор Б: 10 см раствора А помещают в мерную колбу вместимостью 100 см
, доливают до метки водой и перемешивают.
Натрий серноватистокислый, раствор с массовой концентрацией 0,3 г/см.
Калий пиросернокислый по ГОСТ 7172.
Желатин по ГОСТ 11293, раствор с массовой концентрацией 0,01 г/см, свежеприготовленный.
(Измененная редакция, Изм
. N 1).
2.3. Проведение анализа
2.3.1. Навеску чугуна массой 0,2 г помещают в стакан или колбу вместимостью 250-300 см, приливают 50 см
серной кислоты (1:4), накрывают часовым стеклом, растворяют при нагревании. По окончании растворения осторожно приливают 3-5 см
азотной кислоты и выпаривают до появления паров серной кислоты. Если чугун не растворяется в серной кислоте, навеску растворяют в 20 см
соляной кислоты (1:1) и 5-10 см
азотной кислоты; осторожно приливают 15 см
серной кислоты (1:1) и выпаривают раствор до появления паров серной кислоты. Содержимое стакана или колбы охлаждают, осторожно при перемешивании приливают 80-100 см
воды, нагревают до растворения солей и отфильтровывают осадок на фильтр "белая лента". Осадок промывают 7-8 раз горячей серной кислотой (1:50), собирая фильтрат и промывную жидкость в стакан вместимостью 300-400 см
. Фильтр с осадком отбрасывают.
К полученному горячему раствору приливают 40-50 см раствора серноватистокислого натрия и кипятят до полной коагуляции осадка сернистой меди и серы и просветления раствора.
Раствор с осадком охлаждают, осадок отфильтровывают на фильтр "белая лента" и промывают 6-8 раз горячей водой. Фильтр с осадком помещают в фарфоровый тигель, высушивают и озоляют. Осадок прокаливают при 500-550 °С и сплавляют с 2-3 г пиросернокислого калия. Плав выщелачивают в 25-30 см соляной кислоты (1:1). Раствор нагревают до полного растворения плава, переносят в мерную колбу вместимостью 100 см
, охлаждают, доливают до метки водой и перемешивают. Раствор фильтруют через два сухих фильтра "белая лента" в сухую колбу, отбрасывая первые порции фильтрата. Аликвотную часть раствора в соответствии с табл.1 помещают в мерную колбу вместимостью 100 см
, добавляют 5 см
, раствора лимонной кислоты, 10 см
раствора трилона Б, 5 см
раствора желатина и 15 см
водного аммиака, после прибавления каждого реактива раствор перемешивают. Добавляют 10 см
раствора диэтилдитиокарбамата натрия, доливают водой до метки и перемешивают.
Таблица 1
Массовая доля меди, % | Объем аликвотной части, см | Масса навески чугуна, соответствующая фотометрируемой аликвотной части |
От 0,05 до 0,15 | 50 | 100 |
Св. 0,15 " 0,30 | 25 | 50 |
" 0,30 " 0,7 | 10 | 20 |
" 0,7 " 1,0 | 5 | 10 |
Оптическую плотность раствора измеряют на спектрофотометре при =453 нм или фотоэлектроколориметре со светофильтром, имеющим область пропускания длин волн от 420 до 490 нм в кювете с толщиной поглощающего слоя 50 мм. В качестве раствора сравнения используют раствор контрольного опыта.
2.3.2. Построение градуировочного графика
В шесть стаканов или колб вместимостью 250-300 см помещают по 0,2 г карбонильного железа. В пять стаканов или колб приливают последовательно 2, 4, 8, 12 и 15 см
стандартного раствора Б, что соответствует 0,2; 0,4; 0,8; 1,2 и 1,5 мг меди. Шестой стакан или колба служит для проведения контрольного опыта. Далее анализ проводят, как указано в п.2.3.1. Для фотометрирования отбирают аликвотную часть раствора 10 см
.
По найденным величинам оптической плотности и соответствующим им массам меди строят градуировочный график.
2.3.1, 2.3.2. (Измененная редакция, Изм. N 1).
2.4. Обработка результатов
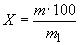
2.4.1. Массовую долю меди () в процентах вычисляют по формуле
,
где - масса меди, найденная по градуировочному графику, мг;
- масса навески чугуна, соответствующая фотометрируемой аликвотной части раствора, мг.
2.4.2. Нормы точности и нормативы контроля точности определения массовой доли меди приведены в табл.2.
Таблица 2
Массовая доля меди, % | Нормы точности и нормативы контроля точности, % | ||||
От 0,05 до 0,10 включ. | 0,010 | 0,012 | 0,010 | 0,012 | 0,006 |
Св. 0,10 " 0,2 " | 0,017 | 0,021 | 0,018 | 0,021 | 0,011 |
" 0,2 " 0,5 " | 0,026 | 0,033 | 0,028 | 0,034 | 0,017 |
" 0,5 " 1,0 " | 0,04 | 0,05 | 0,04 | 0,05 | 0,02 |
" 1,0 " 2,0 " | 0,05 | 0,07 | 0,06 | 0,07 | 0,03 |
" 2,0 " 4,0 " | 0,08 | 0,11 | 0,09 | 0,11 | 0,05 |
2.4.1, 2.4.2. (Измененная редакция, Изм. N 1).
3. ТИТРИМЕТРИЧЕСКИЙ МЕТОД
3.1. Сущность метода - по ГОСТ 12355.
3.2. Аппаратура, реактивы и растворы - по ГОСТ 12355.
3.3. Проведение анализа - по ГОСТ 12355.
3.4. Обработка результатов - по ГОСТ 12355 с дополнением, изложенным ниже.
3.4.1. Нормы точности и нормативы контроля точности определения массовой доли меди приведены в табл.2.
(Измененная редакция, Изм. N 1).
4. АТОМНО-АБСОРБЦИОННЫЙ МЕТОД
4.1. Сущность метода - по ГОСТ 12355.
4.2. Аппаратура, реактивы и растворы - по ГОСТ 12355.
4.3. Проведение анализа - по ГОСТ 12355.
4.4. Обработка результатов - по ГОСТ 12355 с дополнением, изложенным ниже.
4.4.1. Нормы точности и нормативы контроля точности определения массовой доли меди приведены в табл.2.
(Измененная редакция, Изм. N 1).
Текст документа сверен по:
официальное издание
Чугун. Марки. Технические условия.
Методы анализа: Сб. ГОСТов. -
М.: ИПК Издательство стандартов, 2004
Разместите заказ
сами сделают вам предложение
