ГОСТы сталей. ГОСТ 2604.7-84
ГОСТ 2604.7-84
Группа В09
МЕЖГОСУДАРСТВЕННЫЙ СТАНДАРТ
ЧУГУН ЛЕГИРОВАННЫЙ
Методы определения ванадия
Alloy cast iron. Methods for determination of vanadium
MКC 77.080.10
ОКСТУ 0809
Дата ведения 1985-01-01
Постановлением Государственного комитета СССР по стандартам от 27 января 1984 г. N 358 дата введения установлена 01.01.85
Ограничение срока действия снято по протоколу N 4-93 Межгосударственного совета по стандартизации, метрологии и сертификации (ИУС 4-94)
ВЗАМЕН ГОСТ 2604.7-77
ИЗДАНИЕ с Изменением N 1, утвержденным в апреле 1989 г. (ИУС 7-89).
Настоящий стандарт устанавливает метод амперометрического титрования ванадия (при массовой доле ванадия от 0,02 до 0,20%) и титриметрический метод (при массовой доле ванадия от 0,05 до 1,0%) в легированном чугуне.
Стандарт соответствует международному стандарту ИСО 4947-86 в части потенциометрического метода.
(Измененная редакция, Изм. N 1).
1. ОБЩИЕ ТРЕБОВАНИЯ
1. ОБЩИЕ ТРЕБОВАНИЯ
1.1. Общие требования к методам анализа - по ГОСТ 28473-90.
1.2. Погрешность результата анализа (при доверительной вероятности 0,95) не должна превышать предела , приведенного в таблице при выполнении следующих условий:
расхождение результатов двух (трех) параллельных измерений не должно превышать (при доверительной вероятности 0,95) значения
, приведенного в таблице;
воспроизведенное в стандартном образце значение массовой доли элемента не должно отличаться от аттестованного более чем на допускаемое (при доверительной вероятности 0,95) значение , приведенное в таблице.
При невыполнении одного из вышеуказанных условий проводят повторные измерения массовой доли ванадия. Если и при повторных измерениях требования к точности результатов не выполняются, результаты анализа признают неверными, измерения прекращают до выявления и устранения причин, вызвавших нарушение нормального хода анализа.
Расхождение двух средних результатов анализа, выполненного в различных условиях (например, при внутрилабораторном контроле воспроизводимости), не должно превышать (при доверительной вероятности 0,95) значения , приведенного в таблице.
(Введен дополнительно, Изм. N 1).
2. ОПРЕДЕЛЕНИЕ ВАНАДИЯ МЕТОДОМ АМПЕРОМЕТРИЧЕСКОГО ТИТРОВАНИЯ
2.1. Сущность метода - по ГОСТ 12351-2003.
2.2. Аппаратура, реактивы и растворы - по ГОСТ 12351-2003 с дополнениями.
Кислота серная по ГОСТ 4204-77 и разбавленная 1:1, 1:2, 1:4, 1:10.
Стандартные растворы пятиокиси ванадия.
Раствор А с массовой концентрацией ванадия 0,001 г/см: 1,7852 г пятиокиси ванадия растворяют при нагревании в 50 см
серной кислоты (1:2), прибавляют 5 см
азотной кислоты, кипятят раствор до удаления окислов азота и выпаривают до выделения паров серной кислоты. Содержимое стакана охлаждают, обмывают стенки водой и вновь выпаривают до выделения паров серной кислоты. После охлаждения прибавляют 100 см
воды и растворяют соли при нагревании. Раствор охлаждают, переносят в мерную колбу вместимостью 1000 см
, доливают до метки серной кислотой (1:10) и перемешивают.
Раствор Б с массовой концентрацией ванадия 0,0001 г/см: 100 см
стандартного раствора А помещают в мерную колбу вместимостью 1000 см
, доливают до метки серной кислотой (1:10) и перемешиваю
т.
2.3. Проведение анализа - по ГОСТ 12351-2003 с дополнением.
Если при растворении навески остается нерастворимый остаток, содержащий кремниевую кислоту и графит, то его отфильтровывают на фильтр "белая лента" и промывают 5-6 раз горячей водой, собирая фильтрат и промывные воды в стакан вместимостью 400 см. Фильтр с осадком помещают в платиновый тигель, высушивают, озоляют и прокаливают. Осадок в тигле смачивают 2-3 каплями воды, прибавляют 3-4 капли серной кислоты, 3-4 см
фтористоводородной кислоты и осторожно выпаривают до удаления паров серной кислоты. Тигель прокаливают при температуре 550-600 °С, охлаждают, остаток в тигле сплавляют с 2-3 г пиросернокислого калия. Тигель охлаждают, плав растворяют при нагревании в 30-40 см
воды в стакане вместимостью 250 см
. Полученный раствор присоединяют к фильтрату.
2.2, 2.3. (Измененная редакция, Изм. N 1).
3. ТИТРИМЕТРИЧЕСКИЙ МЕТОД
3.1.Сущность метода
Метод основан на окислении ванадия (IV) марганцовокислым калием в сернокислой среде с амперометрической, потенциометрической или визуальной индикацией конечной точки титрования ванадия (V) раствором двойной сернокислой соли закисного железа и аммония.
Хром при массовой доле свыше 3,5% удаляют отгонкой в виде хлористого хромила.
3.2. Аппаратура, реактивы и растворы
Любые установки для амперометрического или потенциометрического титрования ванадия, обеспечивающие необходимую точность определения.
Кислота фтористоводородная по ГОСТ 10484-78.
Калий пиросернокислый по ГОСТ 7172-76.
Натрий углекислый по ГОСТ 83-79, раствор 0,002 г/см.
Кислота фенилантраниловая, индикатор: 0,2 г фенилантраниловой кислоты растворяют в 100 см горячего раствора углекислого натрия, охлаждают.
Остальные реактивы, растворы и их приготовление - по п.2.2
3.3. Проведение анализа
Навеску чугуна массой 1 г - при массовой доле ванадия от 0,05 до 0,5% или 0,5 г - при массовой доле ванадия от 0,5 до 1,0% помещают в стакан вместимостью 400 см и в зависимости от химического состава чугуна растворяют одним из способов.
3.3.1. При массовой доле хрома до 3,5% навеску растворяют в 50 см серной кислоты (1:4) при умеренном нагревании, осторожно, по каплям прибавляют азотную кислоту до прекращения вспенивания и избыток ее 3-5 см
. Нагревают до удаления окислов азота и выпаривают до выделения паров серной кислоты. Если навеска не растворяется в серной кислоте (1:4), то ее растворяют в 30-40 см
соляной кислоты при нагревании, осторожно, по каплям прибавляют азотную кислоту до прекращения вспенивания и избыток ее 3-5 см
. Нагревают до удаления окислов азота. Раствор охлаждают, приливают 50 см
серной кислоты (1:4) и выпаривают до выделения паров серной кислоты. После охлаждения приливают 100 см
воды и растворяют соли при нагревании.
3.2-3.3.1. (Измененная редакция, Изм. N 1).
3.3.1.1. Если при растворении навески остается нерастворимый остаток, содержащий кремниевую кислоту и графит, то его отфильтровывают на фильтр "белая лента" и промывают 5-6 раз горячей водой, собирая фильтрат и промывные воды в стакан вместимостью 400 см. Фильтр с осадком помещают в платиновый тигель, высушивают, озоляют и прокаливают. Осадок в тигле смачивают 2-3 каплями воды, прибавляют 3-4 капли серной кислоты, 3-4 см
фтористоводородной кислоты и осторожно выпаривают до удаления паров серной кислоты. Тигель прокаливают при температуре 550-600 °С, охлаждают, остаток в тигле сплавляют с 2-3 г пиросернокислого калия. Тигель охлаждают, плав растворяют при нагревании в 30-40 см
воды в стакане вместимостью 250 см
. Полученный раствор присоединяют к фильтрату.
3.3.2. При массовой доле хрома свыше 3,5% навеску растворяют в 20-30 см соляной кислоты при нагревании, приливают 10-15 см
азотной кислоты и продолжают нагревание до полного растворения навески. Затем приливают 40-50 см
хлорной кислоты, раствор нагревают до окисления хрома и отгоняют хлористый хромил, как указано в п.2.3.
Раствор дважды выпаривают до выделения густых паров хлорной кислоты, обмывая стенки стакана водой, приливают 50 см серной кислоты (1:4) и охлаждают.
К раствору, полученному любым из способов, приведенных в пп.3.3.1 и 3.3.2, приливают 10 см раствора железа (II) сернокислого для восстановления частично окисленного хрома. Растворы охлаждают до 20 °С, при постоянном перемешивании прибавляют по каплям раствор марганцовокислого калия 25 г/дм
до появления устойчивой розовой окраски. Через 1-2 мин прибавляют по каплям раствор азотистокислого натрия 0,02 г/см
до исчезновения розовой окраски и немедленно 10 см
раствора мочевины. Через 3 мин раствор титруют раствором соли Мора, фиксируя конечную точку титрования потенциометрическим или амперометрическим методом.
При визуальной фиксации конечной точки титрования к раствору, подготовленному для титрования, прибавляют 10 см фосфорной кислоты, 80 см
серной кислоты (1:1), охлаждают, прибавляют 5-6 капель фенилантраниловой кислоты и титруют его раствором соли Мора до перехода вишневой окраски раствора в желто-зеленую.
(Измененная редакция, Изм. N 1).
4. ОБРАБОТКА РЕЗУЛЬТАТОВ
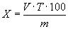
4.1. Массовую долю ванадия () в процентах вычисляют по формуле
,
где - объем раствора соли Мора, израсходованный на титрование, см
;
- массовая концентрация раствора соли Мора по ванадию, г/см
;
- масса навески чугуна, г.
4.2. Нормы точности и нормативы контроля точности определения массовой доли ванадия приведены в таблице.
Массовая доля ванадия, % | Нормы точности и нормативы контроля точности, % | ||||
От 0,02 до 0,05 включ. | 0,006 | 0,007 | 0,006 | 0,007 | 0,004 |
Св. 0,05 " 0,1 " | 0,010 | 0,012 | 0,010 | 0,012 | 0,006 |
" 0,1 " 0,2 " | 0,017 | 0,021 | 0,017 | 0,021 | 0,011 |
" 0,2 " 0,5 " | 0,026 | 0,033 | 0,028 | 0,034 | 0,017 |
" 0,5 " 1,0 " | 0,04 | 0,05 | 0,04 | 0,05 | 0,02 |
4.1, 4.2. (Измененная редакция, Изм. N 1).
Текст документа сверен по:
официальное издание
Чугун. Марки. Технические условия.
Методы анализа: Сб. ГОСТов. -
М.: ИПК Издательство стандартов, 2004
Разместите заказ
сами сделают вам предложение
