ГОСТы сталей. ГОСТ 2604.5-84
ГОСТ 2604.5-84
Группа В09
МЕЖГОСУДАРСТВЕННЫЙ СТАНДАРТ
ЧУГУН ЛЕГИРОВАННЫЙ
Методы определения марганца
Alloy cast iron. Methods for determination of manganese
МКС 77.080.10
ОКСТУ 0809
Дата введения 1985-01-01
Постановлением Государственного комитета СССР по стандартам от 27 января 1984 г. N 357 дата введения установлена 01.01.85
Ограничение срока действия снято по протоколу N 4-94 Межгосударственного совета по стандартизации, метрологии и сертификации (ИУС 4-93)
ВЗАМЕН ГОСТ 2604.5-77
ИЗДАНИЕ с Изменением N 1, утвержденным в апреле 1989 г. (ИУС 7-89).
Настоящий стандарт устанавливает фотометрический метод определения марганца (при массовой доле от 0,10 до 2,0%), титриметрический метод (при массовой доле от 0,20 до 5,0%), потенциометрический метод (при массовой доле от 2,0 до 25,0%) и атомно-абсорбционный метод (при массовой доле от 0,10 до 5,0%) в легированном чугуне.
Стандарт соответствует международному стандарту ИСО 629-82 в части фотометрического метода.
(Измененная редакция, Изм. N 1).
1. ОБЩИЕ ТРЕБОВАНИЯ
1. ОБЩИЕ ТРЕБОВАНИЯ
1.1. Общие требования к методам анализа - по ГОСТ 28473-90.
1.2. Погрешность результата анализа (при доверительной вероятности 0,95) не должна превышать , приведенного в табл.2, при выполнении следующих условий:
расхождение результатов двух (трех) параллельных измерений не должно превышать (при доверительной вероятности 0,95) значения
, приведенного в табл.2;
воспроизведенное в стандартном образце значение массовой доли элемента не должно отличаться от аттестованного более чем на допускаемое (при доверительной вероятности 0,85) значение , приведенное в табл.2.
При невыполнении одного из вышеуказанных условий проводят повторные измерения массовой доли марганца. Если и при повторных измерениях требования к точности результатов не выполняются, результаты анализа признают неверными, измерения прекращают до выявления и устранения причин, вызвавших нарушение нормального хода анализа.
Расхождение двух средних результатов анализа, выполненного в различных условиях (например, при внутрилабораторном контроле воспроизводимости), не должно превышать (при доверительной вероятности 0,95) значения , приведенного в табл.2.
(Введен дополнительно, Изм. N 1).
2. ФОТОМЕТРИЧЕСКИЙ МЕТОД
2.1.Сущность метода
Метод основан на реакции окисления двухвалентного марганца до семивалентного йоднокислым калием в сернокислой или азотнокислой среде и измерении оптической плотности окрашенного комплекса при длине волны 545 нм.
Влияние железа устраняют прибавлением фосфорной кислоты.
2.2. Аппаратура, реактивы и растворы
Спектрофотометр или фотоэлектроколориметр.
Кислота соляная по ГОСТ 3118-77.
Кислота азотная по ГОСТ 4461-77 и разбавленная 1:1, 1:100.
Кислота серная по ГОСТ 4204-77 и разбавленная 1:4.
Кислота ортофосфорная по ГОСТ 6552-80.
Смесь кислот: к 750 см воды осторожно при непрерывном перемешивании приливают 150 см
серной кислоты, охлаждают, приливают 100 см
ортофосфорной кислоты, перемешивают и охлаждают.
Калий йоднокислый, раствор 50 г/дм: 50 г йоднокислого калия растворяют в 800 см
азотной кислоты (1:1), раствор охлаждают, доливают водой до 1 дм
и перемешивают.
Калий марганцовокислый по ГОСТ 20490-75.
Водорода перекись по ГОСТ 10929-76, раствор 0,3 г/см.
Железо карбонильное ос. ч.
Натрий азотистокислый по ГОСТ 4197-74, раствор 1 г/см.
Стандартные растворы сернокислого марганца:
раствор А с массовой концентрацией 0,0002 г/см: 0,5754 г марганцовокислого калия перекристаллизованного и высушенного на воздухе помещают в стакан вместимостью 250 см
, прибавляют 20 см
серной кислоты (1:4) и осторожно, по каплям, при перемешивании добавляют перекись водорода или соляную кислоту до обесцвечивания раствора. Раствор выпаривают до начала кристаллизации. Соли растворяют при нагревании в 20-30 см
воды, охлаждают, переносят в мерную колбу вместимостью 1 дм
, доливают водой до метки и перемешивают.
Раствор Б с массовой концентрацией 0,0001 г/см: 100 см
стандартного раствора А помещают в мерную колбу вместимостью 200 см
, доливают до метки водой и перемешивают.
Вода, не содержащая восстановителей: в колбу вместимостью 2 дм наливают 1 дм
воды, добавляют по каплям серную кислоту до рН 3 по универсальной индикаторной бумаге, нагревают до кипения, прибавляют несколько кристаллов йоднокислого калия, кипятят 5-7 мин и охлаждают.
Вода, не содержащая восстановителей, применяется для разбавления окисленных растворов, приготовленных для фотом
етрирования.
2.1, 2.2. (Измененная редакция, Изм. N 1).
2.3. Проведение анализа
2.3.1. Навеску чугуна в зависимости от массовой доли марганца (см. табл.1) помещают в стакан вместимостью 250 см, приливают 30 см
смеси серной и ортофосфорной кислоты, стакан накрывают часовым стеклом и нагревают 5-10 мин.
Таблица 1
Массовая доля марганца, % | Масса навески чугуна, г | Аликвотная часть раствора, см |
От 0,10 до 0,50 | 1 | 50 |
Св. 0,50 " 2,0 | 0,5 | 25 |
Затем осторожно приливают 10 см азотной кислоты и нагревают до полного растворения навески.
Нерастворимые в этих условиях чугуны растворяют в соляной кислоте или в соляной кислоте с добавлением азотной кислоты. Затем к раствору приливают 30 см смеси серной или ортофосфорной кислот, выпаривают его до появления паров серной кислоты и охлаждают. Обмывают стенки стакана водой и снова выпаривают раствор до появления паров серной кислоты.
Содержимое стакана охлаждают, растворяют соли при нагревании в 50-60 см воды и отфильтровывают осадок кремниевой кислоты и графита на фильтр "белая лента", собирая фильтрат и промывную жидкость в мерную колбу вместимостью 250 см
. Стакан и осадок на фильтре промывают три-пять раз азотной кислотой (1:100). Фильтр с осадком отбрасывают. Содержимое колбы охлаждают, доливают до метки водой и перемешивают. Аликвотную часть (см. табл.1) раствора помещают в коническую колбу вместимостью 250 см
, приливают воду приблизительно до 50 см
, 25 см
смеси серной и ортофосфорной кислот и 10 см
раствора йоднокислого калия.
(Измененная редакция, Изм. N 1
).
2.3.2. Содержимое колбы нагревают до кипения, кипятят 1 мин и выдерживают при температуре, близкой к температуре кипения, в течение 40-50 мин. Затем раствор охлаждают, переносят в мерную колбу вместимостью 100 см, доливают водой, не содержащей восстановителей, до метки и перемешивают.
Оптическую плотность раствора измеряют на спектрофотометре при длине волны 545 нм или на фотоэлектроколориметре со светофильтром, имеющим область пропускания в интервале длин волн 530-550 нм, в кювете с толщиной поглощающего свет слоя 20 мм.
В качестве раствора сравнения используют полученный раствор, добавив к нему несколько капель раствора азотистокислого натрия для восстановления марганцовой кислоты (до исчезновения розовой окраски).
Для внесения поправки в результаты анализа на содержание марганца в реактивах через все стадии анализа проводят контрольный опыт, оптическую плотность раствора которого измеряют относительно своего раствора сравнения, который получают аналогично выше приведенному.
По найденному значению оптической плотности исследуемого раствора с учетом оптической плотности раствора контрольного опыта находят количество марганца в миллиграммах по градуировочному графику.
2.3.3. Построение градуировочного графика
Навеску карбонильного железа массой 2 г помещают в стакан вместимостью 250 см, приливают 50 см
смеси серной и ортофосфорной кислот и растворяют при нагревании. Раствор окисляют, прибавляя по каплям азотную кислоту, кипятят до удаления окислов азота и охлаждают. Раствор переносят в мерную колбу вместимостью 100 см
, доливают до метки водой и перемешивают.
По 10 см полученного раствора помещают в восемь конических колб вместимостью 250 см
, семь колб добавляют последовательно 1; 2; 4; 6; 8; 10 и 12 см
стандартного раствора Б, что соответствует 0,1; 0,2; 0,4; 0,6; 0,8; 1,0 и 1,2 мг марганца. В восьмой колбе проводят контрольный опыт на содержание марганца в реактивах.
Раствор в каждой колбе разбавляют водой до 50 см, прибавляют по 25 см
смеси серной и ортофосфорной кислот и по 10 см
раствора йоднокислого калия. Далее анализ проводят по п.2.3.2.
В качестве раствора сравнения используют раствор контрольного опыта.
По найденным величинам оптической плотности и соответствующим им значениям концентраций марганца строят градуировочный график.
(Измененная редакция, Изм. N
1).
2.4. Обработка результатов
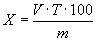
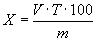
2.4.1. Массовую долю марганца () в процентах вычисляют по формуле
,
где - масса навески чугуна, соответствующая фотометрируемой аликвотной части раствора, мг;
- масса марганца, найденная по градуировочному графику, мг.
(Измененная редакция, Изм. N 1).
2.4.2. Абсолютные допускаемые расхождения результатов параллельных определений при доверительной вероятности 0,95 не должны превышать указанных в табл.2.
3. ТИТРИМЕТРИЧЕСКИЙ МЕТОД ДЛЯ ЧУГУНА С МАССОВОЙ ДОЛЕЙ КОБАЛЬТА ДО 1,0%
3.1.Определение марганца в чугунах, содержащих до 1,0% хрома
3.1.1. Сущность метода
Метод основан на окислении двухвалентного марганца в кислой среде до семивалентного надсернокислым аммонием в присутствии катализатора азотнокислого серебра. Полученную марганцовую кислоту оттитровывают раствором арсенит-нитрита натрия.
3.1.2. Реактивы и растворы
Кислота азотная по ГОСТ 4461-77.
Кислота серная по ГОСТ 4204-77 и разбавленная 1:4.
Кислота ортофосфорная по ГОСТ 6552-80.
Смесь кислот: к 550 см воды осторожно, при непрерывном перемешивании, приливают 90 см
серной кислоты, охлаждают, приливают 100 см
ортофосфорной кислоты, перемешивают и переливают 260 см
азотной кислоты.
Серебро азотнокислое по ГОСТ 1277-75, раствор 0,005, г/см.
Натрий хлористый по ГОСТ 4233-77, раствор 0,005 г/см.
Бумага индикаторная, универсальная.
Аммоний надсернокислый по ГОСТ 20478-75, раствор 0,2 г/см.
Мышьяковистый ангидрид по ГОСТ 1973-77.
Натрий мышьяковистокислый орто (арсенит натрия).
Натрий двууглекислый по ГОСТ 4201-79.
Натрия гидроокись по ГОСТ 4328-77, раствор 0,15 г/см.
Натрий азотистокислый по ГОСТ 4197-74.
Натрия арсенит-нитрит, стандартный раствор: 1,5 г мышьяковистого ангидрида помещают в стакан вместимостью 400-600 см, содержащий 25 см
горячего раствора гидроокиси натрия, растворяют при умеренном нагревании, разбавляют водой до 120-130 см
, охлаждают. Затем к раствору приливают серную кислоту (1:4) до рН 7 по универсальному индикатору и 2-3 см
в избыток. Добавляют двууглекислый натрий до рН 7 по универсальной индикаторной бумаге.
В полученном растворе растворяют 0,85 г азотистокислого натрия, раствор переносят в мерную колбу вместимостью 1 дм, разбавляют водой до метки и перемешивают.
Допускается приготовление стандартного раствора из арсенита натрия: 2,91 г арсенита натрия помещают в стакан вместимостью 400 см, приливают 120-150 см
воды и перемешивают до полного растворения соли.
Далее подготовку раствора проводят так же, как из мышьяковистого ангидрида. При содержании в соли кристаллизационной воды ее учитывают при вычислении навески, необходимой для приготовления стандартного раствора.
Массовую концентрацию раствора арсенит-нитрита натрия устанавливают по стандартным образцам чугуна с химическим составом, соответствующим требованиям настоящего стандарта, и вычисляют по формуле
,
где - масса навески стандартного образца, г;
- массовая доля марганца в стандартном образце, %;
- объем раствора арсенит-нитрита натрия, израсходованный на титрование, см
.
3.1.3. Проведение анализа
Навеску чугуна массой 0,5 г (при массовой доле марганца от 0,20 до 0,8%) или массой 0,25 г (при массовой доле марганца от 0,8 до 5,0%) помещают в коническую колбу вместимостью 250 см, приливают 30-40 см
смеси кислот и растворяют при нагревании. Раствор кипятят до удаления окислов азота.
Нерастворимый остаток, содержащий кремниевую кислоту и графит, отфильтровывают на фильтр средней плотности "белая лента" и промывают 5-6 раз горячей водой, собирая фильтрат и промывные воды в коническую колбу вместимостью 250 см.
Раствор разбавляют водой до 100 см, прибавляют 10 см
раствора азотнокислого серебра, 20 см
раствора надсернокислого аммония, нагревают до кипения и кипятят 1 мин, выдерживают на теплой плите до прекращения выделения пузырьков кислорода.
Затем раствор охлаждают до комнатной температуры, приливают 10 см раствора хлористого натрия и быстро титруют раствором арсенит-нитрита натрия до исчезновения малиновой окраски
.
3.1.2, 3.1.3. (Измененная редакция, Изм. N 1).
3.1.4. Обработка результатов
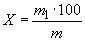
3.1.4.1. Массовую долю марганца () в процентах вычисляют по формуле
,
где - объем раствора арсенит-нитрита натрия, израсходованный на титрование, см
;
- массовая концентрация раствора арсенит-нитрита натрия по марганцу, г/см
;
- масса навески чугуна, г.
(Измененная редакция, Изм. N 1).
3.1.4.2. Абсолютные допускаемые расхождения результатов параллельных определений при доверительной вероятности 0,95 не должны превышать указанных в табл.2.
3.2. Определение марганца в чугунах, содержащих свыше 1,0% хрома
3.2.1. Сущность метода
Сущность метода по п.3.1.1 с дополнением: мешающие определению марганца элементы осаждают окисью цинка.
3.2.2. Реактивы и растворы
Кислота соляная по ГОСТ 3118-77.
Аммиак водный по ГОСТ 3760-79.
Окись цинка по ГОСТ 10262-73, суспензия в воде: 50 г окиси цинка, не содержащей марганца, карбонатов и восстановителей, помещают в фарфоровую ступку и тщательно растирают пестиком с горячей водой, затем добавляют 250-300 см горячей воды и перемешивают.
Окись цинка, содержащую карбонаты и восстановители, предварительно прокаливают при 800 °С.
Остальные реактивы и растворы по п.3.1.2.
3.2.3. Проведение анализа
Навеску чугуна массой 1 г (при массовой доле марганца от 0,20 до 0,8%) или массой 0,5 г (при массовой доле марганца от 0,8 до 5,0%) помещают в коническую колбу вместимостью 250 см, приливают 40-50 см
серной кислоты (1:4) и растворяют при нагревании. Прибавляют по каплям азотную кислоту до прекращения вспенивания раствора и 2-3 см
в избыток. Раствор выпаривают до появления паров серной кислоты, охлаждают. Стенки колбы обмывают водой, прибавляют около 50 см
воды и растворяют соли при нагревании.
Если чугун не растворяется в смеси серной и азотной кислот, навеску растворяют в 30 см смеси соляной и азотной кислот в соотношении 3:1 при нагревании, охлаждают. Приливают 10 см
серной кислоты, выпаривают раствор до появления паров серной кислоты и снова охлаждают. Стенки стакана обмывают водой, раствор выпаривают до появления паров серной кислоты, охлаждают, прибавляют около 50 см
воды и растворяют соли при нагревании.
Раствор, полученный любым из этих способов, переносят в мерную колбу вместимостью 250 см и прибавляют раствор аммиака до появления красно-бурой окраски. В случае появления осадка гидроокисей добавляют по каплям серную кислоту (1:4) до растворения осадка.
К раствору прибавляют небольшими порциями суспензию окиси цинка до полной коагуляции осадка гидроокисей (на дне колбы должен быть небольшой избыток суспензии окиси цинка).
Содержимое колбы охлаждают, доливают водой до метки, перемешивают и дают осадку отстояться.
Раствор фильтруют через сухой фильтр средней плотности "белая лента" в сухую мерную колбу вместимостью 100 см, отбрасывая первые порции фильтрата. Наполнив колбу до метки, раствор переносят в коническую колбу вместимостью 250 см
, прибавляют 40 см
смеси кислот и заканчивают определение по п.3
.1.3.
3.2.2, 3.2.3. (Измененная редакция, Изм. N 1).
3.2.4. Обработка результатов - по п.3.1.4.
4. ПОТЕНЦИОМЕТРИЧЕСКИЙ МЕТОД ДЛЯ ЧУГУНА С МАССОВОЙ ДОЛЕЙ ВАНАДИЯ ДО 0,10%
4.1.Сущность метода
Метод основан на окислении двухвалентного марганца до трехвалентного марганцовокислым калием в нейтральной среде. Железо, хром и другие элементы, мешающие определению марганца, связывают в пирофосфатные комплексы.
4.2. Аппаратура, реактивы и растворы
Установка для потенциометрического титрования с парой электродов: платина - насыщенный каломельный; платина - вольфрамовый или платина - платиновый.
Кислота соляная, по ГОСТ 3118-77, разбавленная 1:1.
Кислота азотная по ГОСТ 4461-77.
Кислота серная по ГОСТ 4204-77, разбавленная 1:20.
Натрий фосфорнокислый пиро по ГОСТ 342-77, раствор 120 г/дм.
Аммиак водный по ГОСТ 3760-79, разбавленный 1:1.
Мочевина по ГОСТ 6691-77, раствор 50 г/дм.
Бумага индикаторная, универсальная.
Натрий щавелевокислый по ГОСТ 5839-77, перекристаллизованный и высушенный при 105-110 °С до постоянной массы.
Калий марганцовокислый по ГОСТ 20490-75, стандартный раствор с молярной концентрацией эквивалента, равной 0,05 моль/дм: 1,58 г перекристаллизованного и высушенного при 120 °С марганцовокислого калия растворяют в 1 дм
воды. Раствор оставляют стоять на 6 сут в закрытой склянке, затем его сифонируют в склянку из темного стекла.
Массовую концентрацию стандартного раствора марганцовокислого калия устанавливают по щавелевокислому натрию.
В коническую колбу вместимостью 500 см помещают 200 см
серной кислоты (1:20), нагревают до 70-75 °С и прибавляют по каплям раствор марганцовокислого калия до устойчивой розовой окраски.
К содержимому колбы прибавляют 0,1 г щавелевокислого натрия и после растворения навески титруют при перемешивании раствором марганцовокислого калия до устойчивой в течение 1 мин розовой окраски. К концу титрования температура раствора должна быть не ниже 60 °С.
Массовую концентрацию раствора марганцовокислого калия (), выраженную в граммах марганца, вычисляют по формуле
,
где 0,656 - коэффициент пересчета массовой концентрации раствора марганцовокислого калия, установленного по щавелевокислому натрию, на массовую концентрацию, выраженную в граммах марганца; - масса навески щавелевокислого натрия, г;
- объем раствора марганцовокислого калия, израсходованный на титрование, см
.
4.3. Проведение анализа
Навеску чугуна массой 1 г помещают в стакан вместимостью 250 см и растворяют при слабом нагревании в 40-50 см
соляной кислоты (1:1), прибавляют по каплям азотную кислоту до прекращения вспенивания. Раствор кипятят до удаления окислов азота, выпаривают до 5-8 см
, прибавляют 50 см
воды и растворяют соли при нагревании.
Нерастворимый остаток, содержащий кремниевую кислоту и графит, отфильтровывают через фильтр средней плотности "белая лента", промывают 5-6 раз горячей водой, собирая фильтрат и промывные воды в мерную колбу вместимостью 250 см.
Фильтрат охлаждают, доливают до метки водой и перемешивают.
Аликвотную часть испытуемого раствора 50 см помещают в стакан вместимостью 400 см
, приливают 5 см
раствора мочевины, 100 см
раствора пирофосфорнокислого натрия и устанавливают рН среды около 7 по универсальной индикаторной бумаге, прибавляя, если необходимо, по каплям соляную кислоту (1:1) или раствор аммиака (1:1).
Подготовленный таким образом раствор титруют раствором марганцовокислого калия на потенциометрической установке до скачка потенциала.
(Измененная редакция, Изм. N
1).
4.4. Обработка результатов
4.4.1. Массовую долю марганца () в процентах вычисляют по формуле
,
где - объем раствора марганцовокислого калия, израсходованный на титрование, см
;
- массовая концентрация раствора марганцовокислого калия по марганцу, г/см
;
- масса навески чугуна, г.
(Измененная редакция, Изм. N 1).
4.4.2. Абсолютные допускаемые расхождения результатов параллельных определений при доверительной вероятности 0,95 не должны превышать указанных в табл.2.
5. АТОМНО-АБСОРБЦИОННЫЙ МЕТОД
5.1. Атомно-абсорбционный метод определения марганца - по ГОСТ 12348-78 с дополнениями.
5.2. Абсолютные допускаемые расхождения результатов параллельных определений при доверительной вероятности 0,95 не должны превышать указанных в табл.2.
Таблица 2
Массовая доля марганца, % | Нормы точности и нормативы контроля точности, % | ||||
От 0,1 до 0,2 включ. | 0,012 | 0,015 | 0,012 | 0,015 | 0,008 |
Св. 0,2 " 0,5 " | 0,019 | 0,024 | 0,019 | 0,024 | 0,012 |
" 0,5 " 1,0 " | 0,026 | 0,033 | 0,028 | 0,034 | 0,017 |
" 1,0 " 2,0 " | 0,04 | 0,05 | 0,04 | 0,05 | 0,02 |
" 2,0 " 5,0 " | 0,06 | 0,08 | 0,06 | 0,08 | 0,04 |
" 5,0 " 10 " | 0,08 | 0,11 | 0,09 | 0,11 | 0,06 |
" 10 " 25 " | 0,15 | 0,19 | 0,15 | 0,19 | 0,10 |
(Измененная редакция, Изм. N 1).
Текст документа сверен по:
официальное издание
Чугун. Марки. Технические условия.
Методы анализа: Сб. ГОСТов. -
М.: ИПК Издательство стандартов, 2004
Разместите заказ
сами сделают вам предложение
