ГОСТы сталей. ГОСТ 2604.4-87
ГОСТ 2604.4-87
Группа В09
МЕЖГОСУДАРСТВЕННЫЙ СТАНДАРТ
ЧУГУН ЛЕГИРОВАННЫЙ
Методы определения фосфора
Alloy cast iron. Methods for determination of phosphorus
MКC 77.080.10
ОКСТУ 0809
Дата введения 1988-01-01
ИНФОРМАЦИОННЫЕ ДАННЫЕ
1. РАЗРАБОТАН И ВНЕСЕН Министерством черной металлургии СССР
РАЗРАБОТЧИКИ
В.Л.Пилюшенко, Ю.Т.Худик, Т.Я.Каленченко, В.П.Корж, М.А.Дружинин, Т.Н.Полторацкая
2. УТВЕРЖДЕН И ВВЕДЕН В ДЕЙСТВИЕ Постановлением Государственного комитета СССР по стандартам от 19.02.87 N 281
3. ВЗАМЕН ГОСТ 2604.4-77
4. ССЫЛОЧНЫЕ НОРМАТИВНО-ТЕХНИЧЕСКИЕ ДОКУМЕНТЫ
Обозначение НТД, на которые дана ссылка | Номер пункта, подпункта, перечисления, приложения |
ГОСТ 195-77 | 2.2 |
ГОСТ 3118-77 | 2.2, 3.2 |
ГОСТ 3760-79 | 3.2 |
ГОСТ 3765-78 | 2.2, 3.2 |
ГОСТ 4198-75 | 2.2, 3.2 |
ГОСТ 4204-77 | 2.2, 3.2 |
ГОСТ 4461-77 | 2.2, 3.2 |
ГОСТ 7298-79 | 3.2 |
ГОСТ 10484-78 | 2.2 |
ГОСТ 18300-87 | 2.2 |
ГОСТ 19275-73 | 3.2 |
ГОСТ 20490-75 | 2.2, 3.2 |
ГОСТ 28473-90 | 1.1 |
5. Ограничение срока действия снято по протоколу N 2-92 Межгосударственного совета по стандартизации, метрологии и сертификации (ИУС 2-93)
6. ПЕРЕИЗДАНИЕ
Настоящий стандарт устанавливает фотометрические методы определения фосфора в легированных чугунах: при массовой доле фосфора от 0,02 до 0,25% с применением восстановителя - аскорбиновой кислоты; при массовой доле фосфора от 0,25 до 2,0% с применением восстановителя - ионов двухвалентного железа.
1. ОБЩИЕ ТРЕБОВАНИЯ
1. ОБЩИЕ ТРЕБОВАНИЯ
1.1. Общие требования к методам анализа - по ГОСТ 28473.
2. ФОТОМЕТРИЧЕСКИЙ МЕТОД С ПРИМЕНЕНИЕМ ВОССТАНОВИТЕЛЯ - АСКОРБИНОВОЙ КИСЛОТЫ (при массовой доле фосфора от 0,02 до 0,25%)
2.1.Сущность метода
Метод основан на образовании фосфорномолибденовой гетерополикислоты и восстановлении ее до комплексного соединения, окрашенного в синий цвет, аскорбиновой кислотой в присутствии калия сурьмяновиннокислого (=880 нм, оптимальная концентрация фосфора 3-40 мкг и 100 см
фотометрируемого раствора). Влияние мышьяка устраняется восстановлением его до трехвалентного сернистокислым натрием.
2.2. Аппаратура и реактивы
Шкаф сушильный с температурой нагрева 105-110 °С.
Спектрофотометр или фотоэлектроколориметр.
Стеклоуглеродный тигель марки СУ-2000-1C N 4 или стеклоуглеродная чаша 550 СУ-2000-1C N 2.
Кислота азотная по ГОСТ 4461 и разбавленная 1:2.
Кислота соляная по ГОСТ 3118.
Кислота серная по ГОСТ 4204, разбавленная 1:1, и раствор с молярной концентрацией 3 моль/дм: 84 см
серной кислоты осторожно вливают при непрерывном перемешивании в 916 см
воды.
Калий марганцовокислый по ГОСТ 20490, раствор с массовой концентрацией 40 г/дм.
Натрий сернистокислый 7-водный, раствор с массовой концентрацией 200 г/дм или
натрий сернистокислый по ГОСТ 195, раствор с массовой концентрацией 100 г/дм.
Спирт этиловый ректификованный технический по ГОСТ 18300.
Аммоний молибденовокислый по ГОСТ 3765, перекристаллизованный: 250 г молибденовокислого аммония растворяют в 400 см воды при нагревании 70-80 °С, фильтруют через фильтр "синяя лента", охлаждают до комнатной температуры, приливают при перемешивании 300 см
этилового спирта, дают осадку отстояться в течение 1 ч и отфильтровывают его на фильтр "белая лента", помещенный в воронку Бюхнера, пользуясь водоструйным насосом. Осадок промывают два-три раза этиловым спиртом и высушивают на воздухе.
Серномолибдатный реактив: 7 г молибденовокислого аммония растворяют в 400 см воды, приливают 84 см
серной кислоты, перемешивают, охлаждают, доливают водой до 1 дм
и перемешивают. Кислота фтористоводородная по ГОСТ 10484.
Кислота аскорбиновая, раствор с массовой концентрацией 40 г/дм.
Калий сурьмяновиннокислый, раствор с массовой концентрацией 3 г/дм.
Калий фосфорнокислый однозамещенный по ГОСТ 4198, дважды перекристаллизованный:
100 г реактива растворяют в 150 см воды при нагревании, выливают раствор тонкой струей в фарфоровую чашку, энергично перемешивая его стеклянной палочкой. Когда раствор охладится до комнатной температуры, чашку с кристаллами охлаждают в холодной проточной воде, изредка перемешивая его стеклянной палочкой. После охлаждения кристаллы отфильтровывают под вакуумом на пористую стеклянную пластину воронки и промывают два раза по 5 см
ледяной водой. Осадок на фильтре растворяют в четыре-пять приемов в 80 см
горячей воды и кристаллизацию повторяют. Кристаллы фосфорнокислого калия однозамещенного высушивают при (110±5) °С до постоянной массы.
Стандартные растворы фосфора
Раствор А с массовой концентрацией фосфора 0,001 г/см: 4,393 г однозамещенного фосфорнокислого калия растворяют в воде и доводят объем раствора до 1 дм
.
Раствор Б с массовой концентрацией фосфора 0,00001 г/см; готовят перед употреблением разбавлением 10 см
раств
ора А до 1 дм.
2.3. Проведение анализа
Навеску чугуна (табл.1) помещают в стакан или плоскодонную колбу вместимостью 200-250 см, приливают 30 см
азотной кислоты (1:2) и нагревают до растворения.
Таблица 1
Массовая доля фосфора, % | Масса навески чугуна, г | Аликвотная часть раствора, см |
От 0,02 до 0,05 | 0,5 | 10 |
Св. 0,05 " 0,10 | 0,3 | 10 |
" 0,10 " 0,25 | 0,2 | 5 |
Прибавляют по каплям раствор марганцовокислого калия до выпадения бурого осадка двуокиси марганца и кипятят 2-3 мин. К кипящему раствору прибавляют по каплям раствор сернистокислого натрия до полного просветления и кипятят до удаления окислов азота.
Если навеска чугуна не растворяется в азотной кислоте, ее растворяют в 20-30 см смеси соляной и азотной кислот (3:1). После полного растворения навески приливают 10 см
серной кислоты (1:1) и выпаривают раствор до паров серной кислоты. Соли растворяют при нагревании в 50-60 см
воды. Прибавляют по каплям раствор марганцовокислого калия до выпадения бурого осадка двуокиси марганца и кипятят 2-3 мин. К кипящему раствору прибавляют по каплям раствор сернистокислого натрия до полного просветления и кипятят до удаления окислов азота.
Если массовая доля кремния в анализируемом образце свыше 1,0%, навеску чугуна помещают в стеклоуглеродный тигель 4 или стеклоуглеродную чашку 2 и растворяют при слабом нагревании в 20 см смеси соляной и азотной кислот (3:1) и 5 см
фтористоводородной кислоты. После полного растворения навески приливают 10 см
серной кислоты (1:1) и выпаривают раствор до паров серной кислоты.
Соли растворяют при нагревании в 50-60 см воды. К кипящему раствору прибавляют по каплям раствор марганцовокислого калия (1-2 см
) до выпадения бурого осадка двуокиси марганца, который растворяют, прибавляя по каплям раствор сернистокислого натрия до исчезновения окраски. Раствор после разрушения двуокиси марганца переносят в мерную колбу вместимостью 100 см
, охлаждают, доводят водой до метки, перемешивают и фильтруют через сухой фильтр "белая лента" в коническую колбу вместимостью 150-200 см
, отбрасывая первые порции раствора, предварительно ополоснув ими колбу.
В зависимости от массовой доли фосфора отбирают две аликвотные части раствора (табл.1) в мерные колбы вместимостью 100 см, приливают по 25 см
воды, по 3 см
сернистокислого натрия и кипятят в течение 2-3 мин. Растворы охлаждают, затем в одну из колб прибавляют по каплям при непрерывном перемешивании 10 см
серномолибдатного реактива, во вторую - 10 см
раствора серной кислоты с молярной концентрацией эквивалента 3 моль/дм
. Затем в обе колбы приливают 5 см
аскорбиновой кислоты и 1 см
раствора сурьмяновиннокислого калия, доливают до метки водой и перемешивают.
Оптическую плотность раствора измеряют через 45 мин на фотоэлектроколориметре при длине волны (630±20) нм (красный светофильтр) или на спектрофотометре при длине волны 880 нм относительно раствора, не содержащего молибд
ата аммония.
2.4. Построение градуировочного графика
Для построения градуировочного графика в пять или шесть мерных колб вместимостью 100 см помещают 1; 1,5; 2; 2,5 и 3 см
стандартного раствора Б однозамещенного фосфорнокислого калия, что соответствует 0,00001; 0,000015; 0,00002; 0,000025 и 0,00003 г фосфора в 100 см
фотометрируемого объема. Приливают воду до 25 см
, затем приливают при непрерывном перемешивании 10 см
серномодибдатного реактива, 5 см
раствора аскорбиновой кислоты и 1 см
раствора сурьмяновиннокислого калия, доливают до метки водой и далее поступают, как указано в п.2.3.
Шестая мерная колба вместимостью 100 см, в которую добавлены все реактивы, кроме стандартного раствора фосфора, служит для проведения контрольного опыта на содержание фосфора в реактивах, применяемых при построении градуировочного графика, и служит раствором сравнени
я.
2.5. Обработка результатов
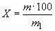
2.5.1. Массовую долю фосфора () в процентах вычисляют по формуле
,
где - масса фосфора в аликвотной части, найденная по градуировочному графику, г;
- масса навески чугуна, соответствующая аликвотной части раствора, г.
2.5.2. Абсолютные расхождения результатов трех параллельных определений при доверительной вероятности =0,95 не должны превышать допускаемых значений, приведенных в табл.2.
Таблица 2
Массовая доля фосфора, % | Абсолютное допускаемое расхождение, % |
От 0,02 до 0,05 | 0,004 |
Св. 0,05 " 0,10 | 0,006 |
" 0,10 " 0,25 | 0,010 |
3. ФОТОМЕТРИЧЕСКИЙ МЕТОД С ПРИМЕНЕНИЕМ ВОССТАНОВИТЕЛЯ - ИОНОВ ДВУХВАЛЕНТНОГО ЖЕЛЕЗА (при массовой доле фосфора от 0,25 до 2,0%)
3.1.Сущность метода
Метод основан на образовании фосфорномолибденовой гетерополикислоты и восстановлении ее ионами двухвалентного железа в присутствии гидроксиламина до комплексного соединения, окрашенного в синий цвет (=600-900 нм, оптимальная концентрация фосфора 10-100 мкг в 100 см
фотометрируемого раствора).
Мышьяк удаляют отгонкой в виде бромида, если массовая доля его превышает 0,005%.
3.2. Аппаратура и реактивы
Шкаф сушильный с температурой нагрева 105-110 °С.
Спектрофотометр или фотоэлектроколориметр.
Кислота азотная по ГОСТ 4461 и разбавленная 1:6.
Кислота серная по ГОСТ 4204 и раствор с молярной концентрацией эквивалента 8 моль/дм.
Кислота соляная по ГОСТ 3118 и разбавленная 1:1.
Калий марганцовокислый по ГОСТ 20490, раствор с массовой концентрацией 40 г/дм.
Гидроксиламин сернокислый по ГОСТ 7298, раствор с массовой концентрацией 200 г/дм.
Квасцы железоаммонийные, раствор с массовой концентрацией 432,5 г/дм: 432,5 г квасцов растворяют в присутствии 20 см
серной кислоты в 1 дм
воды.
Аммоний молибденовокислый по ГОСТ 3765.
Серномолибдатный реактив: 55,2 г молибденовокислого аммония растворяют при нагревании в 250-300 см воды, отфильтровывают через плотный фильтр в мерную колбу вместимостью 1 дм
, охлаждают и медленно при непрерывном перемешивании приливают 230 см
серной кислоты, раствор охлаждают, доводят водой до метки и перемешивают.
Аммиак водный по ГОСТ 3760, разбавленный 1:1.
Аммоний бромистый по ГОСТ 19275, раствор с массовой концентрацией 100 г/дм.
Калий фосфорнокислый однозамещенный по ГОСТ 4198, стандартные растворы А и Б.
Раствор А с массовой концентрацией фосфора 0,001 г/см: 4,393 г однозамещенного фосфорнокислого калия, высушенного при температуре (105±5) °С до постоянной массы, растворяют в воде и доводят объем раствора до 1 дм
.
Раствор Б с массовой концентрацией фосфора 0,00001 г/см: готовят перед употреблением разбавлением 10 см
раствора А
до 1 дм.
3.3. Проведение анализа
3.3.1. Навеску чугуна массой 0,2 г помещают в стакан или плоскодонную колбу вместимостью 200-250 см, приливают 30 см
азотной кислоты (1:6) и нагревают до растворения навески.
Если навеска чугуна не растворяется в азотной кислоте, приливают 5 см азотной кислоты и 15 см
соляной кислоты и нагревают до растворения. Раствор выпаривают до состояния влажных солей, затем приливают 20 см
азотной кислоты и вновь выпаривают раствор до состояния влажных солей, после чего приливают 5-10 см
азотной кислоты, 15-20 см
воды и нагревают до растворения солей
Если массовая доля мышьяка в анализируемом чугуне свыше 0,005%, его удаляют отгонкой. Для этого раствор после растворения навески выпаривают досуха. К сухому остатку приливают 10 см соляной кислоты и снова выпаривают досуха. Эту операцию повторяют два раза. Сухой остаток растворяют при нагревании в 15 см
соляной кислоты (1:1), приливают 10 см
раствора бромистого аммония и выпаривают раствор досуха. После этого приливают 30 см
азотной кислоты (1:6) и нагревают до растворения солей.
К кипящему раствору прибавляют по каплям раствор марганцовокислого калия до выпадения бурого осадка двуокиси марганца. К горячему раствору по каплям прибавляют раствор гидроксиламина до обесцвечивания. Кипятят раствор 1-2 мин для удаления окислов азота, охлаждают и переносят в мерную колбу вместимостью 100 см, доводят водой до метки и перемешивают. Полученный раствор фильтруют через сухой фильтр "белая лента" в коническую колбу вместимостью 150-200 см
, отбрасывая первые порции фильтрата, предварительно ополоснув ими колбу.
Отбирают две аликвотные части раствора по 5 см в конические колбы вместимостью 100 см
, приливают по 20-25 см
воды и по 2 см
раствора железоаммонийн
ых квасцов.
3.3.2. Растворы нейтрализуют аммиаком, прибавляя его по каплям до выпадения неисчезающей мути гидроокиси железа, затем прибавляют 5 см раствора гидроксиламина. Содержимое колб нагревают до исчезновения желтой окраски раствора.
Если растворы сохраняют желтую окраску, добавляют 1-2 капли раствора аммиака. При появлении мути ее растворяют добавлением 1-2 капель соляной кислоты (1:1). Растворы охлаждают и переносят в мерные колбы вместимостью 100 см. В одну из колб прибавляют при непрерывном перемешивании 8 см
раствора серномолибдатного реактива, во вторую - 8 см
раствора серной кислоты с молярной концентрацией эквивалента 8 моль/дм
. Содержимое колб доливают до метки водой и перемешивают. Раствор во второй колбе служит в качестве раствора сравнения.
Величину оптической плотности раствора измеряют на спектрофотометре при длине волны 830 нм на фотоэлектроколориметре при длине волны (630±20) нм (красный светофильтр) в кювете оптимального размера.
По найденному значению оптической плотности, за вычетом оптической плотности раствора контрольного опыта, находят массу фосфора в граммах по градуировочному графику.
При проведении контрольного опыта на содержание фосфора в реактивах к аликвотной части прибавляют 2 см раствора железоаммонийных квасцов.
3.4. Построение градуировочного графика
Для построения градуировочного графика в восемь из девяти мерных колб вместимостью 100 см помещают 2,5; 5; 7,5; 10; 12,5; 15; 17,5 и 20 см
стандартного раствора Б однозамещенного фосфорнокислого калия, что соответствует 0,000025; 0,00005; 0,000075; 0,0001; 0,000125; 0,00015; 0,000175 и 0,0002 г фосфора в 100 см
фотометрируемого раствора.
Девятая мерная колба вместимостью 100 см, в которую добавлены все реактивы, кроме стандартного раствора фосфора, служит для проведения контрольного опыта на содержание фосфора в реактивах, применяемых при построении градуировочного графика, и служит раствором сравнения.
В каждую колбу приливают по 20-25 см воды, по 2 см
раствора железоаммонийных квасцов и далее анализ проводят, как указано в п.3.3.2.
3.5. Обработка результатов
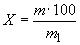
3.5.1. Массовую долю фосфора () в процентах вычисляют по формуле
,
где - масса фосфора в аликвотной части, найденная по градуировочному графику, г;
- масса навески чугуна, соответствующая аликвотной части раствора, г.
3.5.2. Абсолютные расхождения результатов трех параллельных определений при доверительной вероятности =0,95 не должны превышать допускаемых значений, указанных в табл.3.
Таблица 3
Массовая доля фосфора, % | Абсолютное допускаемое расхождение, % |
От 0,25 до 0,50 | 0,015 |
Св. 0,50 " 1,0 | 0,020 |
" 1,0 " 2,0 | 0,030 |
Текст документа сверен по:
официальное издание
Чугун. Марки. Технические условия.
Методы анализа: Сб. ГОСТов. -
М.: ИПК Издательство стандартов, 2004
Разместите заказ
сами сделают вам предложение
