ГОСТы сталей. ГОСТ 2604.3-83
ГОСТ 2604.3-83
Группа В09
МЕЖГОСУДАРСТВЕННЫЙ СТАНДАРТ
ЧУГУН ЛЕГИРОВАННЫЙ
Методы определения кремния
Alloy cast iron. Methods for determination of silicon
MКC 77.080.10
ОКСТУ 0809
Дата введения 1984-07-01
ИНФОРМАЦИОННЫЕ ДАННЫЕ
1. РАЗРАБОТАН И ВНЕСЕН Министерством черной металлургии СССР
РАЗРАБОТЧИКИ
Ю.С.Чернобривенко, Т.А.Бутенко, П.А.Пархоменко, А.С.Гржегоржевский, В.П.Корж, Ж.Б.Куликовская, Б.А.Сорочинский, Л.Н.Новак
2. УТВЕРЖДЕН И ВВЕДЕН В ДЕЙСТВИЕ Постановлением Государственного комитета стандартов Совета Министров СССР от 08.07.83 N 680
3. ВЗАМЕН ГОСТ 2604.3-77
4. ССЫЛОЧНЫЕ НОРМАТИВНО-ТЕХНИЧЕСКИЕ ДОКУМЕНТЫ
Обозначение НТД, на который дана ссылка | Номер пункта |
ГОСТ 83-79 | 2.2 |
ГОСТ 3118-77 | 2.2, 3.2 |
ГОСТ 3652-69 | 2.2 |
ГОСТ 3760-79 | 2.2 |
ГОСТ 3765-78 | 2.2 |
ГОСТ 4204-77 | 2.2, 3.2 |
ГОСТ 4332-76 | 2.2 |
ГОСТ 4461-77 | 2.2, 3.2 |
ГОСТ 9428-73 | 2.2 |
ГОСТ 10484-78 | 3.2 |
ГОСТ 18300-87 | 2.2 |
ГОСТ 19522-74 | 3.2 |
ГОСТ 22180-76 | 2.2 |
ГОСТ 28473-90 | 1.1 |
5. Ограничение срока действия снято по протоколу N 3-93 Межгосударственного совета по стандартизации, метрологии и сертификации (ИУС 5-6-93)
6. ИЗДАНИЕ с Изменениями N 1, 2, утвержденными в марте 1986 г., декабре 1988 г. (ИУС 6-86, 3-89)
Настоящий стандарт устанавливает фотометрический метод определения кремния (при массовой доле от 0,05 до 5,0%), гравиметрический метод определения кремния (при массовой доле от 0,10 до 20,0%) в легированном чугуне.
(Измененная редакция, Изм. N 2).
1. ОБЩИЕ ТРЕБОВАНИЯ
1. ОБЩИЕ ТРЕБОВАНИЯ
1.1. Общие требования к методам анализа - по ГОСТ 28473.
1.2. Погрешность результата анализа (при доверительной вероятности =0,95) не превышает предела, приведенного в таблице* при выполнении следующих условий:
расхождение результатов двух (трех) параллельных измерений не должно превышать (при доверительной вероятности =0,95) значения
(
), приведенного в таблице*;
воспроизведенное в стандартном образце значение массовой доли элемента не должно отличаться от аттестованного более чем на допускаемое (при доверительной вероятности =0,85) значение
, приведенное в таблице*.
_________________
* Текст соответствует оригиналу. - Примечание "КОДЕКС".
При невыполнении одного из вышеуказанных условий проводят повторные измерения массовой доли кремния. Если и при повторных измерениях требования к точности результатов не выполняются, результаты анализа признают неверными, измерения прекращают до выявления и устранения причин, вызвавших нарушение нормального хода анализа.
Расхождение двух средних результатов анализа, выполненных в различных условиях (например, при внутрилабораторном контроле воспроизводимости), не должно превышать (при доверительной вероятности =0,95) значения
, приведенного в таблице.
(Введен дополнительно, Изм. N 2).
2. ФОТОМЕТРИЧЕСКИЙ МЕТОД ОПРЕДЕЛЕНИЯ КРЕМНИЯ
2.1. Сущность метода
Метод основан на образовании желтого кремнемолибденового комплекса, восстановлении этого соединения аскорбиновой кислотой до кремнемолибденовой сини и измерении оптической плотности окрашенного раствора.
Мешающее влияние фосфорномолибденового комплекса устраняется добавлением щавелевой кислоты при растворении в соляной кислоте и лимонной - при растворении в серной кислоте. Мышьяковомолибденовый комплекс образуется только при температуре кипения раствора.
(Измененная редакция, Изм. N 1).
2.2. Аппаратура, реактивы и растворы
Спектрофотометр или фотоэлектроколориметр.
Кислота соляная по ГОСТ 3118, разбавленная 1:3.
Кислота азотная по ГОСТ 4461 и разбавленная 1:3,5.
Кислота щавелевая по ГОСТ 22180, раствор с массовой концентрацией 0,08 г/см.
Кислота аскорбиновая, раствор с массовой концентрацией 0,02 г/см, свежеприготовленный.
Кислота лимонная по ГОСТ 3652.
Смесь лимонной и аскорбиновой кислот, свежеприготовленная: 2,5 г лимонной и 0,5 г аскорбиновой кислот растворяют в 100 см воды.
Кислота серная по ГОСТ 4204, разбавленная 1:1 и 1:20.
Железо карбонильное, ос. ч.
Аммоний молибденовокислый по ГОСТ 3765, раствор с массовой концентрацией 0,05 г/см, перекристаллизованный из спиртового раствора.
Перекристаллизация молибденовокислого аммония: 250 г молибденовокислого аммония растворяют в 400 см воды при 70-80 °С. Горячий раствор фильтруют через плотный фильтр "синяя лента" в стакан, содержащий 300 см
этилового спирта. Раствор охлаждают и выдерживают в проточной воде в течение 1 ч. Выпавшие кристаллы отфильтровывают на воронку Бюхнера с фильтром средней плотности "белая лента". Кристаллы промывают два-три раза этиловым спиртом порциями по 20-30 см
и высушивают на воздухе.
Аммиак водный по ГОСТ 3760.
Спирт этиловый ректификованный технический по ГОСТ 18300.
Кремния двуокись по ГОСТ 9428.
Калий углекислый - натрий углекислый по ГОСТ 4332.
Натрий углекислый по ГОСТ 83.
Натрий кремнекислый, стандартный раствор, с массовой концентрацией кремния 0,0002 г/см: 0,2140 г двуокиси кремния, прокаленной до постоянной массы при 1000-1100 °С, помещают в платиновый тигель, прибавляют 2 г углекислого натрия, перемешивают, закрывают крышкой и сплавляют при 1000-1100 °С. Тигель охлаждают, ополаскивают снаружи водой, помещают в стакан вместимостью 250-300 см
, приливают 50-60 см
воды и нагревают до полного растворения плава.
Раствор кремнекислого натрия фильтруют в мерную колбу вместимостью 500 см, фильтр промывают три-пять раз горячей водой и отбрасывают. Раствор в колбе охлаждают, доливают до метки водой и перемешивают. Раствор кремнекислого натрия хранят в полиэтиленовой или кварцевой посуде.
Определение массовой концентрации стандартного раствора: 50 см стандартного раствора помещают в стакан вместимостью 300-400 см
. Далее определение проводят по п.3.3.
Массовую концентрацию () стандартного раствора, выраженную в г/см
кремния, вычисляют по формуле
,
где - масса тигля с осадком двуокиси кремния, г;
- масса тигля с остатком после обработки фтористоводородной кислотой, г;
- масса тигля с осадком в контрольном опыте, г;
- масса тигля с остатком в контрольном опыте после обработки фтористоводородной кислотой, г;
0,4675 - коэффициент пересчета двуокиси кремния на кремний;
50 - объем стандартного раствора, взятого для анализа, см.
(Измененная редакция, Изм. N 1, 2).
2.3. Проведение анализа
2.3.1. Определение кремния (0,05-1,0%)
Навеску чугуна массой 0,2 г помещают в стакан или коническую колбу вместимостью 100 см, приливают 20 см
соляной кислоты и нагревают на кипящей водяной бане 3-5 мин. Приливают 1 см
азотной кислоты и продолжают нагревание до полного растворения навески. Затем приливают 10 см
воды и кипятят 2-3 мин до удаления окислов азота.
Раствор фильтруют через фильтр "белая лента" в мерную колбу вместимостью 100 см и промывают осадок на фильтре 3-4 раза небольшими порциями горячей воды.
Фильтр с осадком помещают в платиновый тигель, высушивают и озоляют. Осадок прокаливают при 900-1000 °С. После охлаждения в эксикаторе содержимое тигля сплавляют с 0,5 г углекислого натрия или углекислого калия-натрия при 1000-1100 °С.
Тигель с плавом охлаждают, ополаскивают внешние стенки тигля водой и помещают в стакан вместимостью 200 см. Плав выщелачивают в 20-25 см
воды при нагревании. Раствор охлаждают и присоединяют к основному фильтрату, доливают до метки водой и перемешивают. Полученный раствор фильтруют через сухой фильтр "белая лента" в коническую колбу вместимостью 150-200 см
, отбрасывая первые порции раствора, предварительно ополоснув ими колбу.
В две мерные колбы вместимостью 100 см помещают по 10 см
раствора, по 50 см
воды, и в одну из них добавляют 10 см
раствора молибденовокислого аммония; раствор второй колбы используют в качестве раствора сравнения. Появление осадка или легкой опалесценции при добавлении молибденовокислого аммония свидетельствует о рН 1,3-1,5, необходимом для образования кремнемолибденового комплекса.
Через 15 мин после добавления раствора молибденовокислого аммония приливают последовательно по 5 см серной кислоты (1:1), по 5 см
раствора щавелевой кислоты и по 5 см
раствора аскорбиновой кислоты. После добавления каждого реактива растворы перемешивают, доливают водой до метки, перемешивают и выдерживают в течение 20 мин при (20±4) °С.
Величину оптической плотности растворов измеряют на спектрофотометре при длине волны 830 нм или на фотоэлектроколориметре при длине волны (630±20) нм (красный светофильтр) в кювете оптимального размера относительно раствора сравнения.
По найденному значению оптической плотности исследуемого раствора с учетом поправки контрольного опыта находят массу кремния по градуировочному графику.
(Измененная редакция, И
зм. N 2).
2.3.2. Построение градуировочного графика
В восемь стаканов вместимостью 100 см помещают по 0,2 г карбонильного железа и в семь из восьми 0,5; 1,0; 2,0; 4,0; 6,0; 8,0 и 10,0 см
стандартного раствора кремния, что соответствует 0,00001; 0,00002; 0,00004; 0,00008; 0,00012; 0,00016 и 0,00020 г кремния в 100 см
фотометрируемого раствора. Раствор в восьмом стакане, не содержащий кремний, используют в качестве раствора сравнения.
В каждый стакан приливают по 20 см соляной кислоты и нагревают на кипящей водяной бане 3-5 мин, затем по 1 см
азотной кислоты и продолжают нагревание до полного растворения навески, затем приливают по 10 см
воды и кипятят 2-3 мин до удаления окислов азота.
Растворы из стаканов переводят в мерные колбы вместимостью 100 см, охлаждают, доливают водой до метки и перемешивают.
В восемь мерных колб вместимостью 100 см помещают аликвотные части раствора по 10 см
, по 50 см
воды и по 10 см
раствора молибденовокислого аммония. Появление осадка или легкой опалесценции при добавлении молибденовокислого аммония свидетельствует о рН 1,3-1,5, необходимом для образования кремнемолибденового комплекса.
Далее определение проводят по п.2.3.1.
По найденным значениям оптической плотности анализируемых растворов с учетом поправки контрольного опыта и соответствующих им значениям концентраций кремния строят градуировочный график.
(Измененная редакция, Изм.
N 1).
2.3.3. Определение кремния (0,05-5,0%).
Навеску чугуна массой в соответствии с табл.1а помещают в стакан вместимостью 200-250 см, приливают 50 см
серной кислоты (1:20), накрывают стакан часовым стеклом и растворяют при слабом кипячении. Затем приливают 10 см
азотной кислоты (1:3,5) и кипятят 5 мин, охлаждают и переносят в мерную колбу вместимостью 200 см
, доливают до метки водой, перемешивают и фильтруют в сухую колбу через сухой фильтр "белая лента", отбрасывая первую порцию фильтрата. Отбирают аликвотные части раствора в две мерные колбы вместимостью 100 см
в соответствии с табл.1а, в одну из них приливают 5 см
раствора молибденовокислого аммония, во вторую 5 см
воды, перемешивают и выдерживают 5 мин при массовой доле кремния до 0,5% и 3 мин при массовой доле кремния свыше 0,5%. Затем в обе колбы приливают 5 см
серной кислоты (1:1), 5 см
смеси лимонной и аскорбиновой кислот и выдерживают 10 мин при массовой доле кремния до 0,5% и 5 мин при массовой доле кремния свыше 0,5%.
Таблица 1а
Массовая доля кремния, % | Масса навески чугуна, г | Масса навески карбонильного железа, г | Аликвотная часть анализируемого раствора, см |
От 0,05 до 0,5 | 0,2 | 0,2 | 10 |
Св. 0,5 " 5,0 | 0,1 | 0,1 | 5 |
Растворы в колбах доводят до метки и перемешивают.
Раствор второй колбы служит раствором сравнения.
Величину оптической плотности растворов измеряют на спектрофотометре при длине волны 830 нм или на фотоэлектроколориметре при длине волны (630±20) нм (красный светофильтр) в кювете оптимального размера относительно раствора сравнения.
По найденному значению оптической плотности исследуемого раствора с учетом поправки контрольного опыта находят массу кремния по градуировочному графику.
2.3.4. Построение градуировочных графиков
В семь мерных колб вместимостью 200 см помещают навески карбонильного железа в соответствии с табл.1а, приливают 50 см
серной кислоты (1:20), растворяют при слабом кипячении. Затем приливают 10 см
азотной кислоты (1:3,5) и кипятят 5 мин. Растворы охлаждают.
В шесть мерных колб последовательно приливают стандартный раствор кремнекислого натрия 0,5; 1,0; 2,0; 3,0; 4,0; 5,0 см (при массовой доле кремния 0,05-0,5%) и 2,5; 5,0; 10,0; 15,0; 20,0; 25,0 см
(при массовой доле кремния 0,5-5,0%), что соответствует 0,000005; 0,00001; 0,00002; 0,00003; 0,00004; 0,00005 г и 0,0000125; 0,000025; 0,00005; 0,000075; 0,0001; 0,000125 г кремния в 100 см
фотометрируемого раствора.
Седьмая колба служит для проведения контрольного опыта.
Растворы в мерных колбах вместимостью 200 см доливают водой до метки и перемешивают.
Из каждой колбы отбирают аликвотную часть раствора в мерную колбу вместимостью 100 см в соответствии с табл.1а и далее определение проводят по п.2.3.3.
По найденным значениям оптической плотности анализируемых растворов с учетом поправки контрольного опыта и соответствующим им значениям массы кремния строят градуировочный графи
к.
2.3.3; 2.3.4. (Измененная редакция, Изм. N 2).
2.4. Обработка результатов
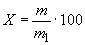
2.4.1. Массовую долю кремния () в процентах вычисляют по формуле
,
где - масса кремния, найденная по градуировочному графику, г;
- масса навески чугуна, соответствующая аликвотной части раствора, г.
(Измененная редакция, Изм. N 1).
2.4.2. Нормы точности и нормативы контроля точности определения массовой доли кремния приведены в табл.1.
(Измененная редакция, Изм. N 2).
3. ГРАВИМЕТРИЧЕСКИЙ МЕТОД ОПРЕДЕЛЕНИЯ КРЕМНИЯ
3.1.Сущность метода
Метод основан на выделении кремния в процессе конденсационной полимеризации в виде кремниевой кислоты, ее дальнейшей дегидратации высушиванием и прокаливанием, и взвешивании полученной безводной полимерной двуокиси кремния.
3.2. Аппаратура, реактивы и растворы
Электропечь муфельная с температурой нагрева 1000-1100 °С.
Кислота серная по ГОСТ 4204 и разбавленная 1:2.
Кислота азотная по ГОСТ 4461.
Смесь кислот для растворения: 2 дм серной кислоты осторожно вливают тонкой струей при непрерывном перемешивании в 5,5 дм
воды. После охлаждения раствора прибавляют 1,5 дм
азотной кислоты и перемешивают.
Кислота соляная по ГОСТ 3118 и разбавленная 1:1 и 1:20.
Аммоний роданистый по ГОСТ 19522, раствор с массовой концентрацией 0,05 г/см.
Кислота фтористоводородная по ГОСТ 10484.
(Измененная редакция, Изм. N 1, 2).
3.3. Проведение анализа
Навеску чугуна массой 2,0 г (при массовой доле кремния от 0,10 до 1,0%), 1,0 г (при массовой доле кремния свыше 1,0 до 6,0%) или 0,5 г (при массовой доле кремния свыше 6,0 до 20,0%) помещают в стакан вместимостью 300-400 см, осторожно приливают 30-75 см
смеси кислот и накрывают часовым стеклом.
После прекращения бурной реакции стакан ставят на горячую плиту и после растворения снимают часовое стекло, ополаскивают его водой и выпаривают раствор до появления паров серной кислоты, которым дают выделяться в течение 2-3 мин.
Снимают стакан с плиты, дают охладиться и осторожно по стенкам приливают 15 см соляной кислоты (1:1), слегка перемешивая содержимое стакана. Через 1-2 мин приливают 120 см
горячей воды, накрывают стакан часовым стеклом и нагревают до 60-70 °С, время от времени перемешивая стеклянной палочкой до растворения солей.
Осадок отфильтровывают на беззольный фильтр "белая лента" с добавлением небольшого количества беззольной фильтробумажной массы и промывают горячей соляной кислотой (1:20) до отрицательной реакции промывных вод на железо (по реакции с роданистым аммонием) и затем пять-шесть раз горячей водой.
Фильтрат вместе с промывными водами вновь выпаривают в том же стакане, в котором проводилось первое выпаривание, до выделения паров серной кислоты в течение 2-3 мин. После охлаждения приливают 15 см соляной кислоты (1:1), 120 см
горячей воды и после нагревания до растворения солей отфильтровывают дополнительно выделившийся осадок кремниевой кислоты, промывая его так же, как было указано выше.
Объединенные осадки прокаливают при температуре 1000-1100 °С до постоянной массы.
Тигель с осадком охлаждают в эксикаторе и взвешивают. Затем осадок осторожно смачивают 3-5 каплями воды, приливая ее по стенкам тигля, прибавляют 5-7 капель серной кислоты и 3-5 см фтористоводородной кислоты.
Содержимое тигля осторожно выпаривают до прекращения выделения паров серной кислоты. Тигель прокаливают в муфельной печи при 1000-1100 °С до постоянной массы, охлаждают в эксикаторе и взвешивают.
Для внесения поправки на содержание кремния в реактивах с каждой партией труб в тех же условиях проводят не менее двух контрольных опытов.
(Измененная редакция, Изм. N 2)
.
3.4. Обработка результатов
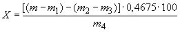
3.4.1. Массовую долю кремния () в процентах вычисляют по формуле
,
где - масса тигля с осадком двуокиси кремния, г;
- масса тигля с остатком после обработки фтористоводородной кислотой, г;
- масса тигля с осадком, полученным в контрольном опыте, г;
- масса тигля с остатком, полученным в контрольном опыте, после обработки фтористоводородной кислотой, г;
0,4675 - коэффициент пересчета двуокиси кремния на кремний; - масса навески, г.
3.4.2. Нормы точности и нормативы контроля точности определения массовой доли кремния приведены в табл.1.
Таблица 1
Массовая доля кремния, % | Нормы точности и нормативы контроля точности, % | ||||
От 0,05 до 0,10 включ. | 0,008 | 0,011 | 0,009 | 0,011 | 0,006 |
Св. 0,10 " 0,20 " | 0,014 | 0,018 | 0,015 | 0,018 | 0,009 |
" 0,20 " 0,5 " | 0,020 | 0,028 | 0,020 | 0,028 | 0,014 |
" 0,5 " 1,0 " | 0,03 | 0,04 | 0,03 | 0,04 | 0,02 |
" 1,0 " 2,0 " | 0,05 | 0,06 | 0,05 | 0,06 | 0,03 |
" 2,0 " 5,0 " | 0,07 | 0,09 | 0,07 | 0,09 | 0,05 |
" 5,0 " 10,0 " | 0,09 | 0,11 | 0,09 | 0,11 | 0,06 |
" 10,0 " 20,0 " | 0,16 | 0,20 | 0,17 | 0,20 | 0,10 |
3.4.1, 3.4.2. (Измененная редакция, Изм. N 2).
Текст документа сверен по:
официальное издание
Чугун. Марки. Технические условия.
Методы анализа: Сб. ГОСТов. -
М.: ИПК Издательство стандартов, 2004
Разместите заказ
сами сделают вам предложение
