ГОСТы сталей. ГОСТ 2604.2-86
ГОСТ 2604.2-86
Группа В09
МЕЖГОСУДАРСТВЕННЫЙ СТАНДАРТ
ЧУГУН ЛЕГИРОВАННЫЙ
Методы определения серы
Alloy cast iron. Methods for determinations of sulphur
MКC 77.080.10
ОКСТУ 0809
Дата введения 1988-01-01
ИНФОРМАЦИОННЫЕ ДАННЫЕ
1. РАЗРАБОТАН И ВНЕСЕН Министерством черной металлургии СССР
РАЗРАБОТЧИКИ
В.Д.Чехранов, канд. техн. наук; М.А.Дружинин, канд. техн. наук (руководитель темы); Ю.Д.Худик; Т.Я.Каленченко; З.Д.Будник; Т.Н.Полторацкая; Л.В.Шеенко
2. УТВЕРЖДЕН И ВВЕДЕН В ДЕЙСТВИЕ Постановлением Государственного комитета СССР по стандартам от 17.12.86 N 3893
3. ВЗАМЕН ГОСТ 2604.2-77
4. ССЫЛОЧНЫЕ НОРМАТИВНО-ТЕХНИЧЕСКИЕ ДОКУМЕНТЫ
Обозначение НТД, на которые дана ссылка | Номер пункта, подпункта, перечисления, приложения |
ГОСТ 435-77 | 2.2 |
ГОСТ 859-2001 | 2.2 |
ГОСТ 860-75 | 2.2 |
ГОСТ 2604.0-77 | 2.2 |
ГОСТ 3118-77 | 2.2 |
ГОСТ 4202-75 | 2.2 |
ГОСТ 4204-77 | 2.2 |
ГОСТ 4232-74 | 2.2 |
ГОСТ 4328-77 | 2.2 |
ГОСТ 5583-78 | 2.2, 3.2 |
ГОСТ 9147-80 | 2.2, 3.2 |
ГОСТ 10163-76 | 2.2 |
ГОСТ 13610-79 | 2.2 |
ГОСТ 16539-79 | 2.2 |
ГОСТ 20490-75 | 2.2 |
ГОСТ 24363-80 | 2.2 |
ГОСТ 28473-90 | 1.1 |
5. Ограничение срока действия снято по протоколу N 2-92 Межгосударственного совета по стандартизации, метрологии и сертификации (ИУС 2-93)
6. ПЕРЕИЗДАНИЕ
Настоящий стандарт устанавливает титриметрический и кулонометрический методы определения серы в легированных чугунах при массовой доле ее от 0,004 до 0,1%.
Стандарт соответствует СТ СЭВ 5283-85 в части определения серы в легированном чугуне.
1. ОБЩИЕ ТРЕБОВАНИЯ
1. ОБЩИЕ ТРЕБОВАНИЯ
1.1. Общие требования к методам анализа - по ГОСТ 28473.
2. ТИТРИМЕТРИЧЕСКИЙ МЕТОД
2.1.Сущность метода
Метод основан на сжигании навески чугуна в токе кислорода при 1250-1350 °С, поглощении образующейся двуокиси серы водой и титровании образующейся сернистой кислоты раствором йодид-йодата калия в присутствии индикатора крахмала.
2.2. Аппаратура, реактивы и растворы
Установка для определения серы (черт.1) состоит из источника кислорода (кислородопровод или баллон) 1, снабженного редукционным вентилем для регулирования тока кислорода; склянки Тищенко 2, содержащей раствор марганцовокислого калия в растворе гидроокиси калия; склянки Тищенко 3, заполненной серной кислотой; сушильной колонки 4, наполненной в нижней части гранулами калия гидроокиси, в верхней - безводным хлористым кальцием или ангидроном. Система очистки кислорода может состоять из хлоркальциевой трубки, колонки с аскаритом и U-образной трубки, содержащей в первой половине (по ходу газа) асбест, пропитанный двуокисью марганца, а во второй - ангидрон; ротаметра 5 для измерения расхода кислорода; трехходового крана 6, горизонтальной трубчатой электропечи 7 с водяным охлаждением и силитовыми нагревателями, обеспечивающей температуру нагрева 1250-1350 °С при помощи регулятора напряжения 8 и терморегулятора любого типа 9 (допускается применять трубчатые электропечи любого типа, обеспечивающие необходимую температуру); трубки огнеупорной муллитокремнеземистой 10 длиной 600-800 мм, с внутренним диаметром 18-22 мм, предварительно прокаленной по всей длине при температуре 1250-1350 °С. Концы трубки должны выступать из печи не менее чем на 200 мм с каждой стороны. Трубку закрывают металлическими затворами или хорошо подогнанными резиновыми пробками с отверстиями, в которые вставляют стеклянные или иные некорродирующие соединительные трубки. Внутренние поверхности пробок должны быть защищены от обгорания асбестовыми или некорродирующими прокладками; фарфоровых неглазурованных лодочек 11 (перед применением лодочку прокаливают в токе кислорода при рабочей температуре 1250-1350 °С в условиях анализа и хранят в эксикаторе. Шлиф крышки эксикатора не покрывают смазывающими веществами); стеклянной трубки 12 с расширением, заполненной стекловатой для очистки смеси газов от механических примесей, образующихся при сгорании навески и уносимых из печи током кислорода; бюретки 13 вместимостью 25 см (или микробюретки) с титрованным раствором йодид-йодата калия; прибора для поглощения двуокиси серы и титрования 14.

Черт.1
Прибор (черт.2) состоит из двух стеклянных сосудов (поглотительного и сосуда сравнения) одинаковой формы. В поглотительном сосуде протекает процесс поглощения и титрования двуокиси серы, в сосуде сравнения - находится раствор сравнения для контроля окраски раствора при титровании.

Черт.2
В поглотительный сосуд впаяна Г-образная трубка, оканчивающаяся барботером с поплавком, через которую в сосуд поступают газообразные продукты сгорания. В нижней части сосуда имеется кран для слива раствора. Крючок для введения и извлечения лодочек из трубки изготовляют из жаропрочной низкоуглеродистой проволоки любого сечения диаметром 3-5 мм, длиной 500-600 мм.
Трубки огнеупорные муллитокремнеземистые.
Лодочки фарфоровые по ГОСТ 9147.
Кислород по ГОСТ 5583.
Кислота соляная по ГОСТ 3118.
Калия гидроокись по ГОСТ 24363.
Натрия гидроокись по ГОСТ 4328.
Калий марганцовокислый по ГОСТ 20490, раствор с массовой концентрацией 40 г/дм в растворе гидроокиси калия с массовой концентрацией 400 г/дм
; 40 г марганцовокислого калия растворяют при нагревании в 700-800 см
воды. После охлаждения добавляют 400 г гидроокиси калия и доводят водой до 1 дм
.
Кислота серная по ГОСТ 4204.
Кальций хлористый.
Марганец (II) сернокислый 5-водный по ГОСТ 435.
Аскарит (натронный асбест).
Ангидрон (магний хлорнокислый безводный).
Стекловата.
Асбест, пропитанный двуокисью марганца, используемый для заполнения поглотительной колонки: 13 г сернокислого марганца растворяют в небольшом количестве воды и этим раствором пропитывают 90 г асбестового волокна, предварительно прокаленного при 800-1000 °С, добавляют 7 г марганцовокислого калия, растворенного в 200 см воды, кипятят в течение нескольких минут. Затем фильтруют на воронку Бюхнера, промывая горячей водой до отсутствия в фильтрате сернокислых солей. Пропитанный двуокисью марганца асбест сушат при 105 °С.
Калий йодноватокислый по ГОСТ 4202.
Калий йодистый по ГОСТ 4232.
Калия йодид-йодат, титрованный раствор: 0,0862 г йодноватокислого калия, 17 г йодистого калия и 0,4 г гидрата окиси калия растворяют в 1 дм воды. Для определения серы в чугуне с массовой долей менее 0,05% титрованный раствор разбавляют в соотношении 1:1.
Раствор хранят в склянке из темного стекла. Массовую концентрацию раствора йодид-йодата калия устанавливают по стандартным образцам, сжигаемым в условиях анализа, с известной массовой долей серы и химическим составом, близким к составу анализируемой пробы чугуна. Массовую концентрацию раствора йодид-йодата калия () в г/см
серы вычисляют по формуле
,
где - массовая доля серы в стандартном образце, %;
- масса навески стандартного образца, г;
- объем раствора йодид-йодата калия, израсходованный на титрование стандартного образца, см
;
- объем раствора йодид-йодата калия, израсходованный на титрование контрольного опыта (лодочка + плавень), см
.
Крахмал по ГОСТ 10163, раствор с массовой концентрацией 0,5 г/дм, свежеприготовленный: 0,5 г крахмала растворяют при нагревании в 50 см
воды, полученный раствор выливают в колбу с 500 см
воды, приливают 15 см
соляной кислоты и доводят объем водой до 1 дм
, перемешивают. Затем небольшими порциями при перемешивании приливают раствор йодид-йодата калия до получения слабо-голубой окраски раствора.
Плавни: олово по ГОСТ 860 или олово гранулированное;
медь металлическая по ГОСТ 859;
окись меди по ГОСТ 16539;
железо карбонильное радиотехническое по ГОСТ 13610 или железо карбонильное, ос. ч.
Массовая доля серы в плавне не должна превышать величины абсолютных допускаемых расхождений для соответствующих диапазонов концентр
аций.
2.3. Подготовка к анализу
Печь нагревают до рабочей температуры. Установку собирают при помощи резиновых трубок согласно черт.1 (соединения должны быть максимально короткими) и проверяют на герметичность следующим образом: пропускают кислород через установку со скоростью 20-30 пузырьков в минуту. Затем плотно пережимают резиновую трубку перед поглотительным сосудом. Спустя 2-3 мин должно прекратиться выделение пузырьков в промывных склянках, после чего выдерживают еще 2-3 мин. Если пузырьки больше не выделяются, систему считают герметичной.
Полноту выгорания серы из фарфоровой трубки проверяют следующим образом: один конец фарфоровой трубки присоединяют к источнику с очищенным кислородом, а второй - с поглотительным сосудом. В оба сосуда наливают по 90-110 см раствора крахмала слабо-голубой окраски и пропускают ток кислорода. Неизменяемость окраски раствора в поглотительном сосуде свидетельствует о полноте выгорания серы из фарфоровой трубки.
Для проверки правильности работы установки сжигают 2-3 навески стандартного образца чугуна, при необходимости в присутствии плавня согласно п.2.3. Затем сжигают навеску плавня для установления поправки контрольного опыта.
2.4. Проведение анализа
Навеску чугуна массой 0,5 г помещают в фарфоровую лодочку и, при необходимости, покрывают плавнем в соотношении (1:1).
Лодочку с навеской помещают в наиболее нагретую часть фарфоровой трубки, которую быстро закрывают затвором или пробкой и выдерживают в течение 1 мин без доступа кислорода при помощи трехходового крана, а затем пропускают ток кислорода со скоростью 2-3 дм/мин.
Когда двуокись серы, поступающая из печи в поглотительный сосуд, начнет обесцвечивать раствор, из бюретки приливают раствор йодид-йодата калия с такой скоростью, чтобы жидкость все время оставалась слабо-голубого цвета.
Титрование считают законченным, когда интенсивность окраски растворов в обоих сосудах будет одинаковой и не изменится в течение 1 мин.
По окончании сжигания навески лодочку извлекают из трубки крючком, а поглотительный раствор заменяют свежим.
2.5. Обработка результатов
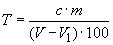
2.5.1. Массовую долю серы () в процентах вычисляют по формуле
,
где - объем раствора йодид-йодата калия, израсходованный на титрование анализируемого раствора, см
;
- объем раствора йодид-йодата калия, израсходованный на титрование раствора контрольного опыта, см
;
- массовая концентрация раствора йодид-йодата калия, г/см
серы;
- масса навески анализируемого чугуна, г
.
2.5.2. Абсолютные расхождения результатов трех параллельных определений при доверительной вероятности =0,95 не должны превышать допускаемых значений, приведенных в таблице.
Массовая доля серы, % | Абсолютное допускаемое расхождение, % |
От 0,004 до 0,010 | 0,002 |
Св. 0,010 " 0,020 | 0,005 |
" 0,020 " 0,050 | 0,008 |
" 0,050 " 0,100 | 0,01 |
3. КУЛОНОМЕТРИЧЕСКИЙ МЕТОД
3.1.Сущность метода
Метод основан на сжигании навески чугуна в токе кислорода в присутствии плавней при температуре 1250-1350 °С, поглощении образующейся двуокиси серы поглотительным раствором с определенным рН, изменением рН и последующим измерением количества электричества, израсходованного на восстановление исходного рН, пропорционального массовой доле серы в анализируемой пробе.
3.2. Аппаратура, реактивы, растворы
Кулонометрическая установка АС-7932 или аналогичная установка любого другого типа со всеми принадлежностями для определения серы.
Трубки огнеупорные муллитокремнеземистые.
Лодочки фарфоровые по ГОСТ 9147. Перед применением лодочки прокаливают при рабочей температуре в токе кислорода и хранят в эксикаторе. Шлиф крышки эксикатора не покрывают смазывающими веществами.
Кислород по ГОСТ 5583.
Поглотительный и вспомогательный растворы готовят согласно инструкции к применяемой кулонометрической установке.
В качестве плавня применяется пятиокись ванадия высокой чистоты в количестве 0,2 г. Массовая доля серы контрольного опыта не должна превышать величины абсолютных допускаемых расхождений для соответствующих диапазонов концентраций.
3.3. Подготовка к анализу
Прибор подготавливают к работе в соответствии с инструкцией.
Проверяют герметичность газового тракта.
Для удаления следов двуокиси серы перед началом работы через установку пропускают ток кислорода и прокаливают фарфоровую трубку до получения минимального постоянного показания прибора.
Градуировку прибора проводят по стандартным образцам с составом, близким к анализируемому чугуну.
Контроль правильности работы установки проводят через каждые 2-3 ч сжиганием навески стандартного образца.
3.4. Проведение анализа
Навеску чугуна массой 0,5 г помещают в лодочку и покрывают 0,2 г пятиокиси ванадия. Лодочку с навеской и плавнем помещают в наиболее нагретую часть трубки, которую быстро закрывают металлическим затвором, нажимают на кнопку "сброс", чем устанавливают индикаторное цифровое табло на "нуль". Сжигают навеску при температуре 1250-1350 °С. В процессе сгорания навески на цифровом табло идет непрерывный отсчет показаний. После остановки счета записывают результаты анализа. Параллельно через все стадии анализа проводят не менее трех контрольных анализов и получают среднее арифметическое значение контрольного опыта.
3.5. Обработка результатов
3.5.1. Массовую долю серы () в процентах вычисляют по формуле
,
где - показание цифрового табло прибора при сжигании анализируемой навески чугуна, %;
- среднее арифметическое значение показаний цифрового табло прибора, полученное в результате сжигания плавня при проведении контрольных опытов.
3.5.2. Абсолютные расхождения результатов трех параллельных определений при доверительной вероятности =0,95 не должны превышать допускаемых значений, приведенных в таблице.
При разногласиях в оценке качества легированного чугуна применяют кулонометрический метод определения серы.
Текст документа сверен по:
официальное издание
Чугун. Марки. Технические условия.
Методы анализа: Сб. ГОСТов. -
М.: ИПК Издательство стандартов, 2004
Разместите заказ
сами сделают вам предложение
