ГОСТы сталей. ГОСТ 2604.14-82
ГОСТ 2604.14-82
Группа В09
МЕЖГОСУДАРСТВЕННЫЙ СТАНДАРТ
ЧУГУН ЛЕГИРОВАННЫЙ
Методы определения кобальта
Alloy cast iron. Methods for determination of cobalt
МКС 77.080.10
ОКСТУ 0809
Дата введения 1984-01-01
ИНФОРМАЦИОННЫЕ ДАННЫЕ
1. РАЗРАБОТАН И ВНЕСЕН Министерством черной металлургии СССР
РАЗРАБОТЧИКИ
М.Д.Жембус, Т.А.Пархоменко, Г.Н.Штейн, Т.А.Каленченко, Т.Н.Полторацкая
2. УТВЕРЖДЕН И ВВЕДЕН В ДЕЙСТВИЕ Постановлением Государственного комитета СССР по стандартам от 13.12.82 N 4718
3. ВВЕДЕН ВПЕРВЫЕ
4. ССЫЛОЧНЫЕ НОРМАТИВНО-ТЕХНИЧЕСКИЕ ДОКУМЕНТЫ
Обозначение НТД, на который дана ссылка | Номер пункта |
ГОСТ 123-98 | 4.2 |
ГОСТ 3118-77 | 4.2 |
ГОСТ 4461-77 | 4.2 |
ГОСТ 5457-75 | 4.2 |
ГОСТ 12353-78 | 2.1, 2.2, 2.3, 3.1, 3.2, 3.3, 3.4 |
ГОСТ 28473-90 | 1.1 |
5. Ограничение срока действия снято по протоколу N 3-93 Межгосударственного совета по стандартизации, метрологии и сертификации (ИУС 5-6-93)
6. ИЗДАНИЕ с Изменениями N 1, 2, утвержденными в марте 1986 г., апреле 1988 г., (ИУС 6-86, 7-88)
Настоящий стандарт устанавливает фотометрические методы определения кобальта (при массовой доле от 0,02 до 3,0%) и атомно-абсорбционный метод определения (при массовой доле от 0,005 до 5,0%) в легированном чугуне.
(Измененная редакция, Изм. N 2).
1. ОБЩИЕ ТРЕБОВАНИЯ
1. ОБЩИЕ ТРЕБОВАНИЯ
1.1. Общие требования к методам анализа - по ГОСТ 28473.
1.2. Погрешность результата анализа () при доверительной вероятности 0,95 не превышает предела, приведенного в табл.2, 3, 5 при выполнении условий:
расхождение результатов двух (трех) параллельных измерений не должно превышать (при доверительной вероятности 0,95) значения
, приведенных в табл.2, 3, 5;
воспроизведенное в стандартном образце значение массовой доли элемента не должно отличаться от аттестованного более чем на допускаемые (при доверительной вероятности 0,95) значения , приведенное в табл.2, 3, 5.
Расхождение двух средних результатов анализа, выполненных в различных условиях (например, при внутрилабораторном контроле воспроизводимости), не должно превышать (при доверительной вероятности 0,95) значения , приведенного в табл.2, 3, 5.
(Введен дополнительно, Изм. N 2).
2. ФОТОМЕТРИЧЕСКИЙ МЕТОД ОПРЕДЕЛЕНИЯ КОБАЛЬТА (от 0,02 до 0,5%)
2.1. Сущность метода - по ГОСТ 12353, разд.3.
2.2. Аппаратура, реактивы и растворы - по ГОСТ 12353, разд.3.
2.3. Проведение анализа - по ГОСТ 12353, разд.3 с дополнениями, изложенными ниже.
2.3.1. Навеску чугуна и объем соляной кислоты для растворения определяют в зависимости от массовой доли кобальта по табл.1.
Таблица 1
Массовая доля кобальта, % | Масса навески, г | Объем раствора соляной кислоты |
От 0,02 до 0,05 | 0,50 | 30 |
Св. 0,05 " 0,1 | 0,25 | 20 |
" 0,1 " 0,5 | 0,10 | 20 |
2.3.2. Построение градуировочного графика
В шесть стаканов или колб вместимостью по 250-300 см помещают по 0,5 г карбонильного железа. В пять стаканов приливают последовательно 1,0; 2,0; 3,0; 4,0; 5,0 см
стандартного раствора А, что соответствует 0,1; 0,2; 0,3; 0,4; 0,5 мг кобальта.
Шестой стакан служит для проведения контрольного опыта. Далее с содержимым каждого стакана поступают как указано в п.2.3.1.
Из значений оптической плотности анализируемых растворов вычитают значение оптической плотности раствора контрольного опыта. По найденным величинам оптической плотности и соответствующим им значениям концентраций кобальта в аликвотной части раствора строят градуировочный график.
2.4. Обработка результатов - по ГОСТ 12353, разд.3 с дополнением, изложенным ниже.
2.4.1. Нормы точности и нормативы контроля точности массовой доли кобальта приведены в табл.2.
Таблица 2
Массовая доля кобальта, % | Нормы точности и нормативы контроля точности, % | ||||
От 0,01 до 0,05 включ. | 0,004 | 0,005 | 0,004 | 0,005 | 0,003 |
Св. 0,05 " 0,10 " | 0,006 | 0,007 | 0,006 | 0,007 | 0,004 |
" 0,10 " 0,2 " | 0,018 | 0,022 | 0,018 | 0,022 | 0,012 |
" 0,2 " 0,5 " | 0,026 | 0,033 | 0,028 | 0,034 | 0,017 |
(Измененная редакция, Изм. N 2).
3. ФОТОМЕТРИЧЕСКИЙ МЕТОД ОПРЕДЕЛЕНИЯ КОБАЛЬТА (от 0,5 до 3,0%)
3.1. Сущность метода - по ГОСТ 12353, разд.4.
3.2. Аппаратура, реактивы и растворы - по ГОСТ 12353, разд.4.
3.3. Проведение анализа - по ГОСТ 12353, разд.4.
3.4. Обработка результатов - по ГОСТ 12353, разд.4 с дополнением, изложенным ниже.
3.4.1. Нормы точности и нормативы контроля точности массовой доли кобальта приведены в табл.3.
Таблица 3
Массовая доля кобальта, % | Нормы точности и нормативы контроля точности, % | ||||
От 0,5 до 1,0 включ. | 0,04 | 0,05 | 0,04 | 0,05 | 0,02 |
Св. 1,0 " 2,0 " | 0,05 | 0,07 | 0,06 | 0,07 | 0,03 |
" 2,0 " 3,0 " | 0,09 | 0,11 | 0,09 | 0,11 | 0,06 |
(Измененная редакция, Изм. N 2).
4. АТОМНО-АБСОРБЦИОННЫЙ МЕТОД ОПРЕДЕЛЕНИЯ КОБАЛЬТА
4.1.Сущность метода
Метод основан на растворении пробы чугуна в смеси соляной и азотной кислот и измерении степени поглощения резонансного излучения свободными атомами кобальта, образующимися в результате распыления анализируемого раствора в пламени воздух-ацетилен, при длине волны 240,7 нм или 252,1 нм.
4.2. Аппаратура, реактивы и растворы
Атомно-абсорбционный пламенный спектрофотометр.
Лампа с полым катодом для определения кобальта.
Баллон с ацетиленом.
Компрессор, обеспечивающий подачу сжатого воздуха.
Ацетилен по ГОСТ 5457.
Кислота соляная по ГОСТ 3118 и разбавленная 1:1.
Кислота азотная по ГОСТ 4461.
Железо карбонильное, ос.ч.
Кобальт металлический по ГОСТ 123, марки КО.
Кислота аскорбиновая, раствор 0,1 г/см.
Стандартные растворы кобальта.
Стандартные растворы. Раствор А с массовой концентрацией 0,001 г/см: 0,5 г металлического кобальта растворяют в стакане вместимостью 200 см
при нагревании в 20 см
соляной кислоты добавлением 2 см
азотной кислоты. Раствор выпаривают досуха, остаток растворяют при нагревании в 20 см
соляной кислоты 1:1. Раствор переносят в мерную колбу вместимостью 500 см
, доливают водой до метки и перемешивают.
Раствор Б с массовой концентрацией 0,0002 г/см: 20 см
раствора А переносят в мерную колбу вместимостью 100 см
, приливают 3-5 см
соляной кислоты, доливают водой до метки и перемешивают.
Раствор В с массовой концентрацией 0,0001 г/см: 10 см
раствора А переносят в мерную колбу вместимостью 100 см
, приливают 3-5 см
соляной кислоты, доливают до метки водой и перемешивают.
(Измененная редакция, И
зм. N 2).
4.3. Проведение анализа
4.3.1. В соответствии с прилагаемой инструкцией настраивают спектрофотометр на резонансную линию 240,7 или 252,1 нм. После включения подачи газа и зажигания горелки распыляют воду и устанавливают нуль прибора.
4.3.2. Определение кобальта (0,005-0,1%)
Навеску чугуна массой 1 г помещают в стакан вместимостью 200-300 см и растворяют при нагревании в 20 см
соляной и 5 см
азотной кислот. Раствор выпаривают досуха. К сухому остатку приливают 10 см
соляной кислоты и вновь выпаривают досуха. Затем приливают 5 см
соляной кислоты и выпаривают раствор до влажных солей, приливают 1,5-2 см
соляной кислоты, 10 см
воды и нагревают до растворения солей.
Раствор с осадком переносят в мерную колбу вместимостью 50 см, доливают до метки водой и перемешивают. Раствор фильтруют через сухой фильтр в сухую коническую колбу вместимостью 50 см
, отбрасывая первые порции фильтрата.
Атомную абсорбцию кобальта измеряют при длине волны 240,7 нм.
Для внесения поправки на содержание кобальта в реактивах через все стадии анализа проводят контрольный опыт. Распыляют в пламя раствор контрольного опыта, а затем испытуемые растворы в порядке увеличения массовой доли кобальта до получения стабильных показаний для каждого раствора. Перед введением в пламя каждого анализируемого раствора распыляют воду для промывания системы и проверки нулевой точки.
Значение массы кобальта в анализируемом растворе находят по градуировочному графику с учетом поправки контрольного опыта. Интервал концентраций кобальта при построении градуировочного графика является рекомендуемым.
(Измененная редакция, Изм. N
2).
4.3.2.1. Построение градуировочного графика
В восемь стаканов вместимостью 200-300 см помещают по 1,0 г карбонильного железа. В семь стаканов последовательно приливают по 0,5; 1,0; 2,0; 4,0; 6,0; 8,0 и 10 см
стандартного раствора В, что соответствует 0,00005; 0,0001; 0,0002; 0,0004; 0,0006; 0,0008 и 0,001 г кобальта в 50 см
анализируемого раствора. Восьмой стакан служит для проведения контрольного опыта.
Далее проведение анализа по п.4.3.2.
Из среднего значения оптической плотности каждого раствора вычитают среднее значение оптической плотности контрольного опыта. По найденным значениям оптической плотности и соответствующим им значениям массы кобальта строят градуировочный график.
4.3.3. Определение кобальта (0,1-5,0%)
Массу навески чугуна в зависимости от массовой доли кобальта определяют по табл.4.
Таблица 4
Массовая доля кобальта, % | Масса навески, г | Аналитическая линия, нм |
От 0,10 до 1,0 | 0,2 | 240,7 |
Св. 1,0 " 5,0 | 0,1 | 252,1 |
Навеску чугуна помещают в стакан вместимостью 200-300 см и растворяют при нагревании в 10 см
соляной и 3 см
азотной кислот. Раствор выпаривают досуха. К сухому остатку приливают 10 см
соляной кислоты и вновь выпаривают досуха. Затем приливают 3 см
соляной кислоты, 15 см
воды и нагревают до растворения солей.
Раствор отфильтровывают в мерную колбу вместимостью 100 см, стакан и фильтр промывают водой, фильтр отбрасывают. К фильтрату приливают 5 см
раствора аскорбиновой кислоты (при навеске чугуна массой 0,2 г) или 2,5 см
(при навеске чугуна массой 0,1 г), доливают водой до метки и перемешивают.
Атомную абсорбцию кобальта измеряют в пламени воздух-ацетилен при длине волны в соответствии с табл.4 в зависимости от массовой доли кобальта.
Далее проведение анализа по п.4.3.2.
Значение массы кобальта в анализируемом растворе находят по градуировочному графи
ку.
4.3.3.1. Построение градуировочного графика
При массовой доле кобальта от 0,1 до 0,5% в семь стаканов вместимостью 250 см помещают по 0,2 г карбонильного железа и в шесть из них отмеряют 1,0; 2,0; 4,0; 6,0; 8,0 и 10,0 см
стандартного раствора В, что соответствует 0,0001; 0,0002; 0,0004; 0,0006; 0,0008 и 0,001 г кобальта в 100 см
анализируемого раствора.
Седьмой стакан служит для проведения контрольного опыта.
При массовой доле кобальта от 0,5 до 1,0% в семь стаканов вместимостью 250 см помещают по 0,2 г карбонильного железа и в шесть из них отмеряют 5,0; 6,0; 7,0; 8,0; 9,0 и 10,0 см
стандартного раствора Б, что соответствует 0,001; 0,0012; 0,0014; 0,0016; 0,0018 и 0,002 г кобальта в 100 см
анализируемого раствора.
Седьмой стакан служит для проведения контрольного опыта.
При массовой доле кобальта от 1,0 до 5,0% в шесть стаканов вместимостью 250 см помещают по 0,1 г карбонильного железа и в пять из них отмеряют 1,0; 2,0; 3,0; 4,0; 5,0 см
стандартного раствора А, что соответствует 0,001; 0,002; 0,003; 0,004 и 0,005 г кобальта в 100 см
анализируемого раствора.
Шестой стакан служит для проведения контрольного опыта.
В каждый стакан приливают по 10 см соляной и по 3 см
азотной кислот. Далее анализ ведут в соответствии с п.4
.3.3.
4.3.3, 4.3.3.1. (Измененная редакция, Изм. N 2).
4.4. Обработка результатов
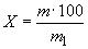
4.4.1. Массовую долю кобальта () в процентах вычисляют по формуле
,
где - масса кобальта, найденная по градуировочному графику, г;
- масса навески чугуна, г.
4.4.2. Нормы точности и нормативы контроля точности массовой доли кобальта приведены в табл.5.
Таблица 5
Массовая доля кобальта, % | Нормы точности и нормативы контроля точности, % | ||||
От 0,005 до 0,01 включ. | 0,0018 | 0,0022 | 0,0018 | 0,0022 | 0,0012 |
Св. 0,01 " 0,02 " | 0,0024 | 0,0030 | 0,0025 | 0,0030 | 0,0016 |
" 0,02 " 0,05 " | 0,004 | 0,005 | 0,004 | 0,005 | 0,003 |
" 0,05 " 0,10 " | 0,006 | 0,007 | 0,006 | 0,007 | 0,004 |
" 0,10 " 0,2 " | 0,018 | 0,022 | 0,018 | 0,022 | 0,012 |
" 0,2 " 0,5 " | 0,026 | 0,033 | 0,028 | 0,034 | 0,017 |
" 0,5 " 1,0 " | 0,04 | 0,05 | 0,04 | 0,05 | 0,02 |
" 1,0 " 2,0 " | 0,05 | 0,07 | 0,06 | 0,07 | 0,03 |
" 2,0 " 5,0 " | 0,09 | 0,11 | 0,09 | 0,11 | 0,06 |
(Измененная редакция, Изм. N 2).
Разд.4. (Введен дополнительно, Изм. N 1).
Текст документа сверен по:
официальное издание
Чугун. Марки. Технические условия.
Методы анализа: Сб. ГОСТов. -
М.: ИПК Издательство стандартов, 2004
Разместите заказ
сами сделают вам предложение
