ГОСТы сталей. ГОСТ 2604.11-85
ГОСТ 2604.11-85
Группа В09
МЕЖГОСУДАРСТВЕННЫЙ СТАНДАРТ
ЧУГУН ЛЕГИРОВАННЫЙ
Методы определения мышьяка
Alloy cast iron. Methods for determination of arsenic
MКC 77.080.10
ОКСТУ 0809
Дата введения 1986-07-01
Постановлением Государственного комитета СССР по стандартам от 22 апреля 1985 г. N 1130 дата введения установлена 01.07.86
Ограничение срока действия снято по протоколу N 5-94 Межгосударственного совета по стандартизации, метрологии и сертификации (ИУС 11-12-94)
ВЗАМЕН ГОСТ 2604.11-77
ИЗДАНИЕ с Изменением N 1, утвержденным в июле 1990 г. (ИУС 11-90).
Настоящий стандарт устанавливает методы определения мышьяка в легированном чугуне: фотометрический (при массовой доле от 0,01 до 0,25%); потенциометрический (при массовой доле от 0,05 до 0,25%).
1. ОБЩИЕ ТРЕБОВАНИЯ
1. ОБЩИЕ ТРЕБОВАНИЯ
1.1. Общие требования к методам анализа - по ГОСТ 28473-90.
1.2. Погрешность результата анализа (при доверительной вероятности 0,95) не превышает предела , приведенного в таблице, при выполнении следующих условий:
расхождение результатов двух (трех) параллельных измерений не должно превышать (при доверительной вероятности 0,95) значения
, приведенного в таблице;
воспроизведенное в стандартном образце значение массовой доли мышьяка не должно отличаться от аттестованного более чем на допускаемое (при доверительной вероятности 0,85) значение , приведенное в таблице.
При невыполнении одного из вышеуказанных условий проводят повторные измерения массовой доли мышьяка. Если и при повторных измерениях требования к точности результатов не выполняются, результаты анализа признают неверными, измерения прекращают до выявления и устранения причин, вызвавших нарушение нормального хода анализа.
Расхождение двух средних результатов анализа, выполненных в различных условиях (например, при внутрилабораторном контроле воспроизводимости), не должно превышать (при доверительной вероятности 0,95) значения , приведенного в таблице.
(Введен дополнительно, Изм. N 1).
2. ФОТОМЕТРИЧЕСКИЙ МЕТОД
2.1. Сущность метода
Метод основан на образовании синего мышьяково-молибденового комплекса в результате взаимодействия пятивалентного мышьяка с молибденовокислым аммонием в присутствии восстановителя - аскорбиновой кислоты или сернокислого гидразина. Мышьяк предварительно отделяют от сопутствующих элементов чугуна дистилляцией в виде треххлористого мышьяка из солянокислого раствора в присутствии бромистого калия и сернокислого гидразина.
2.2. Аппаратура, реактивы и растворы
Фотоэлектроколориметр или спектрофотометр.
Аппарат для отгонки мышьяка по ГОСТ 14204-69.
Кислота соляная по ГОСТ 3118-77 и разбавленная 1:2.
Кислота азотная по ГОСТ 4461-77.
Смесь соляной и азотной кислот, 3:1. Готовят непосредственно перед использованием.
Кислота серная по ГОСТ 4204-77 и разбавленная 1:1, 1:4.
Калий бромистый по ГОСТ 4160-74 и раствор 0,1 г/см.
Гидразин сернокислый по ГОСТ 5841-74 и растворы 0,05 и 0,0015 г/см.
Раствор восстановительный: раствор сернокислого гидразина 0,05 г/см, предварительно слегка подогретый, смешивают с раствором бромистого калия в отношении 2:1. Готовят непосредственно перед употреблением. Допускается применение восстановительной смеси из сухих реактивов.
Натрия гидроокись по ГОСТ 4328-77, раствор 0,4 г/см.
Фенолфталеин, индикатор, спиртовой раствор 0,01 г/см.
Спирт этиловый ректификованный по ГОСТ 18300-87.
Калий марганцовокислый по ГОСТ 20490-75, раствор 0,001 г/см.
Аммоний молибденовокислый по ГОСТ 3765-78.
Серномолибдатный реактив.
12,5 г молибденовокислого аммония растворяют при нагревании в 250 см воды, отфильтровывают через плотный фильтр (синяя лента). В стакан вместимостью 1 дм
приливают 500 см
воды и медленно при перемешивании приливают 190 см
серной кислоты, охлаждают и постепенно при перемешивании приливают охлажденный раствор молибденовокислого аммония. Раствор переносят в мерную колбу вместимостью 1 дм
, доливают до метки водой и перемешивают. Раствор молибденовокислого аммония в серной кислоте устойчив 2 мес.
Кислота хлорная плотностью 1,51 г/см.
Хлорномолибдатный реактив.
8,1 г молибденовокислого аммония растворяют при нагревании в 250 см воды. В стакан вместимостью 1 дм
приливают 300 см
воды, 350 см
хлорной кислоты и перемешивают, затем постепенно при перемешивании к полученному раствору приливают охлажденный раствор молибденовокислого аммония. Раствор переносят в мерную колбу вместимостью 1 дм
, доливают до метки водой и перемешивают. Раствор молибденовокислого аммония в хлорной кислоте устойчив 2 мес.
Кислота аскорбиновая, раствор 0,005 г/см.
Ангидрид мышьяковистый рафинированный по ГОСТ 1973-77.
Натрий мышьяковистокислый орто (NaASO
).
Стандартные растворы мышьяковистого ангидрида или мышьяковистокислого натрия орто:
раствор А с массовой концентрацией мышьяка 0,1 мг/см:
0,132 г мышьяковистого ангидрида растворяют в 5 см раствора гидроокиси натрия в стакане вместимостью 100 см
, нейтрализуют раствором серной кислоты 1:4 по фенолфталеину и переводят в мерную колбу вместимостью 1 дм
, доливают водой до метки и перемешивают.
Допускается приготовление стандартного раствора А из мышьяковистокислого натрия орто: 0,256 г мышьяковистокислого натрия орто растворяют в мерной колбе вместимостью 1 дм в воде, доводят до метки водой и перемешивают;
раствор Б с массовой концентрацией мышьяка 0,01 мг/см:
10 см стандартного раствора А помещают в мерную колбу вместимостью 100 см
, доливают до метки водой и перемешивают; готовят перед употреблением.
Индикаторная бумага универсальная.
Железо карбонильное ос.ч.
(Измененна
я редакция, Изм. N 1).
2.3. Проведение анализа
2.3.1. Определение мышьяка с серномолибдатным реактивом
Навеску чугуна массой 1 г (при массовой доле мышьяка 0,01-0,05%) и 0,2 г (при массовой доле мышьяка свыше 0,05%) помещают в стакан или колбу вместимостью 250-300 см, приливают 20 см
смеси соляной и азотной кислот и 20 см
серной кислоты 1:1. Растворяют навеску при умеренном нагревании и выпаривают до начала выделения паров серной кислоты. Охлаждают, приливают 20 см
соляной кислоты и количественно с помощью 25-30 см
воды переносят в колбу дистилляционного аппарата. Прибавляют 15 см
восстановительного раствора или 0,5 г бромистого калия и 1 г сернокислого гидразина и быстро соединяют колбу с холодильником. Отгонку треххлористого мышьяка ведут при умеренном нагревании при температуре не выше 120 °С.
Прибор проверяют на герметичность с помощью универсальной индикаторной бумаги. Для этого отгоняют соляную кислоту 1:2, проверяя соединение колбы с холодильником с помощью полоски универсальной индикаторной бумаги, помещенной снаружи на стыке шлифа. В случае негерметичности шлифы прибора необходимо притереть.
Допускается отгонка треххлористого мышьяка в токе азота или другого инертного газа.
Дистиллат собирают в стакан-приемник (мензурку) вместимостью 100 см, в который предварительно налито 10 см
воды. Отгоняют не менее
первоначального объема раствора. Дистиллат переводят в мерную колбу вместимостью 100 см
, прибавляют 2 капли фенолфталеина и нейтрализуют раствором гидроокиси натрия до появления устойчивой малиновой окраски. Затем прибавляют по каплям серную кислоту 1:4 до исчезновения окраски и 3 капли в избыток. Раствор охлаждают, доливают водой до метки и перемешивают.
В мерную колбу вместимостью 50 см помещают аликвотную часть раствора 20 см
, прибавляют по каплям при перемешивании раствор марганцовокислого калия до появления устойчивой в течение 1 мин окраски. Приливают 15 см
воды, 4 см
серномолибдатного реактива и 2 см
раствора аскорбиновой кислоты или раствора гидразина 0,0015 г/см
. Содержимое колбы перемешивают и нагревают на кипящей водяной бане в течение 15 мин.
Раствор охлаждают, доливают до метки водой и перемешивают.
Оптическую плотность раствора измеряют на фотоэлектроколориметре со светофильтром, имеющим область пропускания в интервале длин волн 600-700 нм или спектрофотометре при длине волны 840 нм.
В качестве раствора сравнения применяют воду.
Массовую долю мышьяка находят по градуировочному графику с учетом поправки контрольн
ого опыта.
2.3.2. Построение градуировочного графика
В шесть стаканов вместимостью 250-300 см помещают навески карбонильного железа массой 1 г (при массовой доле мышьяка 0,01-0,05%) или 0,2 г (при массовой доле мышьяка свыше 0,05%).
В пять стаканов приливают последовательно 2; 4; 6; 8 и 10 см стандартного раствора Б, что соответствует значениям массовой доли мышьяка 0,01; 0,02; 0,03; 0,04; 0,05% по отношению к исходной навеске 1 г или 0,05; 0,10; 0,15; 0,20 и 0,25% по отношению к исходной навеске 0,2 г. Шестой стакан служит для проведения контрольного опыта. В каждый стакан приливают по 20 см
смеси соляной и азотной кислот и по 20 см
серной кислоты 1:1. Растворяют навески при умеренном нагревании. Далее поступают, как указано в п.2.3.1. По найденным значениям оптической плотности растворов (с учетом результата контрольного опыта) и соответствующим им значениям массовой доли мышьяка строят градуировочный график.
2.3.3. Определение мышьяка с хлорномолибдатным реактивом - по п.2.3.1 со следующим дополнением:
в мерную колбу вместимостью 50 см помещают аликвотную часть раствора 20 см
и по каплям при перемешивании прибавляют раствор марганцовокислого калия до появления устойчивой в течение 1 мин окраски. Приливают 20 см
хлорномолибдатного реактива и 2 см
раствора аскорбиновой кислоты или раствора гидразина 0,0015 г/дм
. Содержимое колбы перемешивают и нагревают на кипящей водяной бане в течение 15 мин.
Раствор охлаждают, доливают до метки водой и перемешивают.
2.3.4. Построение градуировочного графика при определении мышьяка с хлорномолибдатным реактивом - по п.2.3.2 со следующим дополнением:
в каждую колбу прибавляют по каплям при перемешивании раствор марганцовокислого калия до появления устойчивой в течение 1 мин окраски. Приливают 20 см хлорномолибдатного реактива и 2 см
раствора аскорбиновой кислоты или раствора гидразина 0,0015 г/см
. Растворы нагревают на кипящей водяной бане в течение 15 мин, затем охлаждают, доливают до метки водой и перемешивают.
2.3.1-2.3.4. (Измененная редакция, Изм. N 1).
2.4. Обработка результатов
2.4.1. Массовую долю мышьяка в процентах находят по градуировочному графику.
2.4.2. Нормы точности и нормативы контроля точности измерения массовой доли мышьяка приведены в таблице.
Массовая доля мышьяка | Нормы точности и нормативы контроля точности, % | ||||
От 0,01 до 0,02 включ. | 0,004 | 0,005 | 0,004 | 0,005 | 0,003 |
Св. 0,02 " 0,05 " | 0,006 | 0,007 | 0,006 | 0,007 | 0,004 |
" 0,05 " 0,10 " | 0,010 | 0,012 | 0,010 | 0,012 | 0,006 |
" 0,10 " 0,25 " | 0,016 | 0,020 | 0,017 | 0,020 | 0,010 |
(Измененная редакция, Изм. N 1).
3. ПОТЕНЦИОМЕТРИЧЕСКИЙ МЕТОД
3.1. Сущность метода
Метод основан на реакции окисления мышьяка (III) до мышьяка (V) в солянокислой среде раствором бромноватокислого калия. Эквивалентную точку определяют по изменению потенциала платинового электрода по отношению к потенциалу насыщенного каломельного или вольфрамового электрода. Мышьяк предварительно отделяют от сопутствующих элементов дистилляцией в виде треххлористого мышьяка в присутствии бромистого калия и сернокислого гидразина.
3.2. Аппаратура, реактивы и растворы
Установка для потенциометрического титрования.
Кислота соляная по ГОСТ 3118-77 и разбавленная 1:1.
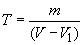
Калий бромноватокислый по ГОСТ 4457-74, раствор с молярной концентрацией эквивалента 0,01 моль/дм: 0,2784 г предварительно перекристаллизованного из водного раствора и высушенного при 150-180 °С бромноватокислого калия растворяют в 100-120 см
воды, переливают раствор в мерную колбу вместимостью 1 дм
, доливают до метки водой и перемешивают.
Массовую концентрацию раствора бромноватокислого калия по мышьяку () устанавливают следующим образом: в стакан вместимостью 300 см
приливают 10 см
стандартного раствора А и далее анализ проводят, как указано в п.3.3. Одновременно титруют раствор контрольного опыта.
Массовую концентрацию раствора бромноватокислого калия () по мышьяку в г/см
вычисляют по формуле
,
где - масса мышьяка в аликвотной части стандартного раствора, г;
- объем раствора бромноватокислого калия, израсходованный на титрование стандартного раствора, см
;
- объем раствора бромноватокислого калия, израсходованный на титрование раствора контрольного опыта, см
.
Раствор допускается готовить из фиксанала, при этом =0,000375 г/см
.
Остальные реактивы и растворы - по п.2.2.
(Измененная редакция, Изм. N 1)
.
3.3. Проведение анализа
Навеску чугуна массой 1 г помещают в стакан вместимостью 250-300 см и далее анализ проводят, как указано в п.2.3.1.
Дистиллат собирают в стакан-приемник вместимостью 250-300 см, в который предварительно налито 30-40 см
воды, отгоняют не менее 2/3 первоначального объема раствора.
Стакан с дистиллатом помещают в прибор для потенциометрического титрования, опускают мешалку и электроды; мешалку приводят во вращение и перемешивают раствор в течение 0,5-1 мин. Затем, не выключая мешалку, раствор титруют, добавляя по каплям раствор бромноватокислого калия из микробюретки до получения скачка потенциала.
3.4. Обработка результатов
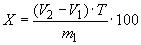
3.4.1. Массовую долю мышьяка () в процентах вычисляют по формуле
,
где - объем раствора бромноватокислого калия, израсходованный на титрование анализируемого раствора, см
;
- объем раствора бромноватокислого калия, израсходованный на титрование раствора контрольного опыта, см
;
- массовая концентрация раствора бромноватокислого калия по мышьяку, г/см
;
- масса навески чугуна, г
.
3.4.2. Нормы точности и нормативы контроля точности измерения массовой доли мышьяка приведены в таблице.
3.4.1, 3.4.2. (Измененная редакция, Изм. N 1).
Текст документа сверен по:
официальное издание
Чугун. Марки. Технические условия.
Методы анализа: Сб. ГОСТов. -
М.: ИПК Издательство стандартов, 2004
Разместите заказ
сами сделают вам предложение
