ГОСТы сталей. ГОСТ 25.502-79
ГОСТ 25.502-79
Группа В09
МЕЖГОСУДАРСТВЕННЫЙ СТАНДАРТ
Расчеты и испытания на прочность в машиностроении
МЕТОДЫ МЕХАНИЧЕСКИХ ИСПЫТАНИЙ МЕТАЛЛОВ
Методы испытаний на усталость
Strength analysis and testing in machine building. Methods of metals mechanical testing. Methods of fatigue testing
МКС 77.040.10
ОКП 00 2500
Дата введения 1981-01-01
Постановлением Государственного комитета СССР по стандартам от 30 ноября 1979 г. N 4146 дата введения установлена 01.01.81
Ограничение срока действия снято по протоколу N 2-92 Межгосударственного совета по стандартизации, метрологии и сертификации (ИУС 2-93)
ВЗАМЕН ГОСТ 23026-78 и ГОСТ 2860-65 в части пп.6.1 и 6.2
ИЗДАНИЕ с Изменением N 1, утвержденным в декабре 1985 г. (ИУС 3-86).
Настоящий стандарт устанавливает методы испытаний образцов металлов и сплавов на усталость:
при растяжении - сжатии, изгибе и кручении;
при симметричных и асимметричных циклах напряжениий или деформаций, изменяющихся по простому периодическому закону с постоянными параметрами;
при наличии и отсутствии концентрации напряжений;
при нормальной, повышенной и пониженной температурах;
при наличии или отсутствии агрессивной среды;
в много- и малоцикловой упругой и упругопластической области.
Термины, определения и обозначения, применяемые в стандарте, - по ГОСТ 23207-78.
Стандарт разработан с учетом рекомендации ИСО Р 373 и рекомендации СЭВ PC 36-63.
Стандарт не устанавливает специальные методы испытаний образцов, используемые при отработке прочности высоконапряженных конструкций.
Разделы 2-4 стандарта и приложения могут быть использованы для испытаний на усталость элементов машин и конструкций.
1. МЕТОДЫ ОТБОРА ОБРАЗЦОВ
1. МЕТОДЫ ОТБОРА ОБРАЗЦОВ
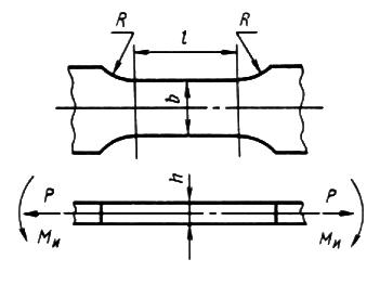
1.1. Испытание металлов на усталость проводят на гладких образцах круглого сечения типов I (черт.1, табл.1) и II (черт.2, табл.2), а также прямоугольного сечения типов III (черт.3, табл.3) и IV (черт.4, табл.4).
Черт.1. Рабочая часть образца типа I
Рабочая часть образца типа I

Черт.1
Таблицa 1
мм
5,0 | ||||
7,5 | ||||
10 | ||||
12 | ||||
15 | ||||
20 |
| |||
25 | ||||
Черт.2. Рабочая часть образца типа II
Рабочая часть образца типа II

Черт.2
Таблица 2
мм
| |||||
5,0 | 25 | 5,0 | |||
7,5 | 37,5 | 7,0 | |||
10 | 50 | 10 | |||
12 | 60 | 12 | |||
15 | 75 | 15 | |||
20 | 100 | 20 | |||
25 | 125 | 25 | |||
Черт.3. Рабочая часть образца типа III
Рабочая часть образца типа III


Черт.3
Таблица 3
мм
Изгиб в плоскости размера | Изгиб в плоскости размера | ||||
|
|
|
|
|
|
До 3,0 включ. | 10 |
| 3,0-20,0 |
| |
Св. 3,0 до 10,0 включ. | 15-30 | ||||
Черт.4. Рабочая часть образца типа IV
Рабочая часть образца типа IV

Черт.4
Таблица 4
мм
|
|
|
|
До 3,0 включ. | 10 | 5,65 |
|
Св. 3,0 до 10,0 включ. | 15 |
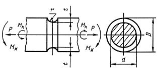
1.2. Чувствительность металла к концентрации напряжений и влиянию абсолютных размеров определяют на образцах типов:
V - с V-образной кольцевой выточкой (черт.5, табл.5-8);
Черт.5. Рабочая часть образца типа V
Рабочая часть образца типа V

Черт.5
Таблица 5
|
|
|
|
|
|
|
|
мм | При изгибе | ||||||
10 | 5,0 | 2,5 | 2,5 | 2,00 | 80 | 1,33 | 11,17 |
12 | 7,5 | 3,75 | 2,25 | 1,09 | 70 | 1,68 | |
15 | 7,5 | 3,75 | 3,75 | 1,09 | 70 | 1,75 | |
17 | 7,5 | 3,75 | 4,75 | 1,09 | 70 | 1,75 | |
20 | 10 | 5,0 | 5,0 | 0,78 | 65 | 2,20 | |
24 | 12 | 6,0 | 6,0 | 0,61 | 60 | 2,63 | |
10 | 5,0 | 2,5 | 2,5 | 1,00 | 70 | 1,58 | 6,53 |
12 | 7,5 | 3,75 | 2,25 | 0,60 | 65 | 2,04 | |
15 | 7,5 | 3,75 | 3,75 | 0,60 | 65 | 2,18 | |
17 | 7,5 | 3,75 | 4,75 | 0,60 | 65 | 2,18 | |
20 | 10 | 5,0 | 5,0 | 0,43 | 60 | 2,80 | |
24 | 12 | 6,0 | 6,0 | 0,36 | 55 | 3,30 | |
10 | 5,0 | 2,5 | 2,5 | 0,50 | 65 | 1,99 | 3,56 |
12 | 7,5 | 3,75 | 2,25 | 0,32 | 60 | 2,58 | |
15 | 7,5 | 3,75 | 3,75 | 0,32 | 60 | 2,83 | |
17 | 7,5 | 3,75 | 4,75 | 0,32 | 60 | 2,83 | |
20 | 10 | 5,0 | 5,0 | 0,23 | 50 | 3,73 | |
24 | 12 | 6,0 | 6,0 | 0,19 | 45 | 4,42 | |
Таблица 6
|
|
|
|
|
|
|
|
мм | При растяжении-сжатии | ||||||
10 | 5,0 | 2,5 | 2,5 | 2,00 | 80 | 1,48 | 15,67 |
15 | 7,5 | 3,75 | 3,75 | 1,33 | 70 | 1,95 | |
20 | 10 | 5,0 | 5,00 | 1,00 | 65 | 2,45 | |
24 | 12 | 6,0 | 6,0 | 0,83 | 60 | 2,89 | |
10 | 5,0 | 2,5 | 2,5 | 1,00 | 70 | 1,87 | 7,87 |
15 | 7,5 | 3,75 | 3,75 | 0,87 | 65 | 2,60 | |
20 | 10 | 5,0 | 5,0 | 0,50 | 60 | 3,35 | |
24 | 12 | 6,0 | 6,0 | 0,42 | 55 | 3,99 | |
10 | 5,0 | 2,5 | 2,5 | 0,50 | 65 | 2,45 | 3,92 |
15 | 7,5 | 3,75 | 3,75 | 0,33 | 60 | 3,58 | |
20 | 10 | 5,0 | 5,0 | 0,25 | 50 | 4,65 | |
24 | 12 | 6,0 | 6,0 | 0,21 | 45 | 5,55 | |
Таблица 7
|
|
|
|
|
|
|
|
мм | При кручении | ||||||
10 | 5,0 | 2,5 | 2,5 | 2,00 | 80 | 1,17 | 17,50 |
15 | 7,5 | 3,75 | 3,75 | 0,92 | 70 | 1,45 | |
20 | 10 | 5,0 | 5,0 | 0,62 | 65 | 1,71 | |
24 | 12 | 6,0 | 6,0 | 0,50 | 60 | 1,94 | |
10 | 5,5 | 2,5 | 2,5 | 0,50 | 65 | 1,52 | 6,57 |
15 | 7,5 | 3,75 | 3,75 | 0,30 | 60 | 1,96 | |
20 | 10 | 5,0 | 5,0 | 0,22 | 50 | 2,40 | |
24 | 12 | 6,0 | 6,0 | 0,18 | 45 | 2,77 | |
Таблица 8
|
|
|
|
|
|
|
| |
мм | При растяжении-сжатии | При изгибе | При кручении | |||||
10 | 5,0 | 2,5 | 2,5 | 0,5 | 65 | 2,45 | 1,99 | 1,52 |
12 | 7,5 | 3,75 | 2,25 | 0,5 | 65 | - | 2,28 | - |
15 | 7,5 | 3,75 | 3,75 | 0,5 | 60 | 2,93 | 2,33 | 1,68 |
17 | 7,5 | 3,75 | 4,75 | 0,5 | 60 | - | 2,33 | - |
20 | 10 | 5,0 | 5,0 | 0,5 | 50 | 3,35 | 2,63 | 1,83 |
30 | 15 | 7,5 | 7,5 | 0,5 | 45 | 4,05 | 3,14 | 2,08 |
VI - с симметричными боковыми надрезами V-образного профиля (черт.6, табл.9);
Черт.6. Рабочая часть образца типа VI
Рабочая часть образца типа VI

Черт.6
Таблица 9
|
|
|
|
|
|
|
| |
мм | При растяжении- сжатии | При изгибе | ||||||
10 | 5,0 | 10 | 2,5 | 2,50 | 0,50 0,25 | 65 | 2,94 | 2,18 |
15 | 7,5 | 15 | 3,75 | 3,75 | 0,50 0,25 | 60 | 3,55 | 2,57 |
20 | 10 | 20 | 5,00 | 5,00 | 0,50 0,25 | 50 | 4,07 | 2,9 |
VII - с центральным поперечным круглым отверстием (черт.7, табл.10);
Черт.7. Рабочая часть образца типа VII
Рабочая часть образца типа VII

Черт.7
Таблица 10
|
|
|
| |
мм | При растяжении-сжатии | При изгибе | ||
До 3,0 включ. | 10 |
| 2,73 | 2,08 |
Св. 3,0 до 10,0 | 5 |
| 2,73 | 2,28 |
VIII - с кольцевой выточкой кругового профиля (черт.8, табл.11);
Черт.8. Рабочая часть образца типа VIII
Рабочая часть образца типа VIII

Черт.8
Таблица 11
|
|
|
|
|
| ||
мм | При растяжении-сжатии | При изгибе | При кручении | ||||
6,00 | 5,00 | 0,50 | 0,50 | 2,18 | 1,89 | 1,46 | |
9,00 | 7,50 | 0,75 | 0,75 | 2,18 | 1,89 | 1,46 | |
12,0 | 10,0 | 1,00 | 1,00 | 2,18 | 1,89 | 1,46 | |
17,0 | 15,0 | 1,00 | 1,00 | 2,18 | 1,89 | 1,46 | |
IX - с двумя симметрично расположенными отверстиями (черт.9, табл.12);
Черт.9. Рабочая часть образца типа IX
Рабочая часть образца типа IX

Черт.9
Таблица 12
|
|
|
|
|
мм | ||||
40 | 10 | До 10,0 | 3,0 | 2,44 |
1,5 | 3,15 | |||
X - с симметричными боковыми надрезами V-образного профиля (черт.10, табл.13).
Черт.10. Рабочая часть образца типа X
Рабочая часть образца типа X

Черт.10
Таблица 13
|
|
|
|
|
|
|
мм | ||||||
40 | 10 | До 10,0 | 0,5 | 10 | 40 | 5,73 |
Размеры образцов выбирают таким образом, чтобы параметр подобия усталостного разрушения
варьировался в возможно более широких пределах при заданном диапазоне изменения диаметров ( - периметр рабочего сечения образца или его часть, прилегающая к зоне повышенной напряженности;
- относительный градиент первого главного напряжения).
При изгибе с вращением, кручении и растяжении-сжатии образцов типов I, II, V, VIII
;
при изгибе в одной плоскости образцов типов III, IV, VI, а также при растяжении-сжатии образцов типа VI
;
при растяжении-сжатии образцов типов III, IV, VII, IX, Х
.
1.3. Для испытания на малоцикловую усталость применяют образцы типов II и IV, если отсутствует опасность продольного изгиба.
Допускается применять образцы типов I и III.
1.4. Рабочая часть образцов должна быть изготовлена по точности не ниже 7-го квалитета ГОСТ 25347-82.
1.5. Параметр шероховатости поверхности рабочей части образцов должен быть 0,32-0,16 мкм по ГОСТ 2789-73.
Поверхность не должна иметь следов коррозии, окалины, литейных корок и цветов побежалости и т.п., если это не предусмотрено задачами исследования.
1.6. Расстояние между захватами испытательной машины выбирают так, чтобы исключить продольный изгиб образца и влияние усилий в захватах на напряженность в его рабочей части.
1.7. Вырезка заготовок, маркирование и изготовление образцов не должны оказывать существенного влияния на усталостные свойства исходного материала. Нагрев образца при изготовлении не должен вызывать структурных изменений и физико-химических превращений в металле; припуски на обработку, параметры режима и последовательность обработки должны сводить к минимуму наклеп и исключать местный перегрев образцов при шлифовании, а также трещины и другие дефекты. Снятие последней стружки с рабочей части и головок образцов проводят с одной установки образца; заусенцы на боковых гранях образцов и кромках надрезов должны быть удалены. Заготовки вырезают в местах с определенной ориентацией по отношению к макроструктуре и напряженному состоянию изделий.
1.8. В пределах намеченной серии испытаний технология изготовления образцов из однотипных металлов должна быть одинаковой.
1.9. Измерение размеров рабочей части изготовленных образцов до испытаний не должно вызывать повреждения ее поверхности.
1.10. Рабочую часть образца измеряют с погрешностью не более 0,01 мм.
2. АППАРАТУРА
2.1. Машины для испытаний на усталость должны обеспечивать нагружение образцов по одной или нескольким схемам, приведенным на черт. 11-16. Машины для испытаний на усталость, обеспечивающие также проведение статических испытаний на разрыв, должны соответствовать требованиям ГОСТ 1497-84.
Черт.11. Чистый изгиб при вращении образцов типов I, II, V, VIII
Чистый изгиб при вращении образцов типов I, II, V, VIII

Черт.11
Черт.12. Поперечный изгиб при вращении образцов типов I, II, V, VIII при консольном нагружении
Поперечный изгиб при вращении образцов типов I, II, V, VIII при консольном нагружении

Черт.12
Черт.13. Чистый изгиб в одной плоскости образцов типов I-VIII
Чистый изгиб в одной плоскости образцов типов I-VIII

Черт.13
Черт.14. Поперечный изгиб в одной плоскости образцов типов I-VIII при консольном нагружении
Поперечный изгиб в одной плоскости образцов типов I-VIII при консольном нагружении

Черт.14
Черт.15. Повторно-переменное растяжение-сжатие образцов типов I-Х
Повторно-переменное растяжение-сжатие образцов типов I-Х

Черт.15
Черт.16. Повторно-переменное кручение образцов типов I, II, V, VIII
Повторно-переменное кручение образцов типов I, II, V, VIII

Черт.16
2.2. Суммарная погрешность нагружения в процессе испытания образцов зависит от типа машин и частоты нагружения и не должна превышать в интервале 0,2-1,0 каждого диапазона нагружения в процентах измеряемой величины:
±2% - при 0,5 Гц;
±3% - при 0,5
50 Гц;
±5% - при 50 Гц.
При испытании на гидропульсационных и резонансных машинах без тензометрического силоизмерения в интервале 0-0,2 каждого диапазона нагружения погрешность измерения нагрузки не должна превышать ±5% задаваемых напряжений.
2.3. Погрешность измерений, поддержания и записи деформаций при малоцикловых испытаниях не должна превышать ±3% измеряемой величины в интервале 0,2-1,0 каждого диапазона нагружения.
2.4. Абсолютная погрешность измерения, поддержания и регистрации нагрузок и деформаций в интервале 0-0,2 каждого диапазона не должна превышать абсолютных погрешностей в начале этого диапазона нагружения.
2.5. Нагрузки (при мягком нагружении) или деформации (при жестком нагружении) должны соответствовать 0,2-0,8 применяемого диапазона измерений.
2.6. При испытании на малоцикловое растяжение или сжатие и растяжение-сжатие дополнительные деформации изгиба образца от несоосности нагружения не должны превышать 5% деформаций растяжения или сжатия.
2.7. При испытаниях на малоцикловую усталость должно быть обеспечено непрерывное измерение, а также непрерывная или периодическая регистрация процесса деформирования рабочей части образца.
2.8. Допускается калибровка испытательного оборудования при статических режимах (в том числе и на несоосность нагружения) с оценкой динамической составляющей погрешности расчетным или косвенным способами.
3. ПРОВЕДЕНИЕ ИСПЫТАНИЙ
3.1. При испытании образцов допускается мягкое и жесткое нагружение.
3.2. В пределах намеченной серии испытаний все образцы нагружают одним способом и испытывают на однотипных машинах.
3.3. Испытания образцов проводят непрерывно до образования трещины заданного размера, полного разрушения или до базового числа циклов.
Допускаются перерывы в испытаниях с учетом условий их проведения и обязательной оценкой влияния перерывов на результаты испытаний.
(Измененная редакция, Изм. № 1).
3.4. В процессе испытания образцов контролируют стабильность задаваемых нагрузок (деформаций).
3.5. Испытание серии одинаковых образцов при асимметричных циклах проводят:
либо при одинаковых для всех образцов средних напряжениях (деформациях) цикла;
либо при одинаковом для всех образцов коэффициенте асимметрии цикла.
3.6. Для построения кривой распределения долговечности и оценки среднего значения и среднеквадратического отклонения логарифма долговечности на заданном уровне напряжений испытывают серию объемом не менее 10 одинаковых образцов до полного разрушения или образования макротрещин.
3.7. Испытания на многоцикловую усталость
3.7.1. Основными критериями разрушения при определении пределов выносливости и построении кривых усталости являются полное разрушение или появление макротрещин заданного размера.
3.7.2. Для построения кривой усталости и определения предела выносливости, соответствующего вероятности разрушения 50%, испытывают не менее 15 одинаковых образцов.
В интервале напряжений 0,95-1,05 от предела выносливости, соответствующего вероятности разрушения 50%, должны быть испытаны не менее трех образцов, при этом не менее половины из них не должны разрушаться до базы испытаний.
3.7.3. База испытаний для определения пределов выносливости принимается:
10·10 циклов - для металлов и сплавов, имеющих практически горизонтальный участок на кривой усталости;
100·10 циклов - для легких сплавов и других металлов и сплавов, ординаты кривых усталости которых по всей длине непрерывно уменьшаются с ростом числа циклов.
Для сравнительных испытаний база для определения пределов выносливости соответственно принимается 3·10 и 10·10
циклов.
3.7.4. Для построения семейства кривых усталости по параметру вероятности разрушения, построения кривой распределения предела выносливости, оценки среднего значения и среднеквадратического отклонения предела выносливости испытывают серии объемом не менее 10 одинаковых образцов на каждом из 4-6 уровней напряжения.
3.7.5. От 10 до 300 Гц частота циклов не регламентируется, если испытания проводят в обычных атмосферных условиях (по ГОСТ 15150-69) и если температура рабочей части образца при испытаниях не выше 50 °С.
Для образцов из легкоплавких и других сплавов, обнаруживающих изменения механических свойств до температуры 50 °С, допускаемую температуру испытания устанавливают особо.
Во всех случаях частоту циклов указывают при представлении результатов испытаний.
Сравнительные испытания рекомендуется проводить на одной частоте нагружения.
3.8. Испытания на малоцикловую усталость (при долговечности до 5·10 циклов*).
________________
* Число циклов 5·10 является условной границей мало- и многоцикловой усталости. Это значение для пластичных сталей и сплавов характеризует среднее число циклов для зоны перехода от упругопластического к упругому циклическому деформированию. Для высокопластичных сплавов переходная зона смещается в сторону больших долговечностей, для хрупких - в сторону меньших.
3.8.1. Основным видом нагружения при испытаниях является растяжение-сжатие.
3.8.2. Верхний уровень частот испытаний ограничивается значениями, исключающими саморазогрев образца выше 50 °С для легких сплавов и выше 100 °С для сталей.
Во всех случаях частоту циклов указывают при представлении результатов испытаний.
Сравнительные испытания рекомендуется проводить на одной частоте нагружения.
Для регистрации диаграмм деформирования допускается в процессе испытаний переход на более низкие частоты, соответствующие требуемой разрешающей способности и точности приборов измерения и регистрации циклических напряжений и деформаций.
3.8.3. При испытании на растяжение-сжатие образцов типов II и IV измерение деформаций следует проводить в продольном направлении.
При испытании образцов типов I и III допускается измерять деформации в поперечном направлении.
Примечание. Для приближенного пересчета поперечной деформации в продольную используют формулу
,
где
- упругая составляющая поперечной деформации;
- пластическая составляющая поперечной деформации.
3.9. Испытания при повышенной и пониженной температурах
3.9.1. Испытания при повышенной и пониженной температурах проводят при тех же видах деформации и тех же образцах, что и при нормальной температуре.
3.9.2. Рекомендуется испытания проводить при температурах (в °С), кратных 50, если по условиям испытаний не требуется промежуточная температура.
3.9.3. Температуру испытания образцов контролируют по данным динамической тарировки температурного перепада между образцом и печным пространством. Температурную тарировку проводят с учетом влияния длительности испытания. При тарировке термопары закрепляют на образце.
3.9.4. Термопары поверяют как до испытания, так и после него по ГОСТ 8.338-2002. При испытании на базах более 10 циклов производят, кроме того, промежуточные поверки термопар.
3.9.5. Неравномерность распределения температуры по длине рабочей части при испытании гладких образцов типов II и IV не должна превышать 1% на 10 мм заданной температуры испытания. При испытании гладких образцов типов I, III и образцов с концентраторами напряжений неравномерность распределения температуры регламентируется на расстоянии ±5 мм от минимального сечения образца. Отклонение от заданной температуры не должно превышать 2%.
3.9.6. В процессе испытания допускаемые отклонения температуры на рабочей части образца в °С не должны выходить за пределы:
до | 600 | включ. | ± 6; | ||||||
св. | 601 | до | 900 | " | ±8; | ||||
" | 901 | " | 1200 | " | ± 12. | ||||
3.9.7. Нагружение образцов проводят после установившегося теплового режима системы “образец-печь” при достижении заданной температуры образца.
3.9.8. Базу испытаний принимают в соответствии с п.3.7.3 настоящего стандарта.
3.9.9. Для сопоставимости результатов испытания данной серии образцов проводят при одинаковой частоте и базе, если целью испытаний не является исследование влияния частоты нагружения. В протоколах испытания указывают не только число пройденных циклов, но и полное время испытания каждого образца.
3.10. Испытания в условиях агрессивной среды
3.10.1. Испытания в условиях агрессивной среды проводят при тех же видах деформации и на тех же образцах, что и при отсутствии агрессивной среды. Допускается одновременное испытание группы образцов с регистрацией момента разрушения каждого.
3.10.2. Образец должен непрерывно находиться в газовой или жидкостной агрессивной среде.
3.10.3. При испытаниях в агрессивной среде должна быть обеспечена стабильность параметров агрессивной среды и ее взаимодействия с поверхностью образца. Требования к периодичности контроля состава агрессивной среды определяются составом среды и задачами исследования.
3.10.4. Для сопоставимости результатов испытания данной серии образцов проводят при одинаковой частоте и базе, если целью испытаний не является исследование влияния частоты нагружения.
3.9-3.9.9, 3.10-3.10.4. (Введены дополнительно, Изм. N 1).
4. ОБРАБОТКА РЕЗУЛЬТАТОВ
4.1. По результатам испытаний на усталость проводят:
построение кривой усталости и определение предела выносливости, соответствующих вероятности разрушения 50%;
построение диаграмм предельных напряжений и предельных амплитуд;
построение кривой усталости в малоцикловой области;
построение диаграмм упругопластического деформирования и определение их параметров;
построение кривых усталости по параметру вероятности разрушения;
определение предела выносливости для заданного уровня вероятности разрушения;
определение среднего значения и среднеквадратического отклонения логарифма долговечности на заданном уровне напряжений или деформаций;
определение среднего значения и среднеквадратического отклонения предела выносливости.
Указанные характеристики сопротивления усталости металлов определяют для различных стадий развития макротрещин и (или) полного разрушения.
4.2. Обработка результатов испытаний на многоцикловую усталость
4.2.1. Исходные данные и результаты каждого испытания образца фиксируют в протоколе испытания (приложения 1 и 2), а результаты испытания серии одинаковых образцов - в сводном протоколе испытания (приложения 3 и 4).
4.2.2. Кривые усталости строят в полулогарифмических координатах (;
или
;
) или двойных логарифмических координатах (
; или
;
).
4.2.3. Кривые усталости при асимметричных циклах строят для серии одинаковых образцов, испытанных при одинаковых средних напряжениях или при одинаковых коэффициентах асимметрии.
4.2.4. Кривые усталости по результатам испытаний ограниченного объема образцов (п.3.7.2) строят методом графического интерполирования экспериментальных результатов или по способу наименьших квадратов.
4.2.5. Для построения кривых распределения долговечности и пределов выносливости, оценки средних значений и среднеквадратических отклонений, а также построения семейства кривых усталости по параметру вероятности разрушения результаты испытаний подвергают статистической обработке (приложения 5-7).
4.2.6. Диаграммы предельных напряжений и предельных амплитуд строят с помощью семейства кривых усталости, полученных по результатам испытания не менее трех-четырех серий одинаковых образцов при разных для каждой серии средних напряжениях или коэффициентах асимметрии цикла напряжений.
4.3. Обработка результатов испытаний на малоцикловую усталость
4.3.1. Обработку результатов производят, как указано в п.4.2.4.
4.3.2. Исходные данные и результаты испытаний каждого образца фиксируют в протоколе испытания, а результаты испытания серии одинаковых образцов - в сводном протоколе испытания (приложения 8 и 9).
4.3.3. По результатам испытаний образцов при жестком нагружении строят кривые усталости в двойных логарифмических координатах (черт.17):
амплитуда полной деформации - число циклов до образования трещины
или до разрушения
;
амплитуда пластической деформации - число циклов, соответствующее половине числа циклов до образования трещины
или до разрушения
.
Примечания:
1. Амплитуду пластической деформации определяют как половину ширины петли упругопластического гистерезиса
или как разность между задаваемой амплитудой полной деформации и амплитудой упругой деформации, определяемой по измеренной нагрузке, соответствующему ей напряжению и модулю упругости материала.
2. Амплитуду пластической деформации при числе циклов, соответствующем половине числа циклов, до образования трещины или до разрушения определяют интерполяцией значений амплитуд при предварительно выбранных числах циклов, близких к ожидаемым.
Черт.17. Кривые усталости при жестком нагружении
Кривые усталости при жестком нагружении

Черт.17
4.3.4. По результатам испытаний при мягком нагружении строят:
кривую усталости в полулогарифмических или двойных логарифмических координатах: амплитуда напряжений - число циклов до образования трещины
или до разрушения
(черт.18);
зависимость амплитуды пластических деформаций (половина ширины петли гистерезиса) от числа полуциклов нагружения
по параметру амплитуды напряжения при выбранном коэффициенте асимметрии цикла напряжений (черт.19).
Черт.18. Кривая усталости при мягком нагружении
Кривая усталости при мягком нагружении

Черт.18
Черт.19. Зависимость амплитуды пластических деформаций от числа полуциклов нагружения
Зависимость амплитуды пластических деформаций от числа полуциклов нагружения

Черт.19
а - для циклически разупрочняющегося материала: б - для циклически стабилизирующегося материала; в - для циклически упрочняющегося материала
ПРИЛОЖЕНИЕ 1 (рекомендуемое). ПРОТОКОЛ испытания образца
ПРИЛОЖЕНИЕ 1
Рекомендуемое
ПРОТОКОЛ
испытания образца (приложение к сводному протоколу N ________ )
Назначенное испытание | |||||||||||||||||||||||
Образец: шифр | , поперечные размеры | ||||||||||||||||||||||
Машина: тип | , N | ||||||||||||||||||||||
Напряжения цикла: | |||||||||||||||||||||||
максимальное | , среднее | , амплитудное | |||||||||||||||||||||
Нагрузки (число делений по шкале нагрузок): | |||||||||||||||||||||||
максимальная | , средняя | , амплитудная | |||||||||||||||||||||
Показания приборов, регистрирующих аксиальность нагрузки или биение образца: | |||||||||||||||||||||||
прибор N 1 | , прибор N 2 | , прибор N 3 | |||||||||||||||||||||
Показания счетчика (дата и время): | |||||||||||||||||||||||
в начале испытания | |||||||||||||||||||||||
в конце испытания | |||||||||||||||||||||||
Число пройденных циклов | |||||||||||||||||||||||
Частота нагружения | |||||||||||||||||||||||
Критерий разрушения | |||||||||||||||||||||||
Показания счетчика (время) | Число циклов (время), пройденное образцом за смену | Подпись и дата | Примечание | ||
в начале смены | в конце смены | сдавшего смену | принявшего смену | ||
Испытания проводил | |||
подпись | |||
Начальник лаборатории | |||
подпись | |||
ПРИЛОЖЕНИЕ 2 (рекомендуемое). ПРОТОКОЛ испытания образца
ПРИЛОЖЕНИЕ 2
Рекомендуемое
ПРОТОКОЛ N ________
испытания образца (приложение к сводному протоколу N _____ )
Назначение испытания | |||||||||||||||||||||
Образец: шифр | , поперечные размеры | ||||||||||||||||||||
Машина: тип | , N | ||||||||||||||||||||
Деформация цикла: | |||||||||||||||||||||
максимальная | , средняя | , амплитудная | |||||||||||||||||||
Число делений по индикатору деформации: максимальное | , | ||||||||||||||||||||
среднее | , амплитудное | ||||||||||||||||||||
Показания приборов, регистрирующих аксиальность нагрузки: | |||||||||||||||||||||
прибор N 1 | , прибор N 2 | , прибор N 3 | |||||||||||||||||||
Показания счетчика (дата и время): | |||||||||||||||||||||
в начале испытания | |||||||||||||||||||||
в конце испытания | |||||||||||||||||||||
Число пройденных циклов | |||||||||||||||||||||
Частота нагружения | |||||||||||||||||||||
Критерий разрушения | |||||||||||||||||||||
Показания счетчика (время) | Число циклов (время), пройденное образцом за смену | Подпись и дата | Примечание | ||
в начале смены | в конце смены | сдавшего смену | принявшего смену | ||
Испытания проводил | |||
подпись | |||
Начальник лаборатории | |||
подпись | |||
ПРИЛОЖЕНИЕ 3 (рекомендуемое). СВОДНЫЙ ПРОТОКОЛ
ПРИЛОЖЕНИЕ 3
Рекомендуемое
СВОДНЫЙ ПРОТОКОЛ N _______
Цель испытаний | ||||||||||||||
Материал: | ||||||||||||||
марка и состояние | ||||||||||||||
направление волокна | ||||||||||||||
тип заготовки (при сложной форме прилагается план вырезки образцов) | ||||||||||||||
Условия испытаний: | ||||||||||||||
вид нагружения | ||||||||||||||
база испытаний | ||||||||||||||
частота нагружения | ||||||||||||||
Критерий разрушения | ||||||||||||||
Образцы: | ||||||||||||||
Тип образцов и номинальные размеры их поперечного сечения | ||||||||||||||
Состояние поверхности | ||||||||||||||
Испытательная машина: | ||||||||||||||
тип | , N | |||||||||||||
Дата испытаний: | ||||||||||||||
начало испытаний первого образца | , конец испытаний | |||||||||||||
последнего образца | ||||||||||||||
Шифр образца | Поперечные размеры образца | Haпряжения цикла | Прой- денное число циклов | Отметка о разрушении образца (да, нет) | Примечание | ||
среднее | амплитудное | максимальное | |||||
Ответственный за испытание данной серии образцов | |||
подпись | |||
Начальник лаборатории | |||
подпись | |||
ПРИЛОЖЕНИЕ 4 (рекомендуемое). СВОДНЫЙ ПРОТОКОЛ
ПРИЛОЖЕНИЕ 4
Рекомендуемое
СВОДНЫЙ ПРОТОКОЛ N ________
Цель испытаний | |||||||||||||||
Материал: | |||||||||||||||
марка и состояние | |||||||||||||||
направление волокна | |||||||||||||||
тип заготовки (при сложной форме прилагается план вырезки образцов) | |||||||||||||||
Условия испытаний: | |||||||||||||||
вид деформаций | |||||||||||||||
база испытаний | |||||||||||||||
частота нагружения | |||||||||||||||
Критерии разрушения | |||||||||||||||
Образцы: | |||||||||||||||
тип образцов и номинальные размеры поперечного сечения | |||||||||||||||
состояние поверхности | |||||||||||||||
Испытательная машина: | |||||||||||||||
тип | , N | ||||||||||||||
Дата испытаний: | |||||||||||||||
начало испытаний первого образца | , конец испытаний последнего образца | ||||||||||||||
Шифр образца | Поперечные размеры образца | Деформация цикла | Пройденное число циклов | Отметка о разрушении образца (да, нет) | Примечание | ||
средняя | амплитудная | максимальная | |||||
Ответственный за испытание данной серии образцов | |||
подпись | |||
Начальник лаборатории | |||
подпись | |||
ПРИЛОЖЕНИЕ 5 (рекомендуемое). ПОСТРОЕНИЕ КРИВОЙ РАСПРЕДЕЛЕНИЯ ДОЛГОВЕЧНОСТИ И ОЦЕНКА СРЕДНЕГО ЗНАЧЕНИЯ И СРЕДНЕГО КВАДРАТИЧЕСКОГО ОТКЛОНЕНИЯ ЛОГАРИФМА ДОЛГОВЕЧНОСТИ
ПРИЛОЖЕНИЕ 5
Рекомендуемое
ПОСТРОЕНИЕ КРИВОЙ РАСПРЕДЕЛЕНИЯ ДОЛГОВЕЧНОСТИ И ОЦЕНКА СРЕДНЕГО ЗНАЧЕНИЯ И СРЕДНЕКВАДРАТИЧЕСКОГО ОТКЛОНЕНИЯ ЛОГАРИФМА ДОЛГОВЕЧНОСТИ
Результаты испытаний серии из образцов при постоянном уровне напряжения располагают в вариационный ряд в порядке возрастания долговечности
.
Подобные ряды для образцов из алюминиевого сплава марки В95, испытанных при консольном изгибе с вращением до полного разрушения при шести уровнях напряжения в качестве примера, приведены в табл.1.
Кривые распределения долговечности (
) строят на вероятностной бумаге, соответствующей логарифмически нормальному или другому закону распределения. По оси абсцисс откладывают значения долговечности образцов , а по оси ординат - значения вероятности разрушения образцов (накопленные частоты), вычисляемые по формуле
,
где - номер образца в вариационном ряду;
- число испытанных образцов.
Если на рассматриваемом уровне напряжения разрушились не все образцы серии, то строят только нижнюю часть кривой распределения до базовой долговечности.
На чертеже на логарифмически нормальной вероятностной бумаге приведено семейство кривых распределения
, построенное по данным табл.1.
Таблица 1
Вариационные ряды числа циклов до разрушения образцов из сплава марки В95
|
|
|
|
|
|
|
при | ||||||
33,0 (330) | 28,5 (285) | 25,4 (254) | 22,8 (228) | 21,0 (210) | 19,0 (190) | |
1 | 2,18 | 0,701 | 1,63 | 3,44 | 0,982 | 4,63 |
2 | 2,29 | 0,740 | 2,07 | 4,58 | 1,97 | 6,90 |
3 | 2,58 | 0,809 | 2,15 | 4,61 | 2,20 | 9,57 |
4 | 2,80 | 0,910 | 2,27 | 5,06 | 2,35 | 10,0* |
5 | 2,81 | 1,03 | 2,30 | 6,21 | 3,19 | 10,0* |
6 | 2,91 | 1,09 | 2,54 | 8,40 | 3,66 | 10,0* |
7 | 2,97 | 1,17 | 2,56 | 8,98 | 4,76 | 10,0* |
8 | 3,05 | 1,18 | 2,62 | 9,47 | 4,98 | 10,0* |
9 | 3,05 | 1,35 | 2,64 | 10,4 | 5,40 | 10,0* |
10 | 3,27 | 1,42 | 2,69 | 15,4 | 6,53 | 10,0* |
11 | 3,39 | 1,43 | 2,87 | 18,5 | 2,28 | 10,0* |
12 | 3,48 | 1,54 | 3,02 | 18,8 | 9,04 | 10,0* |
13 | 3,63 | 1,54 | 3,41 | 23,2 | 10,0 | 10,0* |
14 | 3,82 | 1,57 | 3,72 | 23,7 | 10,0 | 10,0* |
15 | 3,84 | 1,58 | 3,74 | 24,8 | 10,0 | 10,0* |
16 | 4,10 | 1,80 | 4,25 | 27,7 | 10,90 | 10,0* |
17 | 4,12 | 2,02 | 5,23 | 33,0 | 10,0 | 10,0* |
18 | 4,39 | 2,15 | 5,52 | 33,9 | 10,0 | 10,0* |
19 | 5,21 | 2,22 | 6,63 | 37,4 | 10,0 | 10,0* |
20 | 5,72 | 2,35 | 7,06 | 39,06 | 10,0 | 10,0* |
21 | - | - | 7,93 | 41,6 | 10,0 | 10,0* |
22 | - | - | 8,00 | 47,6 | 10,0 | 10,0* |
23 | - | - | 8,07 | 55,5 | 10,0 | 10,0* |
24 | - | - | 8,64 | 55,5 | 10,0 | 10,0* |
25 | - | - | 10,2 | 67,3 | 10,0 | 10,0* |
26 | - | - | 10,3 | - | - | - |
______________
* Образцы не разрушились.
Кривые распределения долговечности образцов из сплава марки В95

1 - =
33 кгс/мм (
330 МПа); 2 - = 28,5 кгс/мм
(285 МПа);
3 - = 25,4 кгс/мм
(254 МПа); 4 -
= 22,8 кгс/мм
(228 МПа);
5 - = 21 кгс/мм
(210 МПа); 6 -
= 19 кгс/мм
(190 МПа)
Оценку среднего значения и среднеквадратического отклонения
логарифма долговечности проводят для уровней напряжения, на которых разрушались все образцы серии. Выборочное среднее значение
и выборочное среднеквадратическое отклонение логарифма долговечности образцов (
) вычисляют по формулам:
;
.
В табл.2 в качестве примера приведено вычисление и
для образцов из сплава марки В95, испытанных при напряжении
= 28,5 кгс/мм
(285 МПа) (см. табл.1).
Таблица 2
| ||
1 | 0,701 | 4,8457 |
2 | 0,704 | 4,8692 |
3 | 0,809 | 4,9079 |
4 | 0,910 | 4,9590 |
5 | 1,03 | 5,0128 |
6 | 1,09 | 5,0374 |
7 | 1,17 | 5,0682 |
8 | 1,18 | 5,0719 |
9 | 1,42 | 5,1303 |
10 | 1,42 | 5,1523 |
11 | 1,43 | 5,1553 |
12 | 1,54 | 5,1875 |
13 | 1,54 | 5,1875 |
14 | 1,57 | 5,1959 |
15 | 1,58 | 5,1987 |
16 | 1,80 | 5,2553 |
17 | 2,02 | 5,3054 |
18 | 2,15 | 5,3224 |
19 | 2,22 | 5,3464 |
20 | 2,35 | 5,3711 |
= 102,59.
= 10524,75.
= 526,70.
= 5,13.
.*
_______________
* Формула соответствует оригиналу. - Примечание изготовителя базы данных.
Объем серии образцов вычисляют по формуле

или
,
где - коэффициент вариации величины
;
и
- предельные относительные ошибки для доверительной вероятности
при оценке среднего значения и среднего квадратического отклонения величины
соответственно; - вероятность ошибки первого рода;
- квантиль нормированного нормального распределения, соответствующая вероятность
(значения наиболее часто используемых квантилей приведены в табл.3).
Значения ошибок выбирают в пределах = 0,02-0,10 и
= 0,1-0,5, вероятность ошибки первого рода
принимают 0,05-0,1.
Таблица 3
0,05 | 0,06 | 0,07 | 0,08 | 0,09 | 0,10 | |
| 1,96 | 1,88 | 1,81 | 1,75 | 1,70 | 1,64 |
ПРИЛОЖЕНИЕ 6 (рекомендуемое). ПОСТРОЕНИЕ СЕМЕЙСТВА КРИВЫХ УСТАЛОСТИ ПО ПАРАМЕТРУ ВЕРОЯТНОСТИ РАЗРУШЕНИЯ
ПРИЛОЖЕНИЕ 6
Рекомендуемое
Для построения семейства кривых усталости испытания целесообразно проводить на четырех-шести уровнях напряжения.
Минимальный уровень следует выбирать так, чтобы до базового числа циклов разрушались примерно от 5% до 15% образцов, испытуемых на этом уровне напряжения. На следующем (в порядке возрастания) уровне напряжения должно разрушиться 40% - 60% образцов.
Максимальный уровень напряжения выбирают с учетом требования на протяженность левой ветви кривой усталости (5·10
циклов). Оставшиеся уровни распределяют равномерно между максимальным и минимальным уровнями напряжений.
Результаты испытаний для каждого уровня напряжения располагают в вариационные ряды, на основании которых строят семейство кривых распределения долговечности в координатах
(приложение 7).
Задают значения вероятности разрушения и на основании кривых распределения долговечности строят семейство кривых усталости равной вероятности.
На чертеже представлены кривые усталости образцов из сплава марки В95 для вероятности разрушения = 0,5; 0,10; 0,01, построенные на основании графиков.
Минимально необходимое число образцов для построения семейства кривых усталости определяют в зависимости от доверительной вероятности
и предельной относительной ошибки при оценке предела выносливости для заданной вероятности
на основании формулы
,
где - коэффициент вариации предела выносливости;
- квантиль нормированного нормального распределения;
- функция, зависящая от вероятности, для которой определяется предел выносливости. Значения этой функции, найденные методом статистического моделирования, приведены в таблице.
0,5 | 0,3 | 0,2 | 0,1 | 0,05 | 0,01 | |
2,5 | 2,7 | 3,5 | 4,5 | 6,0 | 8,5 |
Кривые усталости образцов из сплава марки В95

1 -= 1%; 2 -
= 10%; 3 -
= 50%
ПРИЛОЖЕНИЕ 7 (рекомендуемое). ПОСТРОЕНИЕ КРИВОЙ РАСПРЕДЕЛЕНИЯ ПРЕДЕЛА ВЫНОСЛИВОСТИ И ОЦЕНКА ЕГО СРЕДНЕГО ЗНАЧЕНИЯ И СРЕДНЕГО КВАДРАТИЧЕСКОГО ОТКЛОНЕНИЯ
ПРИЛОЖЕНИЕ 7
Рекомендуемое
ПОСТРОЕНИЕ КРИВОЙ РАСПРЕДЕЛЕНИЯ ПРЕДЕЛА ВЫНОСЛИВОСТИ И ОЦЕНКА ЕГО СРЕДНЕГО ЗНАЧЕНИЯ И СРЕДНЕКВАДРАТИЧЕСКОГО ОТКЛОНЕНИЯ
Для построения кривой распределения предела выносливости образцы испытывают на шести уровнях напряжения.
Самый высокий уровень напряжения выбирают с таким расчетом, чтобы все образцы при этом напряжении разрушались до базового числа циклов. Величину максимального напряжения принимают (1,3-1,5) от значения предела выносливости для =0,5. Остальные пять уровней распределяются таким образом, чтобы на среднем уровне разрушалось около 50%, на двух высоких - 70% - 80% и не менее 90% и на двух низких - не более 10% и 20% - 30% соответственно.
Значение напряжений в соответствии с заданной вероятностью разрушения выбирают на основании анализа имеющихся данных для аналогичных материалов или с помощью предварительных испытаний.
После испытаний результаты представляют в виде вариационных рядов, на основании которых строят кривые распределения долговечности по методике, изложенной в приложении 5.
На основании кривых распределения долговечности строят семейство кривых усталости для ряда вероятностей разрушения (приложение 8). Для этого целесообразно использовать вероятности 0,01, 0,10, 0,30, 0,50, 0,70, 0,90 и 0,99.
По этим кривым усталости определяют соответствующие значения предела выносливости. Предел выносливости для вероятности разрушения =0,01 находят методом графической экстраполяции соответствующей кривой усталости до базового числа циклов.
Найденные значения пределов выносливости наносят на график с координатами: вероятность разрушения в масштабе, соответствующем нормальному распределению, - предел выносливости в кгс/мм (МПа). Через построенные точки проводят линию, представляющую собой графическую оценку функции распределения предела выносливости. Разбивают размах варьирования предела выносливости на 8-12 интервалов, определяют средние значения предела выносливости и его среднеквадратическое отклонение по формулам:
;
,
где - среднее значение предела выносливости;
- среднеквадратическое отклонение предела выносливости;
- значение предела выносливости в середине интервала;
- число интервалов;
- приращение вероятности внутри одного интервала.
В качестве примера по результатам испытаний на консольный изгиб с вращением 100 образцов из алюминиевого сплава марки АВ, представленных в табл.1, строят функцию распределения пределов выносливости для базы 5·10 циклов и определяют среднее значение и среднеквадратическое отклонение.
Таблица 1
Значения долговечности образцов из сплава марки АВ
Номер п/п |
|
|
| |||
при | ||||||
11,0 (110) | 11,5 (115) | 12,0 (120) | 12,5( 125) | 13,5 (135) | 16,5 (165) | |
1 | 3,02 | 2,05 | 1,26 | 0,594 | 3,38 | 5,83 |
2 | 4,49 | 2,57 | 1,33 | 1,00 | 3,75 | 11,0 |
3 | 4,77 | 3,81 | 2,12 | 1,12 | 4,23 | 12,0 |
4 | 4,90 | 4,53 | 2,74 | 1,54 | 6,75 | 12,9 |
5 | 5,00* | 5,00* | 3,01 | 1,73 | 8,01 | 18,1 |
6 | 3,69 | 2,20 | 8,17 | 21,8 | ||
7 | 5,00* | 2,31 | 9,26 | 22,3 | ||
8 | 2,67 | 10,3 | 26,5 | |||
9 | 5,00* | 12,4 | 16,5 | |||
10 | 14,6 | 33,6 | ||||
11 | 16,5 | 38,4 | ||||
12 | 18,2 | 62,4 | ||||
13 | 23,9 | 75,9 | ||||
14 | - | - | 24,0 | - | ||
15 | 32,1 | |||||
16 | - | 45,9 | ||||
17 | 47,7 | |||||
18 | 50,0* | |||||
_____________
* Образцы не разрушились.
На основании вариационных рядов (табл.1) строят кривые распределения долговечности (черт.1).
Кривые распределения долговечности образцов из сплава марки АВ

1 - = 16,
5 кгс/мм (1
65 МПа); 2 - = 13,5 кгс/мм
(135 МПа);
3 - = 12,5 кгс/мм
(125 МПа); 4 -
= 12,0 кгс/мм
(120 МПа);
5 - = 11,5 кгс/мм
(115 МПа); 6 -
= 11,0 кгс/мм
(110 МПа)
Черт.1
Производя горизонтальные разрезы кривых распределения долговечности (черт.1) для уровней вероятности = 0,01, 0,10, 0,30, 0,50, 0,70, 0,90, 0,99 (или 1, 10, 30, 50, 70, 90, 99%), находят соответствующие долговечности при заданных значениях напряжений, на основании которых строят кривые усталости по параметру вероятности разрушения (черт.2).
Кривые усталости для образцов из сплава марки АВ для различных вероятностей разрушения

1 - = 1%,
2 -= 10%, 3 -
= 30%, 4 -
= 50%,
5 - = 70%, 6 -
= 90%, 7 -
= 99%
Черт.2
С графиков (черт.2) снимают значения пределов выносливости для базы 5·10 циклов. Значения пределов выносливости приведены в табл.2.
Таблица 2
Значения пределов ограниченной выносливости образцов из сплава марки АВ (база 5·10 циклов)
Вероятность разрушения | 0,01 | 0,10 | 0,30 | 0,50 | 0,70 | 0,90 | 0,99 |
Предел ограниченной выносливости | 10,6 (106) | 11,0 (110) | 11,5 (115) | 12,0 (120) | 12,5 (125) | 13,5 (135) | 14,5 (145) |
По результатам, приведенным в табл.2, строят кривую распределения выносливости (черт.3).
Кривая распределения предела ограниченной выносливости образцов из сплава марки АВ (база 5·10 циклов)

Черт.3
Для определения среднего значения предела выносливости и его среднеквадратического отклонения размах варьирования предела выносливости делят на 10 интервалов по 0,5 кгс/мм (5 МПа). Вычисление указанных характеристик в соответствии с приведенными формулами представлено в табл.3.
Таблица 3
Вычисление среднего значения и среднего квадратического отклонения предела ограниченной выносливости образцов из сплава марки АВ
Номер | Границы интервала, | Середина интервала | Значение вероятностей на границах интервала |
|
|
|
|
1 | 10,0-10,5 | 10,25 | 0-0,004 | 0,004 | 0,4410 | -1,856 | 3,445 |
2 | 10,5-11,0 | 10,75 | 0,004-0,08 | 0,076 | 0,8170 | -1,356 | 1,839 |
3 | 11,0-11,5 | 11,25 | 0,08-0,30 | 0,220 | 2,4750 | -0,856 | 0,733 |
4 | 11,5-12,0 | 11,75 | 0,30-0,52 | 0,220 | 2,5850 | -0,356 | 0,127 |
5 | 12,0-12,5 | 12,25 | 0,52-0,70 | 0,180 | 2,2050 | 0,144 | 0,021 |
6 | 12,5-13,0 | 12,75 | 0,70-0,82 | 0,120 | 1,5300 | 0,644 | 0,415 |
7 | 13,0-13,5 | 13,25 | 0,82-0,91 | 0,090 | 1,1925 | 1,144 | 1,309 |
8 | 13,5-14,0 | 13,75 | 0,91-0,963 | 0,053 | 0,7280 | 1,644 | 2,703 |
9 | 14,0-14,5 | 14,25 | 0,963-0,99 | 0,027 | 0,3847 | 2,144 | 4,597 |
10 | 14,5-15,0 | 14,75 | 0,99-1,00 | 0,010 | 0,1475 | 2,644 | 6,991 |
Необходимый объем усталостных испытаний для построения кривой распределения предела выносливости определяют по формуле приложения 6.
= 12,106 кгс/мм
(121,06 МПа);
= 0,851;
0,922 кгс/мм (9,22 МПа)
ПРИЛОЖЕНИЕ 8 (рекомендуемое). ПРОТОКОЛ испытания образца
ПРИЛОЖЕНИЕ 8
Рекомендуемое
ПРОТОКОЛ N ________
испытания образца (приложение к сводному протоколу N _______ )
Назначение испытания | |||||||||||||||||||||
Образец: шифр | , поперечные размеры | ||||||||||||||||||||
материал | , термообработка | , | |||||||||||||||||||
твердость | , микротвердость | ||||||||||||||||||||
Машина: тип | , N | ||||||||||||||||||||
Напряжения цикла: | |||||||||||||||||||||
максимальное | , минимальное | ||||||||||||||||||||
среднее | , амплитудное | ||||||||||||||||||||
Деформации цикла: | |||||||||||||||||||||
максимальная | , минимальная | ||||||||||||||||||||
средняя | , амплитудная | ||||||||||||||||||||
Показания счетчика (дата и время): | |||||||||||||||||||||
в начале испытания | |||||||||||||||||||||
в конце испытания | |||||||||||||||||||||
Масштаб регистрации: деформации (мм/%) | , | ||||||||||||||||||||
нагрузки (мм/МН) | , | ||||||||||||||||||||
Число пройденных циклов до образования микротрещины длиной | |||||||||||||||||||||
Число пройденных циклов до разрушения | |||||||||||||||||||||
Частота нагружения | |||||||||||||||||||||
Показания | Число циклов (время), пройденное образцом за смену | Подпись | Примечание | ||
в начале смены | в конце смены | сдавшего смену | принявшего смену | ||
Обработка петель гистерезиса
Число циклов | Число полуциклов |
|
| Примечание |
Испытания проводил | |||
подпись | |||
Начальник лаборатории | |||
подпись | |||
ПРИЛОЖЕНИЕ 9 (рекомендуемое). СВОДНЫЙ ПРОТОКОЛ
ПРИЛОЖЕНИЕ 9
Рекомендуемое
СВОДНЫЙ ПРОТОКОЛ N_________
Цель испытаний | |||||||||||||
Материал: | |||||||||||||
марка и состояние | |||||||||||||
направление волокна | |||||||||||||
тип заготовки (при сложной форме прилагается план вырезки образцов) | |||||||||||||
Механические характеристики | |||||||||||||
Условия испытаний: | |||||||||||||
тип нагружения | |||||||||||||
вид нагружения | |||||||||||||
температура испытания | |||||||||||||
частота нагружения | |||||||||||||
Образцы: | |||||||||||||
тип образца и номинальные размеры поперечного сечения | |||||||||||||
состояние поверхности | |||||||||||||
Испытательная машина: | |||||||||||||
тип | , N | ||||||||||||
Дата испытаний: | |||||||||||||
начало испытаний первого образца | |||||||||||||
конец испытаний последнего образца | |||||||||||||
Шифр образца | Число циклов до разрушения | Число циклов до образования макротрещины |
|
|
| Примечание |
Ответственный за испытание данной серии образцов | |||
подпись | |||
Начальник лаборатории | |||
подпись | |||
Электронный текст документа
подготовлен АО "Кодекс" и сверен по:
официальное издание
Механические испытания.
Расчет и испытания на прочность: Сб. стандартов. -
М.: Стандартинформ, 2005
Разместите заказ
сами сделают вам предложение
