ГОСТы сталей. ГОСТ 30756-2001
ГОСТ 30756-2001
Группа В05
МЕЖГОСУДАРСТВЕННЫЙ СТАНДАРТ
ФЛЮСЫ ДЛЯ ЭЛЕКТРОШЛАКОВЫХ ТЕХНОЛОГИЙ
Общие технические условия
Fluxes for electroslag technologies.
General specifications
МКС 25.160.20
ОКП 08 2000
Дата введения 2005-07-01
Предисловие
1 РАЗРАБОТАН Украинским государственным научно-исследовательским институтом специальных сплавов и ферросплавов (УкрНИИспецсталь)
2 ВНЕСЕН Государственным комитетом стандартизации, метрологии и сертификации Украины
3 ПРИНЯТ Межгосударственным советом по стандартизации, метрологии и сертификации (протокол N 20 от 1 ноября 2001 г.), зарегистрирован Бюро по стандартам МГС N 3947
За принятие стандарта проголосовали:
Наименование государства | Наименование национального органа по стандартизации |
Беларусь | Госстандарт Республики Беларусь |
Казахстан | Госстандарт Республики Казахстан |
Кыргызская Республика | Кыргызстандарт |
Российская Федерация | Федеральное агентство по техническому регулированию и метрологии |
Узбекистан | Узстандарт |
Украина | Госпотребстандарт Украины |
4 Приказом Федерального агентства по техническому регулированию и метрологии от 9 декабря 2004 г. N 100-ст межгосударственный стандарт ГОСТ 30756-2001 введен в действие непосредственно в качестве национального стандарта Российской Федерации с 1 июля 2005 г.
5 ВВЕДЕН ВПЕРВЫЕ
1 Область применения
1 Область применения
Настоящий стандарт распространяется на плавленые флюсы, применяемые для электрошлаковых технологий (электрошлакового переплава, литья, кокильного литья и других процессов), а также для выплавки сталей и сплавов в электропечах, предназначенные для нужд народного хозяйства и для экспорта.
2 Нормативные ссылки
В настоящем стандарте использованы ссылки на следующие стандарты:
ГОСТ 12.1.005-88 Система стандартов безопасности труда. Общие санитарно-гигиенические требования к воздуху рабочей зоны
ГОСТ 12.1.007-76 Система стандартов безопасности труда. Вредные вещества. Классификация и общие требования безопасности
ГОСТ 12.3.003-86 Система стандартов безопасности труда. Работы электросварочные. Требования безопасности
ГОСТ 2226-88 (ИСО 6590-1-83, ИСО 7023-83) Мешки бумажные. Технические условия
ГОСТ 3306-88 Сетки с квадратными ячейками из стальной рифленой проволоки. Технические условия
ГОСТ 3826-82 Сетки проволочные тканые с квадратными ячейками. Технические условия
ГОСТ 6613-86 Сетки проволочные тканые с квадратными ячейками. Технические условия
ГОСТ 14192-96 Маркировка грузов
ГОСТ 15150-69 Машины, приборы и другие технические изделия. Исполнения для различных климатических районов. Категории, условия эксплуатации, хранения и транспортирования в части воздействия климатических факторов внешней среды
ГОСТ 21639.0-93 Флюсы для электрошлакового переплава. Общие требования к методам анализа
ГОСТ 21639.1-90 Флюсы для электрошлакового переплава. Методы определения содержания влаги
ГОСТ 21639.2-93 Флюсы для электрошлакового переплава. Методы определения окиси алюминия
ГОСТ 21639.3-93 Флюсы для электрошлакового переплава. Методы определения окиси кальция и окиси магния
ГОСТ 21639.4-93 Флюсы для электрошлакового переплава. Методы определения общего железа
ГОСТ 21639.5-93 Флюсы для электрошлакового переплава. Метод определения двуокиси титана
ГОСТ 21639.6-93 Флюсы для электрошлакового переплава. Метод определения фосфора
ГОСТ 21639.7-93 Флюсы для электрошлакового переплава. Методы определения фтористого кальция
ГОСТ 21639.8-93 Флюсы для электрошлакового переплава. Методы определения двуокиси кремния
ГОСТ 21639.9-93 Флюсы для электрошлакового переплава. Метод определения углерода
ГОСТ 21639.10-76 Флюсы для электрошлакового переплава. Метод определения серы
ГОСТ 21639.12-87 Флюсы для электрошлакового переплава. Методы определения закиси марганца
3 Классификация, основные параметры
3.1 Классификация
Флюсы для электрошлаковых технологий классифицируют:
АН - малофторидные или бесфторидные,
АНФ - фторидные,
ВГС - высокоглиноземистые сплавленные,
ВКС - высококремнистые сплавленные.
3.2 Марки
3.2.1 Флюсы для электрошлаковых технологий изготовляют следующих марок: АНФ-1, АНФ-1-1, АНФ-1-2, АНФ-1-3, АНФ-6, АНФ-6-1, АНФ-6-2, АНФ-6-3, АНФ-6-4, АНФ-6-5, АН-291, АН-295, АНФ-25, АНФ-28, АНФ-29, АНФ-32, АНФ-35, ВГС, ВКС.
3.2.2 Химический состав флюсов должен соответствовать приведенному в таблице 1.
Таблица 1
Марка флюса | Массовая доля элемента, % | ||||||||||||
кальция фторида | алю- | каль- | магния оксида | крем- | хрома оксида | мар- | угле- | железа | серы | фос- | титана (IV) оксида | ||
не более | |||||||||||||
АНФ-1 | Не менее 90 | Не более 3 | Не более 5 | - | Не более 2,5 | - | - | 0,10 | 0,5 | 0,05 | 0,02 | 0,05 | |
АНФ-1-1 | Не менее 90 | Не более 3 | Не более 5 | - | Не более 2,5 | - | - | 0,05 | 0,5 | 0,05 | 0,02 | 0,05 | |
АНФ-1-2 | Не менее 85 | Не более 8 | Не более 8 | - | Не более 1,0 | - | - | 0,10 | 0,5 | 0,05 | 0,02 | 0,05 | |
АНФ-1-3 | Не менее 85 | Не более 8 | Не более 8 | - | Не более 1,0 | - | - | 0,05 | 0,5 | 0,05 | 0,02 | 0,05 | |
АНФ-6 | Основа | 25-31 | Не более 8 | - | Не более 2,5 | - | - | 0,10 | 0,5 | 0,05 | 0,02 | 0,05 | |
АНФ-6-1 | Основа | 25-31 | Не более 8 | - | Не более 2,5 | - | - | 0,05 | 0,5 | 0,05 | 0,02 | 0,05 | |
АНФ-6-2 | Основа | 25-31 | Не более 8 | - | Не более 1,0 | - | - | 0,10 | 0,5 | 0,05 | 0,02 | 0,05 | |
АНФ-6-3 | Основа | 25-31 | Не более 8 | - | Не более 1,0 | - | - | 0,05 | 0,5 | 0,05 | 0,02 | 0,05 | |
АНФ-6-4 | Основа | 28-34 | Не более 8 | - | Не более 2,5 | - | - | 0,10 | 0,5 | 0,05 | 0,02 | 0,05 | |
АНФ-6-5 | Основа | 25-37 | Сумма кальция оксида и магния оксида, не более 9 | 2-7 | 0,3-0,9 | - | 0,10 | 0,5 | 0,05 | 0,02 | - | ||
АН-291 | 10-20 | 35-45 | 20-28 | 17-27 | Не более 2,5 | - | - | 0,10 | 0,5 | 0,05 | 0,02 | 0,05 | |
АН-295 | 11-17 | 49-56 | 26-31 | Не более 6 | Не более 2,5 | - | - | 0,10 | 0,5 | 0,05 | 0,02 | 0,05 | |
АНФ-25 | 50-60 | 12-20 | 10-15 | 10-15 | 2-7 | - | - | 0,10 | 0,5 | 0,07 | 0,03 | - | |
АНФ-28 | 41-49 | Не более 5 | 26-32 | Не более 6 | 20-24 | - | - | 0,10 | 0,5 | 0,06 | 0,03 | - | |
АНФ-29 | 37-45 | 13-17 | 24-30 | 2-6 | 11-15 | - | - | 0,10 | 0,5 | 0,06 | 0,03 | - | |
АНФ-32 | 34-42 | 24-30 | 20-27 | 2-6 | 5-9 | - | 0,3-1,3 | 0,10 | 0,5 | 0,06 | 0,03 | - | |
АНФ-35 | 24-30 | 28-32 | 20-26 | 12-16 | 4-8 | - | Не более 0,5 | 0,10 | 0,5 | 0,06 | 0,03 | - | |
ВГС | Не более 8 | 40-48 | 44-52 | Не более 5 | Не более 2,5 | - | - | 0,2 | 0,5 | 0,05 | 0,02 | - | |
ВКС | 2-10 | Не более 5 | 34-52 | Не более 2 | 40-60 | - | - | 0,10 | 0,5 | 0,08 | 0,08 | - | |
Примечание - Буквы и цифры в обозначении марок флюсов означают: АН - академия наук, Ф - фторидные, С - сплавленные, ВГ - высокоглиноземистые, ВК - высококремнистые; 1, 2, 3, 4 в марках АНФ-1 и АНФ-6 - пониженные массовые доли кремния и углерода, 5 - повышенная массовая доля хрома и кремния. | |||||||||||||
Пример условного обозначения фторидного флюса марки АНФ-6-1:
Флюс АНФ-6-1 ГОСТ 30756-2001
4 Общие технические требования
4.1 Характеристики базового исполнения
4.1.1 Флюсы должны изготовляться в виде однородных зерен (гранул).
4.1.2 Загрязненность флюса инородными частицами (нерастворившимися частицами сырьевых материалов, футеровки, графита, кокса, металлическими частицами и др.) допускается в пределах химического состава, приведенного в таблице 1.
4.1.3 Размеры зерен флюса должны быть в пределах 0,2-20 мм. Количество зерен размером менее 0,2 мм не должно превышать 15%, а зерен размером более 20 мм - 3% от массы флюса.
4.2 Характеристики, согласованные изготовителем и потребителем
4.2.1 Массовая доля фосфора в флюсах марок АНФ-6 и АНФ-6-1 допускается не более 0,03%.
4.2.2 Массовая доля углерода - не более 0,03% в флюсах марок АНФ-1-1, АНФ-1-3, АНФ-6-1, АНФ-6-3. В этом случае к марке флюса добавляется цифра "0". Например: АНФ-6-1-0.
4.2.3 Массовую долю оксида титана определяют по требованию потребителя.
4.2.4 Влажность флюсов не должна превышать 3% от массы флюса, что обеспечивается технологией производства и определяется по требованию потребителя.
4.3 Маркировка
4.3.1 На каждый мешок крепят ярлык или наносят маркировку водостойкой краской с указанием:
- товарного знака или наименования и товарного знака предприятия-изготовителя;
- марки флюса;
- массы нетто;
- номера партии;
- обозначения настоящего стандарта;
- манипуляционного знака "Беречь от влаги".
Для контейнеров или другой тары крепление ярлыка или нанесение маркировки проводится по соглашению между изготовителем и потребителем.
4.3.2 Транспортная маркировка - по ГОСТ 14192 с нанесением основных, дополнительных, информационных надписей и манипуляционного знака "Беречь от влаги", выполняемых водостойкой краской на ярлыке, надежно прикрепленном у двери с внутренней стороны вагона при повагонной отгрузке. При отгрузке в транспортной таре каждое грузовое место должно иметь транспортную маркировку.
4.4 Упаковка
4.4.1 Флюс должен быть упакован в бумажные мешки по ГОСТ 2226. Масса нетто одного мешка должна быть от 20 до 50 кг. Взвешивание должно проводиться с погрешностью не более 1% от массы мешка.
4.4.2 По соглашению изготовителя с потребителем допускается упаковывание флюсов в специализированные контейнеры или другую тару, изготовленную по действующим нормативным документам, или отгрузка флюса насыпью в крытых вагонах при условии обеспечения сохранности флюса и его качества при транспортировании.
4.4.3 Флюсы, предназначенные для экспорта, упаковывают в соответствии с требованиями контракта.
5 Требования безопасности
5.1 Работа с флюсами при их сортировке, упаковке, транспортировании, контроле качества может сопровождаться выделением пыли, содержащей марганцевые, кремнистые, фтористые соединения. Флюсовая пыль относится к химически опасным и вредным производственным факторам. По характеру воздействия на организм человека флюсовая пыль является токсичной, раздражающей и сенсибилизирующей; пути проникновения в организм - через органы дыхания, кожные покровы и слизистые оболочки.
5.2 Для предупреждения профессиональных заболеваний, а также во избежание несчастных случаев при сортировке, упаковке, транспортировании, контроле качества флюсов необходимо выполнять требования ГОСТ 12.1.005, ГОСТ 12.1.007.
Концентрация вредных веществ в воздухе при работе с флюсами не должна превышать предельно допустимых концентраций (ПДК), приведенных в таблице 2.
Таблица 2
Наименование вещества | ПДК, мг/м | Класс опасности |
Соли фтористоводородной кислоты (по фтору): | ||
фториды натрия, калия | 1 | II |
фториды алюминия, кальция, магния | 2,5 | III |
Примечание - Значение ПДК над чертой - максимальное, под чертой - среднесменное. | ||
5.3 Работающие с флюсами должны быть обеспечены средствами индивидуальной защиты в соответствии с типовыми отраслевыми нормами, утвержденными в установленном порядке.
5.4 Определение вредных веществ в воздухе рабочей зоны проводится в соответствии с методическими указаниями, утвержденными Министерствами здравоохранения государств СНГ.
5.5 При применении флюсов для электрошлаковых технологий следует руководствоваться требованиями ГОСТ 12.3.003.
6 Правила приемки
6.1 Флюсы принимают партиями. Масса каждой партии должна быть не более 80 т. Партия должна состоять из флюса одной марки и оформляться одним документом о качестве, содержащим:
- товарный знак или наименование и товарный знак предприятия-изготовителя;
- марку флюса;
- номер партии;
- массу партии;
- результаты химического анализа;
- дату изготовления;
- обозначение настоящего стандарта.
6.2 Для определения химического и гранулометрического состава от каждой партии флюса отбирают общую пробу массой не менее 8 кг, составляемую из точечных проб. Изготовитель проводит отбор точечных проб в процессе упаковки продукции. При упаковке в бумажные мешки отбирают одну точечную пробу от каждого десятого мешка; при упаковке в контейнеры - от каждого контейнера не менее четырех точечных проб, причем следует брать усредненные пробы при засыпке флюса в контейнер, пересекая полностью поток; при подаче флюса в бункер на движущихся средствах отбирают не менее четырех точечных проб за один час. Масса точечной пробы - от 0,05 до 0,30 кг.
Отобранную общую пробу тщательно перемешивают, после чего доводят квартованием до массы не менее 2 кг, из которой после перемешивания отбирают 0,5 кг для определения химического состава и 1,5 кг - для определения гранулометрического состава.
6.3 При получении неудовлетворительных результатов по какому-либо показателю по нему проводят повторные испытания на удвоенной выборке, взятой от той же партии. Результаты повторных испытаний являются окончательными.
7 Методы контроля
7.1 Химический состав флюсов определяют по ГОСТ 21639.0, ГОСТ 21639.2-ГОСТ 21639.10, ГОСТ 21639.12. Допускается применение других стандартизованных методов анализа, если их метрологические характеристики не уступают характеристикам вышеуказанных стандартов.
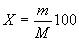
7.2 Гранулометрический состав флюсов определяют рассевом отобранной пробы через сито с размером сторон ячеек в свету 20 и 0,2 мм (N 20 по ГОСТ 3306 или ГОСТ 3826 и N 02 по ГОСТ 6613) с последующим взвешиванием остатка на крупном сите и просева под мелким ситом с погрешностью не более 0,1%.
Относительное количество зерен , %, не соответствующих по размеру, вычисляют по формуле
, (1)
где - масса остатка на крупном сите или просева под мелким ситом, г;
- общая масса отобранной пробы, г.
7.3 Однородность зерен и загрязненность флюса инородными частицами контролируется визуальным осмотром навески.
7.4 Контроль содержания влаги во флюсах определяют согласно ГОСТ 21639.1.
8 Транспортирование и хранение
8.1 Флюс должен транспортироваться в крытых транспортных средствах любым видом транспорта в соответствии с правилами перевозки, погрузки и крепления грузов, действующими на соответствующем виде транспорта.
8.2 Флюс должен храниться в крытых неотапливаемых складских помещениях по группе хранения 3Ж3 ГОСТ 15150.
9 Гарантии изготовителя
9.1 Изготовитель гарантирует соответствие флюса требованиям настоящего стандарта при соблюдении условий транспортирования, хранения и эксплуатации.
9.2 Гарантийный срок хранения флюсов - 2 года со дня изготовления.
Текст документа сверен по:
официальное издание
М.: ИПК Издательство стандартов, 2005
Разместите заказ
сами сделают вам предложение
